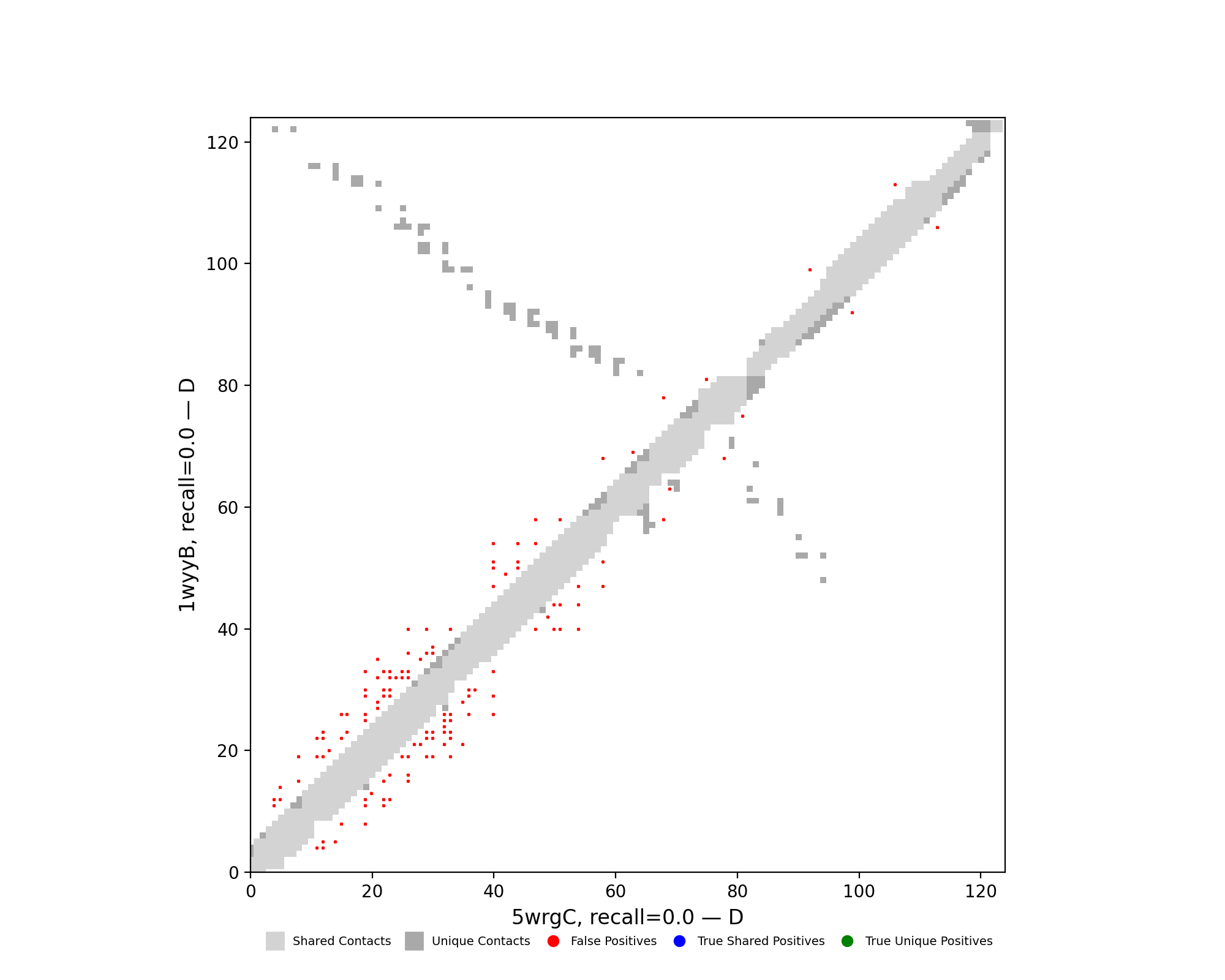
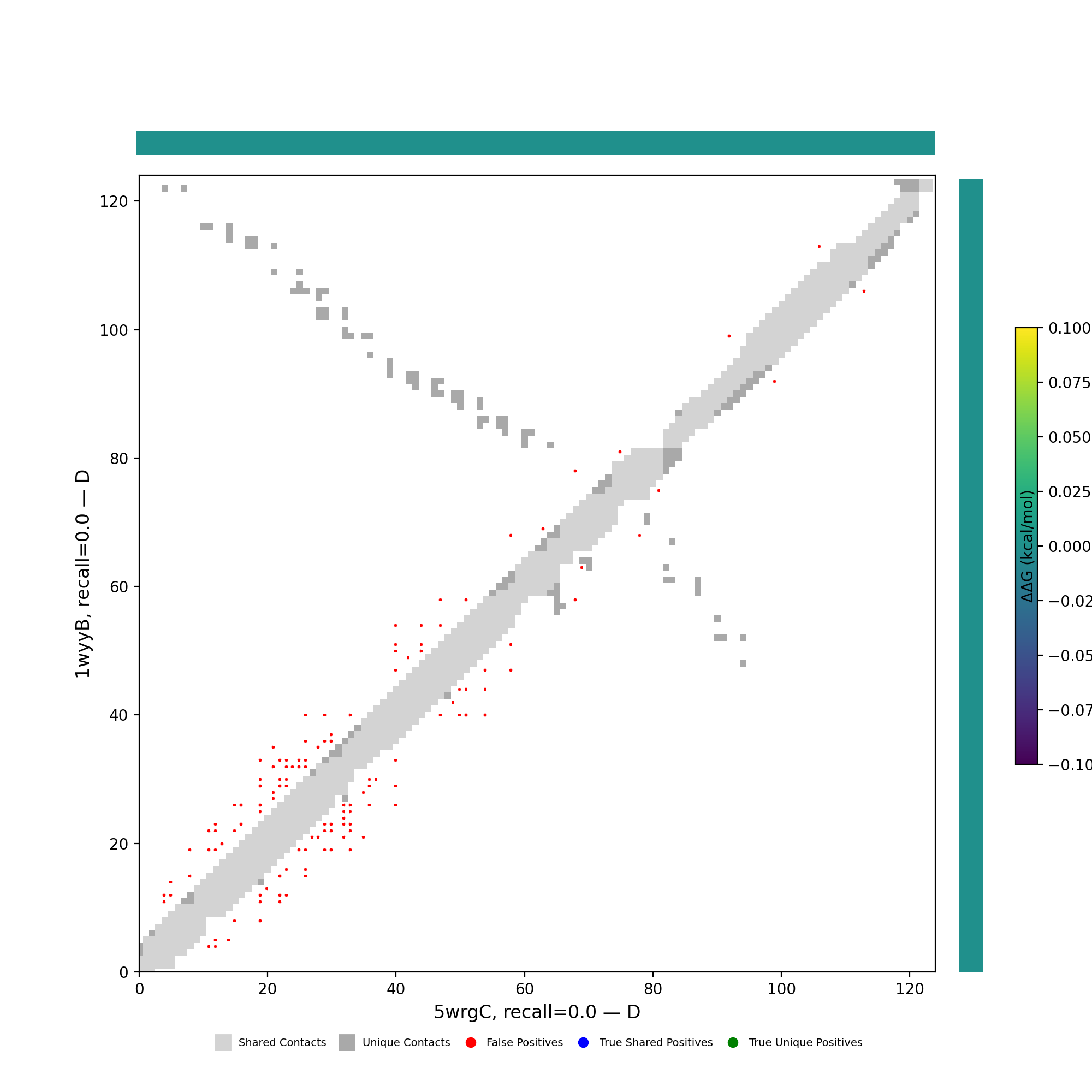
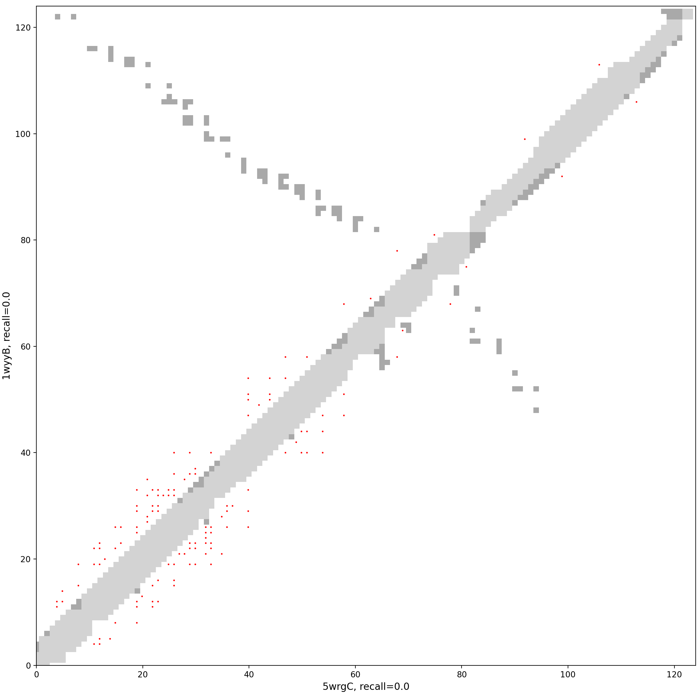
Analysis of pair 5wrgC_1wyyB
5wrgC vs 1wyyB
Missing: Fold1 vs best AF2
Missing: Fold2 vs best AF2
Missing: Fold1 vs best AF3
Missing: Fold2 vs best AF3
Missing: Fold1 vs best ESM2
Missing: Fold2 vs best ESM2
Missing: Fold1 vs best ESM3
Missing: Fold2 vs best ESM3
[missing] 5wrgC vs. 1wyyB (unaligned) — interactive
[missing] 5wrgC vs. 1wyyB (aligned) — interactive
Per-cluster contact maps
Cluster metrics table
cluster | n | neff | AF2_TM1 | AF2_TM2 | AF3_TM1 | AF3_TM2 | RE-MSAT-COM | RE-MSAT1 | RE-MSAT2 | ESM_SEQIDS | ESM_TM1_LIST | ESM_TM2_LIST |
---|
Deep | - | - | 0.48 | 0.62 | 0.34 | 0.7 | 0.0 | 0.08 | 0.0 | - | - | - |
000 | - | - | 0.38 | 0.62 | 0.32 | 0.61 | 0.0 | 0.01 | 0.0 | 006; 006; 005; 005; 008; 008; 007; 007; 003; 001 | 0.30; 0.30; 0.25; 0.24; 0.23; 0.22; 0.21; 0.20; 0.18; 0.18 | 0.37; 0.37; 0.41; 0.42; 0.48; 0.48; 0.47; 0.47; 0.60; 0.60 |
001 | - | - | 0.47 | 0.61 | 0.37 | 0.62 | 0.0 | 0.08 | 0.0 | 008; 008; 004; 004; 001; 007; 007; 001; 005; 005 | 0.24; 0.24; 0.23; 0.23; 0.22; 0.22; 0.22; 0.21; 0.21; 0.21 | 0.43; 0.43; 0.37; 0.37; 0.64; 0.36; 0.36; 0.63; 0.43; 0.43 |
Aligned per-residue ΔΔG
aln_pos | aa1 | aa2 | E1 | E2 | dEdiff |
---|
1 | T | - | 0.99 | - | - |
2 | F | - | 2.74 | - | - |
3 | M | - | 9.07 | - | - |
4 | L | - | 5.57 | - | - |
5 | K | - | 4.89 | - | - |
6 | Y | - | 7.65 | - | - |
7 | D | - | -0.64 | - | - |
8 | E | - | 9.64 | - | - |
9 | N | - | 5.6 | - | - |
10 | G | - | 4.23 | - | - |
11 | T | - | 2.04 | - | - |
12 | I | - | 2.02 | - | - |
13 | T | - | 1.66 | - | - |
14 | D | - | 3.75 | - | - |
15 | A | - | -0.35 | - | - |
16 | V | - | 3.25 | - | - |
17 | D | - | -0.84 | - | - |
18 | C | - | 15.83 | - | - |
19 | S | - | 7.83 | - | - |
20 | Q | - | 1.39 | - | - |
21 | N | - | 6.94 | - | - |
22 | P | - | 66.77 | - | - |
23 | L | - | 4.54 | - | - |
24 | A | - | -1.91 | - | - |
25 | E | - | 64.4 | - | - |
26 | L | - | 1.92 | - | - |
27 | K | - | 2.24 | - | - |
28 | C | - | 17.82 | - | - |
29 | S | - | 2.91 | - | - |
30 | V | - | 13.7 | - | - |
31 | K | - | 9.11 | - | - |
32 | S | - | 5.28 | - | - |
33 | F | - | 12.54 | - | - |
34 | E | - | 4.54 | - | - |
35 | I | - | 6.55 | - | - |
36 | D | - | 3.17 | - | - |
37 | K | - | 12.8 | - | - |
38 | G | - | 6.13 | - | - |
39 | I | - | 27.36 | - | - |
40 | Y | - | 4.05 | - | - |
41 | Q | - | 2.55 | - | - |
42 | T | - | 1.62 | - | - |
43 | S | - | 3.29 | - | - |
44 | N | - | 4.42 | - | - |
45 | F | - | 0.88 | - | - |
46 | R | - | 5.3 | - | - |
47 | V | - | 2.87 | - | - |
48 | V | - | 4.65 | - | - |
49 | P | - | 3.79 | - | - |
50 | S | - | 3.29 | - | - |
51 | G | - | 2.07 | - | - |
52 | D | - | 4.17 | - | - |
53 | V | - | 1.8 | - | - |
54 | V | - | 5.37 | - | - |
55 | R | - | 11.38 | - | - |
56 | F | - | 16.13 | - | - |
57 | P | - | 12.13 | - | - |
58 | N | - | 3.25 | - | - |
59 | I | - | 6.59 | - | - |
60 | T | - | 1.83 | - | - |
61 | N | - | 4.1 | - | - |
62 | L | - | 6.26 | - | - |
63 | C | - | 8.36 | - | - |
64 | P | - | 3.82 | - | - |
65 | F | - | 0.87 | - | - |
66 | G | - | 1.85 | - | - |
67 | E | - | 1.65 | - | - |
68 | V | - | -1.11 | - | - |
69 | F | - | -0.62 | - | - |
70 | N | - | -0.26 | - | - |
71 | A | - | 2.28 | - | - |
72 | T | - | 4.26 | - | - |
73 | K | - | 2.23 | - | - |
74 | F | - | 4.3 | - | - |
75 | P | - | -1.05 | - | - |
76 | S | - | 1.81 | - | - |
77 | V | - | 1.24 | - | - |
78 | Y | - | 2.53 | - | - |
79 | A | - | 0.91 | - | - |
80 | W | - | 3.08 | - | - |
81 | E | - | 1.52 | - | - |
82 | R | - | 1.24 | - | - |
83 | K | - | -0.32 | - | - |
84 | K | - | -0.06 | - | - |
85 | I | - | -1.54 | - | - |
86 | S | - | 0.51 | - | - |
87 | N | - | 0.23 | - | - |
88 | C | - | 8.29 | - | - |
89 | V | - | 0.86 | - | - |
90 | A | - | -0.35 | - | - |
91 | D | - | 1.18 | - | - |
92 | Y | - | 2.93 | - | - |
93 | S | - | 2.58 | - | - |
94 | V | - | 2.2 | - | - |
95 | L | - | 1.49 | - | - |
96 | Y | - | 2.29 | - | - |
97 | N | - | 1.19 | - | - |
98 | S | - | 3.86 | - | - |
99 | T | - | 1.5 | - | - |
100 | F | - | 1.29 | - | - |
101 | F | - | -1.42 | - | - |
102 | S | - | 3.42 | - | - |
103 | T | - | 1.2 | - | - |
104 | F | - | -0.01 | - | - |
105 | K | - | 0.59 | - | - |
106 | C | - | 2.75 | - | - |
107 | Y | - | 2.44 | - | - |
108 | G | - | 1.11 | - | - |
109 | V | - | 9.93 | - | - |
110 | S | - | 6.46 | - | - |
111 | A | - | 1.41 | - | - |
112 | T | - | 4.03 | - | - |
113 | K | - | 9.31 | - | - |
114 | L | - | 6.43 | - | - |
115 | N | - | 4.95 | - | - |
116 | D | - | 6.8 | - | - |
117 | L | - | 0.98 | - | - |
118 | C | - | 2.28 | - | - |
119 | F | - | 2.38 | - | - |
120 | S | - | 3.4 | - | - |
121 | N | - | 3.88 | - | - |
122 | V | - | 0.6 | - | - |
123 | Y | - | 0.77 | - | - |
124 | A | - | 0.14 | - | - |
125 | D | - | 2.13 | - | - |
126 | S | - | -0.21 | - | - |
127 | F | - | -5.13 | - | - |
128 | V | - | -0.51 | - | - |
129 | V | - | -0.89 | - | - |
130 | K | - | 5.69 | - | - |
131 | G | - | 3.27 | - | - |
132 | D | - | 5.3 | - | - |
133 | D | - | -2.49 | - | - |
134 | V | - | 0.8 | - | - |
135 | R | - | 4.31 | - | - |
136 | Q | - | -1.22 | - | - |
137 | I | - | -0.8 | - | - |
138 | A | - | 13.1 | - | - |
139 | P | - | 12.79 | - | - |
140 | G | - | 1.93 | - | - |
141 | Q | - | 2.01 | - | - |
142 | T | - | -0.3 | - | - |
143 | G | - | -0.98 | - | - |
144 | V | - | 2.6 | - | - |
145 | I | - | 4.17 | - | - |
146 | A | - | -0.48 | - | - |
147 | D | - | -0.94 | - | - |
148 | Y | - | 1.92 | - | - |
149 | N | - | 4.15 | - | - |
150 | Y | - | -0.33 | - | - |
151 | K | - | 0.58 | - | - |
152 | L | - | 13.62 | - | - |
153 | P | - | 12.09 | - | - |
154 | D | - | 1.73 | - | - |
155 | D | - | 1.72 | - | - |
156 | F | - | 0.83 | - | - |
157 | M | - | 3.58 | - | - |
158 | G | - | -0.33 | - | - |
159 | C | - | 1.99 | - | - |
160 | V | - | -0.52 | - | - |
161 | L | - | -1.42 | - | - |
162 | A | - | -1.95 | - | - |
163 | W | - | -0.62 | - | - |
164 | N | - | 3.29 | - | - |
165 | T | - | 5.55 | - | - |
166 | R | - | 8.32 | - | - |
167 | N | - | 1.49 | - | - |
168 | I | - | 2.54 | - | - |
169 | D | - | -2.87 | - | - |
170 | A | - | -0.61 | - | - |
171 | T | - | 1.27 | - | - |
172 | S | - | 0.55 | - | - |
173 | T | - | 1.94 | - | - |
174 | G | - | -0.79 | - | - |
175 | N | - | 4.18 | - | - |
176 | Y | - | 7.29 | - | - |
177 | N | - | 2.79 | - | - |
178 | Y | - | 2.93 | - | - |
179 | K | - | 1.91 | - | - |
180 | Y | - | 1.86 | - | - |
181 | R | - | -1.22 | - | - |
182 | Y | - | -0.96 | - | - |
183 | L | - | 0.69 | - | - |
184 | R | - | 0.97 | - | - |
185 | H | - | 3.37 | - | - |
186 | G | - | -0.3 | - | - |
187 | K | - | 2.44 | - | - |
188 | L | - | -0.15 | - | - |
189 | R | - | 9.69 | - | - |
190 | P | - | 2.73 | - | - |
191 | F | - | 3.91 | - | - |
192 | E | - | -0.61 | - | - |
193 | R | - | 0.79 | - | - |
194 | D | - | 1.18 | - | - |
195 | I | - | 2.5 | - | - |
196 | S | - | 0.12 | - | - |
197 | N | - | 0.72 | - | - |
198 | V | - | 5.79 | - | - |
199 | P | - | 5.83 | - | - |
200 | F | - | -0.51 | - | - |
201 | S | - | 3.2 | - | - |
202 | P | - | 0.22 | - | - |
203 | D | - | 0.7 | - | - |
204 | G | - | -2.43 | - | - |
205 | K | - | 8.68 | - | - |
206 | P | - | 4.05 | - | - |
207 | C | - | 2.32 | - | - |
208 | T | - | 4.08 | - | - |
209 | P | - | 0.11 | - | - |
210 | P | - | 2.3 | - | - |
211 | A | - | 3.44 | - | - |
212 | L | - | 1.22 | - | - |
213 | N | - | -2.44 | - | - |
214 | C | - | 2.59 | - | - |
215 | Y | - | 1.27 | - | - |
216 | W | - | 3.91 | - | - |
217 | P | - | 3.64 | - | - |
218 | L | - | 4.07 | - | - |
219 | N | - | 1.84 | - | - |
220 | D | - | 1.57 | - | - |
221 | Y | - | 7.06 | - | - |
222 | G | - | 5.48 | - | - |
223 | F | - | 6.72 | - | - |
224 | Y | - | 3.03 | - | - |
225 | T | - | 2.03 | - | - |
226 | T | - | 1.9 | - | - |
227 | T | - | 1.86 | - | - |
228 | G | - | 0.84 | - | - |
229 | I | - | 3.33 | - | - |
230 | G | - | 2.09 | - | - |
231 | Y | - | 0.56 | - | - |
232 | Q | - | -0.44 | - | - |
233 | P | - | -5.25 | - | - |
234 | Y | - | 1.29 | - | - |
235 | R | - | -1.48 | - | - |
236 | V | - | -4.75 | - | - |
237 | V | - | -4.0 | - | - |
238 | V | - | 0.5 | - | - |
239 | L | - | -2.85 | - | - |
240 | S | - | 1.41 | - | - |
241 | F | - | 3.87 | - | - |
242 | E | - | 1.58 | - | - |
243 | L | - | 5.0 | - | - |
244 | L | - | 1.76 | - | - |
245 | N | - | 13.26 | - | - |
246 | P | - | 11.01 | - | - |
247 | K | - | 12.61 | - | - |
248 | L | - | 4.04 | - | - |
249 | S | - | 2.76 | - | - |
250 | T | - | 4.54 | - | - |
251 | D | - | 2.72 | - | - |
252 | L | - | 4.59 | - | - |
253 | I | - | 5.34 | - | - |
254 | K | - | 39.1 | - | - |
255 | N | - | 30.6 | - | - |
256 | Q | - | 13.6 | - | - |
257 | C | - | 40.63 | - | - |
258 | V | - | 55.1 | - | - |
259 | N | - | 1.25 | - | - |
260 | F | - | 9.13 | - | - |
261 | N | - | 4.05 | - | - |
262 | F | - | 6.41 | - | - |
263 | N | - | 5.07 | - | - |
264 | G | - | -1.13 | - | - |
265 | L | - | 3.66 | - | - |
266 | T | - | 4.15 | - | - |
267 | G | - | 9.7 | - | - |
268 | T | - | 3.53 | - | - |
269 | G | - | 1.95 | - | - |
270 | V | - | 4.51 | - | - |
271 | L | - | -0.12 | - | - |
272 | T | - | 25.28 | - | - |
273 | P | - | 17.8 | - | - |
274 | S | - | 2.66 | - | - |
275 | S | - | 4.45 | - | - |
276 | K | - | 12.78 | - | - |
277 | R | - | 10.92 | - | - |
278 | F | - | 12.04 | - | - |
279 | Q | - | 62.64 | - | - |
280 | P | - | 52.08 | - | - |
281 | F | - | 3.02 | - | - |
282 | Q | - | 8.28 | - | - |
283 | Q | - | 15.59 | - | - |
284 | F | - | 15.49 | - | - |
285 | G | - | 3.07 | - | - |
286 | R | - | 9.66 | - | - |
287 | D | - | 7.83 | - | - |
288 | V | - | 7.42 | - | - |
289 | S | - | 8.58 | - | - |
290 | D | - | -0.46 | - | - |
291 | F | - | 7.58 | - | - |
292 | T | - | 2.03 | - | - |
293 | D | - | 8.07 | - | - |
294 | S | - | 2.75 | - | - |
295 | V | - | 2.41 | - | - |
296 | R | - | 12.6 | - | - |
297 | D | - | 5.06 | - | - |
298 | P | - | 6.91 | - | - |
299 | K | - | 0.6 | - | - |
300 | T | - | -0.2 | - | - |
301 | S | - | 5.08 | - | - |
302 | E | - | 7.0 | - | - |
303 | I | - | 0.72 | - | - |
304 | L | - | 2.54 | - | - |
305 | D | - | 8.63 | - | - |
306 | I | - | -0.74 | - | - |
307 | S | - | 4.51 | - | - |
308 | P | - | 2.91 | - | - |
309 | C | - | 5.74 | - | - |
310 | S | - | 2.0 | - | - |
311 | F | - | 26.92 | - | - |
312 | G | - | -1.75 | - | - |
313 | G | - | 0.84 | - | - |
314 | V | - | 1.87 | - | - |
315 | S | - | 0.14 | - | - |
316 | V | - | 3.23 | - | - |
317 | I | - | 7.97 | - | - |
318 | T | - | 13.27 | - | - |
319 | P | - | 17.6 | - | - |
320 | G | - | 3.66 | - | - |
321 | T | - | 2.73 | - | - |
322 | N | - | 2.12 | - | - |
323 | A | - | 2.66 | - | - |
324 | S | - | 2.76 | - | - |
325 | S | - | 3.89 | - | - |
326 | E | - | 2.8 | - | - |
327 | V | - | 5.35 | - | - |
328 | A | - | -1.28 | - | - |
329 | V | - | -1.31 | - | - |
330 | L | - | 1.64 | - | - |
331 | Y | - | 5.97 | - | - |
332 | Q | - | 5.04 | - | - |
333 | D | - | 3.88 | - | - |
334 | V | - | 26.85 | - | - |
335 | N | - | 1.69 | - | - |
336 | C | - | 4.01 | - | - |
337 | T | - | 23.43 | - | - |
338 | D | - | -0.73 | - | - |
339 | V | - | 2.53 | - | - |
340 | S | - | -0.52 | - | - |
341 | T | - | 1.97 | - | - |
342 | A | - | 2.95 | - | - |
343 | I | - | 101.59 | - | - |
344 | H | - | 2.58 | - | - |
345 | A | - | 6.25 | - | - |
346 | D | - | 7.0 | - | - |
347 | Q | - | 8.29 | - | - |
348 | L | - | 1.39 | - | - |
349 | T | - | 48.69 | - | - |
350 | P | - | 150.81 | - | - |
351 | A | - | 4.95 | - | - |
352 | W | - | 75.24 | - | - |
353 | R | - | 6.24 | - | - |
354 | I | - | 80.49 | - | - |
355 | Y | - | 2.38 | - | - |
356 | S | - | 21.51 | - | - |
357 | T | - | 0.34 | - | - |
358 | G | - | 1.66 | - | - |
359 | N | - | 0.83 | - | - |
360 | N | - | 1.79 | - | - |
361 | V | - | 19.26 | - | - |
362 | F | - | 4.56 | - | - |
363 | Q | - | 0.4 | - | - |
364 | T | - | 1.72 | - | - |
365 | Q | - | 1.76 | - | - |
366 | A | - | -0.15 | - | - |
367 | G | - | -3.11 | - | - |
368 | C | - | 3.71 | - | - |
369 | L | - | -1.96 | - | - |
370 | I | - | -2.98 | - | - |
371 | G | - | -0.61 | - | - |
372 | A | - | 1.11 | - | - |
373 | E | - | 10.05 | - | - |
374 | H | - | 7.94 | - | - |
375 | V | - | 4.25 | - | - |
376 | D | - | -1.28 | - | - |
377 | T | - | 0.87 | - | - |
378 | S | - | 7.54 | - | - |
379 | Y | - | 12.72 | - | - |
380 | E | - | 5.75 | - | - |
381 | C | - | 2.52 | - | - |
382 | D | - | 3.21 | - | - |
383 | I | - | 3.43 | - | - |
384 | P | - | -2.66 | - | - |
385 | I | - | 3.05 | - | - |
386 | G | - | -0.88 | - | - |
387 | A | - | -0.32 | - | - |
388 | G | - | -0.37 | - | - |
389 | I | - | 1.15 | - | - |
390 | C | - | 0.68 | - | - |
391 | A | - | 1.62 | - | - |
392 | S | - | 4.65 | - | - |
393 | Y | - | 58.94 | - | - |
394 | V | - | 5.01 | - | - |
395 | A | - | 6.27 | - | - |
396 | Y | - | 6.79 | - | - |
397 | T | - | 1.66 | - | - |
398 | M | - | 8.21 | - | - |
399 | S | - | 1.74 | - | - |
400 | L | - | 3.45 | - | - |
401 | G | - | 8.21 | - | - |
402 | A | - | 7.96 | - | - |
403 | D | - | 0.4 | - | - |
404 | S | - | 170.69 | - | - |
405 | S | - | 6.68 | - | - |
406 | I | - | 2.95 | - | - |
407 | A | - | 1.46 | - | - |
408 | Y | - | 5.26 | - | - |
409 | S | - | 29.56 | - | - |
410 | N | - | 1.15 | - | - |
411 | N | - | 0.41 | - | - |
412 | T | - | -1.27 | - | - |
413 | I | - | 755.91 | - | - |
414 | A | - | 42.71 | - | - |
415 | I | - | 477.09 | - | - |
416 | P | - | 113.72 | - | - |
417 | T | - | 2.87 | - | - |
418 | N | - | 5.03 | - | - |
419 | F | - | 0.82 | - | - |
420 | S | - | 0.76 | - | - |
421 | I | - | 1.84 | - | - |
422 | S | - | 1.97 | - | - |
423 | I | - | 3.34 | - | - |
424 | T | - | -0.43 | - | - |
425 | T | - | -0.86 | - | - |
426 | E | - | -2.48 | - | - |
427 | V | - | 5.0 | - | - |
428 | M | - | 5.6 | - | - |
429 | P | - | -3.8 | - | - |
430 | V | - | -0.76 | - | - |
431 | S | - | -0.07 | - | - |
432 | M | - | 5.75 | - | - |
433 | A | - | 1.83 | - | - |
434 | K | - | -0.72 | - | - |
435 | T | - | 2.24 | - | - |
436 | S | - | -1.59 | - | - |
437 | V | - | 0.43 | - | - |
438 | D | - | 0.48 | - | - |
439 | C | - | 2.89 | - | - |
440 | N | - | 0.32 | - | - |
441 | M | - | 10.8 | - | - |
442 | Y | - | -1.84 | - | - |
443 | I | - | -0.24 | - | - |
444 | C | - | 2.18 | - | - |
445 | G | - | 5.63 | - | - |
446 | D | - | 5.12 | - | - |
447 | S | - | -0.6 | - | - |
448 | T | - | 2.78 | - | - |
449 | E | - | 1.56 | - | - |
450 | C | - | 2.01 | - | - |
451 | A | - | 0.26 | - | - |
452 | N | - | 3.38 | - | - |
453 | L | - | -2.15 | - | - |
454 | L | - | 6.47 | - | - |
455 | L | - | 2.48 | - | - |
456 | Q | - | 7.58 | - | - |
457 | Y | - | 10.73 | - | - |
458 | G | - | 0.27 | - | - |
459 | S | - | 6.58 | - | - |
460 | F | - | 9.2 | - | - |
461 | C | - | 7.68 | - | - |
462 | T | - | 3.23 | - | - |
463 | Q | - | 2.71 | - | - |
464 | L | - | 1.33 | - | - |
465 | N | - | 6.0 | - | - |
466 | R | - | 2.19 | - | - |
467 | A | - | 0.5 | - | - |
468 | L | - | 0.2 | - | - |
469 | S | - | -0.22 | - | - |
470 | G | - | 1.85 | - | - |
471 | I | - | -0.1 | - | - |
472 | A | - | 0.57 | - | - |
473 | A | - | -0.0 | - | - |
474 | E | - | 1.06 | - | - |
475 | Q | - | 4.02 | - | - |
476 | D | - | -2.91 | - | - |
477 | R | - | 3.24 | - | - |
478 | N | - | -0.76 | - | - |
479 | T | - | 1.62 | - | - |
480 | R | - | 2.13 | - | - |
481 | E | - | 0.96 | - | - |
482 | V | - | -0.42 | - | - |
483 | F | - | 1.58 | - | - |
484 | A | - | 1.11 | - | - |
485 | Q | - | 2.92 | - | - |
486 | V | - | 2.85 | - | - |
487 | K | - | 1.83 | - | - |
488 | Q | - | 113.02 | - | - |
489 | M | - | 1.04 | - | - |
490 | Y | - | 1.95 | - | - |
491 | K | - | -0.91 | - | - |
492 | T | - | 8.22 | - | - |
493 | P | - | 1.37 | - | - |
494 | T | - | 0.73 | - | - |
495 | L | - | 1.04 | - | - |
496 | K | - | 11.13 | - | - |
497 | Y | - | 11.73 | - | - |
498 | F | - | 8.08 | - | - |
499 | G | - | 1.72 | - | - |
500 | G | - | 3.04 | - | - |
501 | F | - | 655.4 | - | - |
502 | N | - | 6.76 | - | - |
503 | F | - | 21.27 | - | - |
504 | S | - | 3.16 | - | - |
505 | Q | - | 8.06 | - | - |
506 | I | - | 53.85 | - | - |
507 | L | - | 33.23 | - | - |
508 | P | - | 12.27 | - | - |
509 | D | - | 62.58 | - | - |
510 | P | - | 5.98 | - | - |
511 | L | - | 4.0 | - | - |
512 | K | - | 55.82 | - | - |
513 | P | - | 3.81 | - | - |
514 | T | - | 0.84 | - | - |
515 | K | - | 27.04 | - | - |
516 | R | - | 30.49 | - | - |
517 | S | - | 5.97 | - | - |
518 | F | - | 5.69 | - | - |
519 | I | - | 50.94 | - | - |
520 | E | - | 1.42 | - | - |
521 | D | - | 2.59 | - | - |
522 | L | - | -1.27 | - | - |
523 | L | - | -1.74 | - | - |
524 | F | - | 3.39 | - | - |
525 | N | - | 2.9 | - | - |
526 | K | - | 3.27 | - | - |
527 | V | - | 1.66 | - | - |
528 | T | - | 2.38 | - | - |
529 | L | - | 16.14 | - | - |
530 | K | - | 7.5 | - | - |
531 | F | - | 2.77 | - | - |
532 | N | - | 2.33 | - | - |
533 | G | - | 2.19 | - | - |
534 | L | - | -0.64 | - | - |
535 | T | - | 2.4 | - | - |
536 | V | - | 0.12 | - | - |
537 | L | - | -1.49 | - | - |
538 | P | - | -3.89 | - | - |
539 | P | - | -4.49 | - | - |
540 | L | - | -1.68 | - | - |
541 | L | - | -1.79 | - | - |
542 | T | - | 0.63 | - | - |
543 | D | - | -0.55 | - | - |
544 | D | - | -0.92 | - | - |
545 | M | - | 3.5 | - | - |
546 | I | - | -2.07 | - | - |
547 | A | - | -0.24 | - | - |
548 | A | - | -1.8 | - | - |
549 | Y | - | 0.03 | - | - |
550 | T | - | 0.06 | - | - |
551 | A | - | -0.67 | - | - |
552 | A | - | -1.28 | - | - |
553 | L | - | -1.04 | - | - |
554 | V | - | 4.55 | - | - |
555 | S | - | 1.56 | - | - |
556 | G | - | 94.01 | - | - |
557 | P | - | 68.84 | - | - |
558 | F | - | 7.09 | - | - |
559 | A | - | 0.96 | - | - |
560 | M | - | -0.65 | - | - |
561 | Q | - | -0.31 | - | - |
562 | M | - | 51.39 | - | - |
563 | A | - | -2.31 | - | - |
564 | Y | - | 2.52 | - | - |
565 | R | - | 263.49 | - | - |
566 | F | - | 222.56 | - | - |
567 | N | - | 0.77 | - | - |
568 | G | G | 1.26 | 4.23 | -2.96 |
569 | I | I | 49.84 | 4.29 | 45.54 |
570 | G | G | 0.11 | 5.02 | -4.91 |
571 | V | V | 2.83 | 6.8 | -3.97 |
572 | T | T | 14.36 | 1.69 | 12.66 |
573 | Q | Q | 1.75 | 8.93 | -7.18 |
574 | N | N | 4.62 | 7.07 | -2.45 |
575 | V | V | 12.81 | 0.61 | 12.19 |
576 | L | L | 2.41 | 0.13 | 2.27 |
577 | Y | Y | 5.22 | -3.64 | 8.86 |
578 | E | E | 6.66 | 3.73 | 2.93 |
579 | N | N | 6.03 | -1.48 | 7.51 |
580 | Q | Q | 4.86 | 1.55 | 3.31 |
581 | K | K | 0.71 | 2.68 | -1.97 |
582 | Q | Q | 2.48 | 2.13 | 0.35 |
583 | I | I | 185.81 | 0.95 | 184.86 |
584 | A | A | 439.3 | -3.12 | 442.43 |
585 | N | N | 1.92 | -0.58 | 2.5 |
586 | Q | Q | 3.73 | 1.33 | 2.4 |
587 | F | F | 17.94 | -1.58 | 19.51 |
588 | N | N | 4.75 | -4.79 | 9.54 |
589 | K | K | 0.74 | -0.3 | 1.04 |
590 | A | A | -0.21 | -1.69 | 1.49 |
591 | I | I | 2.7 | -2.47 | 5.17 |
592 | S | S | 1.42 | 0.6 | 0.82 |
593 | Q | Q | 1.79 | 3.41 | -1.61 |
594 | I | I | 0.71 | -1.56 | 2.27 |
595 | Q | Q | 5.62 | -2.65 | 8.27 |
596 | E | E | 2.62 | 2.89 | -0.27 |
597 | S | S | 7.67 | 1.11 | 6.56 |
598 | L | L | 14.62 | -2.14 | 16.76 |
599 | T | T | 7.94 | 1.11 | 6.83 |
600 | T | T | 6.06 | 0.36 | 5.69 |
601 | T | T | 7.18 | -1.57 | 8.75 |
602 | S | S | 5.96 | 1.24 | 4.72 |
603 | T | T | 4.21 | -0.24 | 4.45 |
604 | A | A | 4.71 | -1.19 | 5.9 |
605 | L | L | -0.82 | -3.14 | 2.32 |
606 | G | G | 4.0 | 0.63 | 3.37 |
607 | K | K | 4.96 | -1.22 | 6.18 |
608 | L | L | -3.58 | -0.52 | -3.06 |
609 | Q | Q | 2.36 | -1.85 | 4.21 |
610 | D | D | 0.63 | 0.39 | 0.24 |
611 | V | V | -0.93 | -0.39 | -0.53 |
612 | V | V | 0.6 | -1.06 | 1.65 |
613 | N | N | -0.35 | -5.41 | 5.05 |
614 | Q | Q | 0.1 | 0.86 | -0.76 |
615 | N | N | -1.55 | -1.54 | -0.0 |
616 | A | A | 0.6 | -2.22 | 2.82 |
617 | Q | Q | 0.5 | 14.1 | -13.6 |
618 | A | A | -0.08 | -0.26 | 0.18 |
619 | L | L | -2.4 | 4.04 | -6.44 |
620 | N | N | 1.26 | -4.14 | 5.4 |
621 | T | T | 0.41 | 0.85 | -0.44 |
622 | L | L | 0.85 | -0.88 | 1.73 |
623 | V | V | 0.22 | -2.24 | 2.46 |
624 | K | K | 1.57 | 2.76 | -1.19 |
625 | Q | Q | 4.14 | 3.37 | 0.77 |
626 | L | L | 5.79 | -3.01 | 8.8 |
627 | S | S | 2.97 | -0.07 | 3.04 |
628 | S | S | 1.59 | 1.59 | 0.0 |
629 | N | N | 2.68 | 0.38 | 2.29 |
630 | F | F | 11.28 | 3.64 | 7.64 |
631 | G | G | 5.53 | 0.63 | 4.9 |
632 | A | A | 1.99 | 0.16 | 1.82 |
633 | I | I | 11.27 | -0.76 | 12.03 |
634 | S | S | 6.7 | -0.97 | 7.68 |
635 | S | S | 1.15 | 0.75 | 0.4 |
636 | V | V | 1.2 | 0.47 | 0.72 |
637 | L | L | 2.33 | -1.69 | 4.02 |
638 | N | N | 7.31 | 1.17 | 6.14 |
639 | D | D | 3.1 | 1.61 | 1.5 |
640 | I | I | 6.34 | 4.05 | 2.29 |
641 | L | L | 1.57 | 3.17 | -1.6 |
642 | S | S | 4.04 | 3.18 | 0.86 |
643 | R | R | 11.86 | 3.46 | 8.4 |
644 | L | L | 11.85 | 3.47 | 8.38 |
645 | D | D | 1.38 | 6.93 | -5.55 |
646 | K | K | 1.79 | 0.25 | 1.54 |
647 | V | - | 3.54 | - | - |
648 | E | - | 3.61 | - | - |
649 | A | - | -1.16 | - | - |
650 | E | - | 3.48 | - | - |
651 | V | - | 0.64 | - | - |
652 | Q | - | 0.92 | - | - |
653 | I | - | -2.35 | - | - |
654 | D | - | 3.26 | - | - |
655 | R | - | 0.93 | - | - |
656 | L | - | -1.21 | - | - |
657 | I | - | -1.49 | - | - |
658 | T | - | 1.23 | - | - |
659 | G | - | 0.71 | - | - |
660 | R | - | 0.22 | - | - |
661 | L | - | 1.69 | - | - |
662 | Q | - | 2.45 | - | - |
663 | S | - | 0.83 | - | - |
664 | L | - | -2.75 | - | - |
665 | Q | - | -0.67 | - | - |
666 | T | - | 0.71 | - | - |
667 | Y | - | -1.63 | - | - |
668 | V | V | -2.36 | 1.56 | -3.92 |
669 | T | - | 1.4 | - | - |
670 | Q | - | 2.49 | - | - |
671 | Q | - | -1.1 | - | - |
672 | L | - | -1.64 | - | - |
673 | I | - | -0.34 | - | - |
674 | R | - | 0.13 | - | - |
675 | A | - | -1.51 | - | - |
676 | A | - | -1.35 | - | - |
677 | E | E | 0.15 | 0.39 | -0.23 |
678 | I | - | -0.12 | - | - |
679 | R | - | 5.97 | - | - |
680 | A | - | -0.35 | - | - |
681 | S | - | -0.62 | - | - |
682 | A | - | -1.47 | - | - |
683 | N | - | 2.11 | - | - |
684 | L | - | -0.3 | - | - |
685 | A | - | -1.68 | - | - |
686 | A | A | 1.29 | 2.2 | -0.91 |
687 | T | - | 4.9 | - | - |
688 | K | - | 5.46 | - | - |
689 | M | - | 4.1 | - | - |
690 | S | - | -0.32 | - | - |
691 | E | E | 14.32 | 1.35 | 12.97 |
692 | C | - | 16.7 | - | - |
693 | V | - | 5.97 | - | - |
694 | L | - | 9.19 | - | - |
695 | G | - | 2.07 | - | - |
696 | Q | - | 14.24 | - | - |
697 | S | - | 5.3 | - | - |
698 | K | - | 16.3 | - | - |
699 | R | - | 7.31 | - | - |
700 | V | - | 5.17 | - | - |
701 | D | - | 2.03 | - | - |
702 | F | - | 12.95 | - | - |
703 | C | - | 6.0 | - | - |
704 | G | - | -1.06 | - | - |
705 | K | - | 3.75 | - | - |
706 | G | - | 1.58 | - | - |
707 | Y | - | 11.58 | - | - |
708 | H | - | 7.18 | - | - |
709 | L | - | 35.38 | - | - |
710 | M | - | 155.25 | - | - |
711 | S | - | 1.18 | - | - |
712 | F | - | 10.73 | - | - |
713 | P | - | 3.64 | - | - |
714 | Q | - | 1.81 | - | - |
715 | A | - | 1.03 | - | - |
716 | A | - | 0.92 | - | - |
717 | P | - | -1.24 | - | - |
718 | H | - | -0.22 | - | - |
719 | G | - | -1.28 | - | - |
720 | V | - | -2.93 | - | - |
721 | V | - | 2.07 | - | - |
722 | F | - | 1.33 | - | - |
723 | L | - | 3.07 | - | - |
724 | H | - | -0.97 | - | - |
725 | V | - | -1.07 | - | - |
726 | T | - | 7.83 | - | - |
727 | Y | - | 183.27 | - | - |
728 | V | V | 5.48 | 4.51 | 0.98 |
729 | P | - | -0.34 | - | - |
730 | S | - | 1.27 | - | - |
731 | Q | - | 4.82 | - | - |
732 | E | - | 4.28 | - | - |
733 | R | - | 24.55 | - | - |
734 | N | - | 3.46 | - | - |
735 | F | - | 991.98 | - | - |
736 | T | - | 4.49 | - | - |
737 | T | - | 0.99 | - | - |
738 | F | - | 2.73 | - | - |
739 | M | - | 9.04 | - | - |
740 | L | L | 5.56 | 24.19 | -18.64 |
741 | K | - | 4.91 | - | - |
742 | Y | - | 8.43 | - | - |
743 | D | - | -0.66 | - | - |
744 | E | - | 9.58 | - | - |
745 | N | - | 5.56 | - | - |
746 | G | G | 4.57 | 6.86 | -2.29 |
747 | T | - | 1.98 | - | - |
748 | I | - | 1.98 | - | - |
749 | T | - | 1.64 | - | - |
750 | D | - | 3.75 | - | - |
751 | A | - | -0.35 | - | - |
752 | V | - | 3.25 | - | - |
753 | D | - | -0.85 | - | - |
754 | C | - | 16.32 | - | - |
755 | S | - | 7.28 | - | - |
756 | Q | - | 1.4 | - | - |
757 | N | - | 7.0 | - | - |
758 | P | - | 61.97 | - | - |
759 | L | - | 4.61 | - | - |
760 | A | - | -1.9 | - | - |
761 | E | - | 0.14 | - | - |
762 | L | - | 1.93 | - | - |
763 | K | - | 2.22 | - | - |
764 | C | - | 17.89 | - | - |
765 | S | - | 2.91 | - | - |
766 | V | - | 13.7 | - | - |
767 | K | - | 9.12 | - | - |
768 | S | - | 5.27 | - | - |
769 | F | - | 12.49 | - | - |
770 | E | - | 4.56 | - | - |
771 | I | - | 6.54 | - | - |
772 | D | D | 3.17 | 4.74 | -1.57 |
773 | K | - | 12.74 | - | - |
774 | G | - | 6.12 | - | - |
775 | I | I | 27.31 | 3.71 | 23.61 |
776 | Y | - | 4.04 | - | - |
777 | Q | - | 2.55 | - | - |
778 | T | - | 1.5 | - | - |
779 | S | - | 3.71 | - | - |
780 | N | - | 75.78 | - | - |
781 | F | - | 0.44 | - | - |
782 | R | - | 5.24 | - | - |
783 | V | - | 2.88 | - | - |
784 | V | - | 4.65 | - | - |
785 | P | - | 3.77 | - | - |
786 | S | S | 3.3 | 0.29 | 3.01 |
787 | G | - | 2.07 | - | - |
788 | D | - | 4.17 | - | - |
789 | V | - | 1.77 | - | - |
790 | V | - | 5.34 | - | - |
791 | R | - | 11.38 | - | - |
792 | F | - | 16.12 | - | - |
793 | P | - | 12.16 | - | - |
794 | N | - | 3.25 | - | - |
795 | I | - | 6.58 | - | - |
796 | T | - | 1.83 | - | - |
797 | N | - | 4.12 | - | - |
798 | L | - | 6.26 | - | - |
799 | C | - | 8.38 | - | - |
800 | P | - | 3.84 | - | - |
801 | F | - | 0.86 | - | - |
802 | G | G | 1.85 | 1.84 | 0.01 |
803 | E | - | 1.65 | - | - |
804 | V | - | -1.11 | - | - |
805 | F | - | -0.63 | - | - |
806 | N | - | -0.26 | - | - |
807 | A | - | 2.27 | - | - |
808 | T | - | 4.28 | - | - |
809 | K | - | 2.25 | - | - |
810 | F | - | 4.32 | - | - |
811 | P | - | -1.05 | - | - |
812 | S | - | 1.81 | - | - |
813 | V | - | 1.23 | - | - |
814 | Y | - | 2.53 | - | - |
815 | A | - | 0.91 | - | - |
816 | W | - | 3.07 | - | - |
817 | E | - | 1.52 | - | - |
818 | R | - | 1.24 | - | - |
819 | K | - | -0.32 | - | - |
820 | K | - | -0.06 | - | - |
821 | I | I | -1.52 | 3.95 | -5.47 |
822 | S | - | 0.5 | - | - |
823 | N | N | 0.23 | 1.71 | -1.48 |
824 | C | - | 8.3 | - | - |
825 | V | - | 0.86 | - | - |
826 | A | A | -0.35 | 2.87 | -3.21 |
827 | D | - | 1.17 | - | - |
828 | Y | - | 2.93 | - | - |
829 | S | S | 2.58 | -0.56 | 3.15 |
830 | V | V | 2.19 | 0.33 | 1.86 |
831 | L | - | 1.49 | - | - |
832 | Y | - | 2.29 | - | - |
833 | N | - | 1.19 | - | - |
834 | S | - | 3.86 | - | - |
835 | T | - | 1.5 | - | - |
836 | F | - | 1.29 | - | - |
837 | F | - | -1.41 | - | - |
838 | S | - | 3.43 | - | - |
839 | T | - | 1.2 | - | - |
840 | F | - | -0.01 | - | - |
841 | K | - | 0.59 | - | - |
842 | C | - | 2.76 | - | - |
843 | Y | - | 2.44 | - | - |
844 | G | - | 1.12 | - | - |
845 | V | V | 8.97 | 0.76 | 8.2 |
846 | S | - | 6.49 | - | - |
847 | A | - | 1.51 | - | - |
848 | T | - | 2.3 | - | - |
849 | K | - | 11.68 | - | - |
850 | L | - | 6.44 | - | - |
851 | N | - | 4.99 | - | - |
852 | D | - | 7.49 | - | - |
853 | L | - | 0.97 | - | - |
854 | C | - | 2.28 | - | - |
855 | F | - | 2.38 | - | - |
856 | S | - | 3.39 | - | - |
857 | N | N | 3.89 | 0.53 | 3.35 |
858 | V | - | 0.59 | - | - |
859 | Y | - | 0.76 | - | - |
860 | A | - | 0.15 | - | - |
861 | D | - | 2.11 | - | - |
862 | S | - | -0.21 | - | - |
863 | F | - | -5.11 | - | - |
864 | V | - | -0.53 | - | - |
865 | V | - | -0.89 | - | - |
866 | K | - | 5.69 | - | - |
867 | G | - | 3.26 | - | - |
868 | D | - | 5.29 | - | - |
869 | D | - | -2.5 | - | - |
870 | V | - | 0.81 | - | - |
871 | R | - | 4.33 | - | - |
872 | Q | - | -1.22 | - | - |
873 | I | I | -0.8 | -2.34 | 1.54 |
874 | A | - | 13.09 | - | - |
875 | P | - | 12.8 | - | - |
876 | G | - | 1.95 | - | - |
877 | Q | Q | 2.02 | 0.85 | 1.17 |
878 | T | - | -0.32 | - | - |
879 | G | - | -0.99 | - | - |
880 | V | - | 2.6 | - | - |
881 | I | - | 4.18 | - | - |
882 | A | - | -0.48 | - | - |
883 | D | - | -0.94 | - | - |
884 | Y | - | 1.92 | - | - |
885 | N | - | 4.15 | - | - |
886 | Y | - | -0.32 | - | - |
887 | K | - | 0.59 | - | - |
888 | L | - | 13.59 | - | - |
889 | P | - | 12.05 | - | - |
890 | D | - | 1.73 | - | - |
891 | D | - | 1.71 | - | - |
892 | F | - | 0.82 | - | - |
893 | M | - | 3.57 | - | - |
894 | G | - | -0.34 | - | - |
895 | C | - | 1.98 | - | - |
896 | V | - | -0.52 | - | - |
897 | L | - | -1.41 | - | - |
898 | A | - | -1.95 | - | - |
899 | W | - | -0.61 | - | - |
900 | N | - | 3.29 | - | - |
901 | T | - | 5.55 | - | - |
902 | R | - | 8.32 | - | - |
903 | N | - | 1.49 | - | - |
904 | I | - | 2.54 | - | - |
905 | D | - | -2.88 | - | - |
906 | A | - | -0.61 | - | - |
907 | T | - | 1.27 | - | - |
908 | S | - | 0.55 | - | - |
909 | T | - | 1.95 | - | - |
910 | G | - | -0.79 | - | - |
911 | N | - | 4.17 | - | - |
912 | Y | - | 7.3 | - | - |
913 | N | - | 2.79 | - | - |
914 | Y | - | 2.93 | - | - |
915 | K | - | 1.9 | - | - |
916 | Y | - | 1.88 | - | - |
917 | R | - | -1.22 | - | - |
918 | Y | - | -0.96 | - | - |
919 | L | - | 0.69 | - | - |
920 | R | - | 0.97 | - | - |
921 | H | - | 3.37 | - | - |
922 | G | - | -0.29 | - | - |
923 | K | - | 2.44 | - | - |
924 | L | - | -0.15 | - | - |
925 | R | - | 9.66 | - | - |
926 | P | - | 2.7 | - | - |
927 | F | - | 3.91 | - | - |
928 | E | - | -0.61 | - | - |
929 | R | - | 0.78 | - | - |
930 | D | - | 1.18 | - | - |
931 | I | - | 2.5 | - | - |
932 | S | - | 0.12 | - | - |
933 | N | - | 0.71 | - | - |
934 | V | - | 5.74 | - | - |
935 | P | - | 5.77 | - | - |
936 | F | - | -0.51 | - | - |
937 | S | - | 3.22 | - | - |
938 | P | - | 0.21 | - | - |
939 | D | - | 0.7 | - | - |
940 | G | - | -2.43 | - | - |
941 | K | K | 8.69 | 6.54 | 2.15 |
942 | P | - | 4.06 | - | - |
943 | C | - | 2.33 | - | - |
944 | T | - | 4.08 | - | - |
945 | P | - | 0.05 | - | - |
946 | P | - | 2.26 | - | - |
947 | A | - | 3.43 | - | - |
948 | L | - | 1.22 | - | - |
949 | N | - | -2.44 | - | - |
950 | C | - | 2.58 | - | - |
951 | Y | - | 1.27 | - | - |
952 | W | - | 3.91 | - | - |
953 | P | - | 3.63 | - | - |
954 | L | - | 4.09 | - | - |
955 | N | - | 1.84 | - | - |
956 | D | - | 1.57 | - | - |
957 | Y | - | 7.05 | - | - |
958 | G | - | 5.48 | - | - |
959 | F | - | 6.72 | - | - |
960 | Y | - | 3.04 | - | - |
961 | T | - | 2.02 | - | - |
962 | T | - | 1.9 | - | - |
963 | T | - | 1.86 | - | - |
964 | G | - | 0.85 | - | - |
965 | I | - | 3.34 | - | - |
966 | G | - | 2.09 | - | - |
967 | Y | - | 0.56 | - | - |
968 | Q | - | -0.43 | - | - |
969 | P | - | -5.26 | - | - |
970 | Y | - | 1.29 | - | - |
971 | R | - | -1.48 | - | - |
972 | V | - | -4.76 | - | - |
973 | V | - | -4.0 | - | - |
974 | V | - | 0.48 | - | - |
975 | L | - | -2.87 | - | - |
976 | S | - | 1.41 | - | - |
977 | F | - | 3.88 | - | - |
978 | E | E | 1.59 | 1.7 | -0.12 |
979 | L | - | 5.0 | - | - |
980 | L | - | 1.76 | - | - |
981 | N | - | 13.27 | - | - |
982 | P | - | 10.99 | - | - |
983 | K | - | 12.61 | - | - |
984 | L | - | 4.03 | - | - |
985 | S | - | 2.77 | - | - |
986 | T | - | 4.55 | - | - |
987 | D | - | 2.71 | - | - |
988 | L | - | 4.58 | - | - |
989 | I | I | 5.36 | -2.23 | 7.59 |
990 | K | - | 39.16 | - | - |
991 | N | - | 30.65 | - | - |
992 | Q | - | 13.58 | - | - |
993 | C | - | 40.68 | - | - |
994 | V | - | 55.08 | - | - |
995 | N | - | 1.25 | - | - |
996 | F | - | 9.13 | - | - |
997 | N | - | 4.06 | - | - |
998 | F | - | 6.38 | - | - |
999 | N | - | 5.06 | - | - |
1000 | G | - | -1.14 | - | - |
1001 | L | - | 3.57 | - | - |
1002 | T | - | 4.6 | - | - |
1003 | G | - | 9.71 | - | - |
1004 | T | - | 4.03 | - | - |
1005 | G | - | 1.96 | - | - |
1006 | V | - | 4.51 | - | - |
1007 | L | - | -0.11 | - | - |
1008 | T | - | 25.28 | - | - |
1009 | P | - | 17.87 | - | - |
1010 | S | - | 2.66 | - | - |
1011 | S | - | 4.45 | - | - |
1012 | K | - | 12.86 | - | - |
1013 | R | - | 10.58 | - | - |
1014 | F | - | 12.05 | - | - |
1015 | Q | - | 62.89 | - | - |
1016 | P | - | 52.26 | - | - |
1017 | F | - | 3.02 | - | - |
1018 | Q | - | 8.28 | - | - |
1019 | Q | - | 15.6 | - | - |
1020 | F | - | 15.5 | - | - |
1021 | G | - | 3.07 | - | - |
1022 | R | - | 9.19 | - | - |
1023 | D | - | 7.82 | - | - |
1024 | V | - | 7.41 | - | - |
1025 | S | - | 8.62 | - | - |
1026 | D | - | -0.34 | - | - |
1027 | F | - | 7.64 | - | - |
1028 | T | - | 2.03 | - | - |
1029 | D | D | 8.05 | -0.99 | 9.05 |
1030 | S | - | 2.75 | - | - |
1031 | V | - | 2.39 | - | - |
1032 | R | R | 12.6 | 7.76 | 4.84 |
1033 | D | - | 5.14 | - | - |
1034 | P | - | 7.0 | - | - |
1035 | K | - | 0.61 | - | - |
1036 | T | - | -0.2 | - | - |
1037 | S | - | 5.08 | - | - |
1038 | E | - | 7.02 | - | - |
1039 | I | - | 0.71 | - | - |
1040 | L | L | 2.52 | -0.89 | 3.41 |
1041 | D | - | 8.64 | - | - |
1042 | I | - | -0.79 | - | - |
1043 | S | - | 4.52 | - | - |
1044 | P | - | 4.64 | - | - |
1045 | C | - | 5.71 | - | - |
1046 | S | - | 3.87 | - | - |
1047 | F | - | 27.53 | - | - |
1048 | G | - | -1.76 | - | - |
1049 | G | - | 0.8 | - | - |
1050 | V | - | 1.86 | - | - |
1051 | S | - | 0.13 | - | - |
1052 | V | - | 3.23 | - | - |
1053 | I | - | 8.01 | - | - |
1054 | T | - | 13.32 | - | - |
1055 | P | - | 17.62 | - | - |
1056 | G | - | 3.66 | - | - |
1057 | T | - | 2.73 | - | - |
1058 | N | N | 2.13 | 0.92 | 1.21 |
1059 | A | - | 2.65 | - | - |
1060 | S | - | 2.76 | - | - |
1061 | S | - | 3.9 | - | - |
1062 | E | E | 2.81 | 1.43 | 1.38 |
1063 | V | V | 5.4 | -0.77 | 6.17 |
1064 | A | A | -1.28 | -3.08 | 1.8 |
1065 | V | - | -1.31 | - | - |
1066 | L | - | 1.65 | - | - |
1067 | Y | - | 5.91 | - | - |
1068 | Q | - | 5.11 | - | - |
1069 | D | - | 3.71 | - | - |
1070 | V | - | 26.86 | - | - |
1071 | - | K | - | 3.03 | - |
1072 | N | N | 1.69 | 2.44 | -0.75 |
1073 | C | - | 4.02 | - | - |
1074 | T | - | 23.38 | - | - |
1075 | D | - | -0.72 | - | - |
1076 | V | - | 2.53 | - | - |
1077 | S | - | -0.51 | - | - |
1078 | T | - | 1.96 | - | - |
1079 | A | - | 2.96 | - | - |
1080 | I | - | 101.32 | - | - |
1081 | H | - | 2.54 | - | - |
1082 | A | - | 6.25 | - | - |
1083 | D | - | 7.01 | - | - |
1084 | Q | - | 8.27 | - | - |
1085 | L | L | 1.39 | -1.79 | 3.18 |
1086 | T | - | 48.76 | - | - |
1087 | P | - | 150.59 | - | - |
1088 | A | - | 4.74 | - | - |
1089 | W | - | 77.6 | - | - |
1090 | R | - | 6.33 | - | - |
1091 | I | - | 81.65 | - | - |
1092 | Y | - | 2.38 | - | - |
1093 | S | - | 21.34 | - | - |
1094 | T | - | 0.34 | - | - |
1095 | G | - | 1.66 | - | - |
1096 | N | - | 0.83 | - | - |
1097 | N | N | 1.8 | -0.51 | 2.31 |
1098 | V | - | 19.24 | - | - |
1099 | F | - | 4.55 | - | - |
1100 | Q | - | 0.39 | - | - |
1101 | T | - | 1.73 | - | - |
1102 | Q | - | 1.75 | - | - |
1103 | A | - | -0.11 | - | - |
1104 | G | - | -3.11 | - | - |
1105 | C | - | 3.7 | - | - |
1106 | L | - | -1.95 | - | - |
1107 | I | - | -2.97 | - | - |
1108 | G | - | -0.62 | - | - |
1109 | A | - | 1.09 | - | - |
1110 | E | - | 10.05 | - | - |
1111 | H | - | 7.92 | - | - |
1112 | V | - | 4.27 | - | - |
1113 | D | - | -1.29 | - | - |
1114 | T | - | 0.88 | - | - |
1115 | S | - | 7.56 | - | - |
1116 | Y | - | 12.73 | - | - |
1117 | E | E | 5.77 | 2.54 | 3.23 |
1118 | C | - | 2.58 | - | - |
1119 | D | - | 3.21 | - | - |
1120 | I | - | 3.4 | - | - |
1121 | P | - | -2.87 | - | - |
1122 | I | - | 3.12 | - | - |
1123 | G | - | -1.27 | - | - |
1124 | A | - | -0.11 | - | - |
1125 | G | - | -0.22 | - | - |
1126 | I | - | 1.21 | - | - |
1127 | C | - | 0.74 | - | - |
1128 | A | - | 1.62 | - | - |
1129 | S | - | 4.65 | - | - |
1130 | Y | - | 58.91 | - | - |
1131 | V | - | 5.0 | - | - |
1132 | A | - | 6.27 | - | - |
1133 | Y | - | 6.82 | - | - |
1134 | T | - | 1.65 | - | - |
1135 | M | - | 8.22 | - | - |
1136 | S | S | 1.76 | 0.18 | 1.58 |
1137 | L | L | 3.51 | -1.57 | 5.08 |
1138 | G | - | 3.37 | - | - |
1139 | A | - | 8.45 | - | - |
1140 | D | - | -0.02 | - | - |
1141 | S | - | 129.08 | - | - |
1142 | S | - | 3.23 | - | - |
1143 | I | - | 5.39 | - | - |
1144 | A | - | 1.47 | - | - |
1145 | Y | - | 3.19 | - | - |
1146 | S | - | 1.56 | - | - |
1147 | N | - | 1.21 | - | - |
1148 | N | - | 0.41 | - | - |
1149 | T | - | -1.26 | - | - |
1150 | I | - | 757.27 | - | - |
1151 | A | - | 42.91 | - | - |
1152 | I | - | 476.93 | - | - |
1153 | P | - | 114.13 | - | - |
1154 | T | - | 2.86 | - | - |
1155 | N | - | 5.03 | - | - |
1156 | F | - | 0.81 | - | - |
1157 | S | - | 0.76 | - | - |
1158 | I | - | 1.84 | - | - |
1159 | S | - | 1.96 | - | - |
1160 | I | - | 3.35 | - | - |
1161 | T | - | -0.42 | - | - |
1162 | T | - | -0.86 | - | - |
1163 | E | - | -2.48 | - | - |
1164 | V | - | 4.98 | - | - |
1165 | M | - | 5.62 | - | - |
1166 | P | - | -3.8 | - | - |
1167 | V | - | -0.75 | - | - |
1168 | S | - | -0.07 | - | - |
1169 | M | - | 5.77 | - | - |
1170 | A | - | 1.83 | - | - |
1171 | K | - | -0.75 | - | - |
1172 | T | - | 2.24 | - | - |
1173 | S | - | -1.59 | - | - |
1174 | V | - | 0.43 | - | - |
1175 | D | - | 0.52 | - | - |
1176 | C | - | 2.89 | - | - |
1177 | N | - | 0.18 | - | - |
1178 | M | - | 4.65 | - | - |
1179 | Y | - | -1.85 | - | - |
1180 | I | I | -0.25 | -2.98 | 2.73 |
1181 | C | - | 2.17 | - | - |
1182 | G | - | 5.59 | - | - |
1183 | D | D | 5.09 | 0.77 | 4.33 |
1184 | S | - | -0.6 | - | - |
1185 | T | - | 2.78 | - | - |
1186 | E | - | 1.55 | - | - |
1187 | C | - | 2.01 | - | - |
1188 | A | - | 0.26 | - | - |
1189 | N | - | 3.4 | - | - |
1190 | L | - | -0.97 | - | - |
1191 | L | - | 6.42 | - | - |
1192 | L | - | 2.54 | - | - |
1193 | Q | - | 7.31 | - | - |
1194 | Y | - | 4.66 | - | - |
1195 | G | - | 1.0 | - | - |
1196 | S | - | 6.41 | - | - |
1197 | F | - | 10.43 | - | - |
1198 | C | - | 7.66 | - | - |
1199 | T | - | 3.23 | - | - |
1200 | Q | - | 2.67 | - | - |
1201 | L | - | 1.32 | - | - |
1202 | N | - | 6.06 | - | - |
1203 | R | - | 2.88 | - | - |
1204 | A | - | 0.44 | - | - |
1205 | L | L | 0.19 | 1.69 | -1.5 |
1206 | S | - | -0.2 | - | - |
1207 | G | - | 1.84 | - | - |
1208 | I | - | -0.11 | - | - |
1209 | A | - | 0.57 | - | - |
1210 | A | - | -0.0 | - | - |
1211 | E | - | 1.06 | - | - |
1212 | Q | Q | 4.02 | 4.16 | -0.14 |
1213 | D | - | -2.91 | - | - |
1214 | R | - | 3.78 | - | - |
1215 | N | - | -0.75 | - | - |
1216 | T | - | 1.62 | - | - |
1217 | R | - | 2.09 | - | - |
1218 | E | E | 0.96 | 0.91 | 0.05 |
1219 | V | - | -0.41 | - | - |
1220 | F | - | 1.57 | - | - |
1221 | A | - | 1.1 | - | - |
1222 | Q | - | 2.91 | - | - |
1223 | V | - | 2.84 | - | - |
1224 | K | - | 1.78 | - | - |
1225 | Q | - | 166.81 | - | - |
1226 | M | - | 2.77 | - | - |
1227 | Y | - | 2.07 | - | - |
1228 | K | - | -0.67 | - | - |
1229 | T | - | 8.42 | - | - |
1230 | P | - | 2.41 | - | - |
1231 | T | - | 1.5 | - | - |
1232 | L | L | 0.98 | -0.17 | 1.15 |
1233 | K | - | 11.89 | - | - |
1234 | Y | - | 12.19 | - | - |
1235 | F | - | 33.83 | - | - |
1236 | G | - | 1.76 | - | - |
1237 | G | G | 3.04 | 3.06 | -0.02 |
1238 | F | - | 652.76 | - | - |
1239 | N | - | 6.82 | - | - |
1240 | F | - | 21.28 | - | - |
1241 | S | - | 3.22 | - | - |
1242 | Q | - | 8.04 | - | - |
1243 | I | - | 54.09 | - | - |
1244 | L | - | 33.22 | - | - |
1245 | P | - | 12.24 | - | - |
1246 | D | - | 62.69 | - | - |
1247 | P | - | 5.97 | - | - |
1248 | L | - | 4.0 | - | - |
1249 | K | - | 55.99 | - | - |
1250 | P | - | 3.78 | - | - |
1251 | T | - | 0.84 | - | - |
1252 | K | - | 26.85 | - | - |
1253 | R | - | 30.31 | - | - |
1254 | S | - | 5.96 | - | - |
1255 | F | - | 5.67 | - | - |
1256 | I | - | 51.18 | - | - |
1257 | E | - | 1.41 | - | - |
1258 | D | - | 2.57 | - | - |
1259 | L | - | -1.26 | - | - |
1260 | L | - | -1.75 | - | - |
1261 | F | - | 3.39 | - | - |
1262 | N | - | 2.9 | - | - |
1263 | K | - | 3.27 | - | - |
1264 | V | - | 1.66 | - | - |
1265 | T | - | 2.39 | - | - |
1266 | L | - | 16.12 | - | - |
1267 | K | K | 7.65 | 6.62 | 1.04 |
1268 | F | - | 4.1 | - | - |
1269 | N | - | 2.29 | - | - |
1270 | G | - | 2.16 | - | - |
1271 | L | - | -0.64 | - | - |
1272 | T | - | 2.67 | - | - |
1273 | V | - | 0.11 | - | - |
1274 | L | - | -1.57 | - | - |
1275 | P | - | -4.0 | - | - |
1276 | P | - | -4.71 | - | - |
1277 | L | - | -1.32 | - | - |
1278 | L | - | -1.82 | - | - |
1279 | T | - | 0.52 | - | - |
1280 | D | - | -0.54 | - | - |
1281 | D | - | -0.92 | - | - |
1282 | M | - | 7.07 | - | - |
1283 | I | - | -2.06 | - | - |
1284 | A | - | -0.24 | - | - |
1285 | A | - | -1.79 | - | - |
1286 | Y | - | 0.32 | - | - |
1287 | T | - | 0.07 | - | - |
1288 | A | - | -0.67 | - | - |
1289 | A | - | -1.28 | - | - |
1290 | L | - | -1.04 | - | - |
1291 | V | - | 4.55 | - | - |
1292 | S | - | 1.61 | - | - |
1293 | G | - | 94.13 | - | - |
1294 | P | - | 68.78 | - | - |
1295 | F | - | 8.44 | - | - |
1296 | A | - | 0.97 | - | - |
1297 | M | - | -0.66 | - | - |
1298 | Q | - | -0.31 | - | - |
1299 | M | - | 51.47 | - | - |
1300 | A | - | -2.32 | - | - |
1301 | Y | Y | 2.53 | -1.1 | 3.63 |
1302 | R | - | 262.91 | - | - |
1303 | F | - | 222.41 | - | - |
1304 | N | - | 0.78 | - | - |
1305 | G | - | 1.26 | - | - |
1306 | I | - | 50.22 | - | - |
1307 | - | E | - | 2.93 | - |
1308 | - | X | - | 0.74 | - |
1309 | - | X | - | -0.61 | - |
1310 | G | G | 0.11 | 1.46 | -1.35 |
1311 | V | V | 2.84 | 3.57 | -0.72 |
1312 | T | T | 14.33 | 1.09 | 13.24 |
1313 | Q | Q | 1.75 | 8.97 | -7.22 |
1314 | N | N | 4.61 | 6.89 | -2.28 |
1315 | V | V | 12.8 | 1.13 | 11.67 |
1316 | L | L | 2.4 | -0.05 | 2.45 |
1317 | Y | Y | 5.22 | -3.58 | 8.8 |
1318 | E | E | 6.67 | 2.68 | 3.99 |
1319 | N | N | 6.03 | -0.93 | 6.97 |
1320 | Q | Q | 4.85 | 2.53 | 2.32 |
1321 | K | K | 0.7 | 2.46 | -1.76 |
1322 | Q | Q | 2.47 | 2.15 | 0.32 |
1323 | I | I | 185.5 | 1.56 | 183.95 |
1324 | A | A | 437.26 | -2.8 | 440.07 |
1325 | N | N | 1.89 | 0.07 | 1.81 |
1326 | Q | Q | 3.73 | 1.38 | 2.35 |
1327 | F | F | 18.07 | -2.17 | 20.24 |
1328 | N | N | 4.73 | -3.63 | 8.36 |
1329 | K | K | 0.74 | -0.37 | 1.11 |
1330 | A | A | -0.21 | -1.65 | 1.44 |
1331 | I | I | 2.69 | -2.33 | 5.02 |
1332 | S | S | 1.42 | 0.05 | 1.36 |
1333 | Q | Q | 1.81 | 4.05 | -2.24 |
1334 | I | I | 0.71 | -1.76 | 2.47 |
1335 | Q | Q | 5.62 | -1.86 | 7.49 |
1336 | E | E | 2.61 | 3.62 | -1.0 |
1337 | S | S | 7.68 | 3.08 | 4.6 |
1338 | L | L | 14.63 | -2.48 | 17.11 |
1339 | T | T | 7.95 | 0.56 | 7.39 |
1340 | T | T | 6.04 | 1.04 | 5.0 |
1341 | T | T | 7.21 | -1.55 | 8.75 |
1342 | S | S | 5.94 | -0.2 | 6.14 |
1343 | T | T | 4.21 | 0.05 | 4.15 |
1344 | A | A | 4.71 | -1.18 | 5.89 |
1345 | L | L | -0.82 | -3.24 | 2.42 |
1346 | G | G | 3.98 | 0.55 | 3.43 |
1347 | K | K | 4.48 | -1.75 | 6.23 |
1348 | L | L | -3.58 | -0.59 | -3.0 |
1349 | Q | Q | 2.36 | -2.73 | 5.09 |
1350 | D | D | 0.63 | 1.31 | -0.68 |
1351 | V | V | -0.93 | 0.35 | -1.28 |
1352 | V | V | 0.6 | -0.73 | 1.33 |
1353 | N | N | -0.32 | -5.74 | 5.42 |
1354 | Q | Q | 0.1 | 1.14 | -1.05 |
1355 | N | N | -1.54 | -1.76 | 0.21 |
1356 | A | A | 0.6 | -2.23 | 2.83 |
1357 | Q | Q | -0.09 | 13.05 | -13.14 |
1358 | A | A | -0.08 | -0.73 | 0.65 |
1359 | L | L | -2.4 | 1.09 | -3.49 |
1360 | N | N | 1.27 | -4.09 | 5.36 |
1361 | T | T | 0.53 | 0.96 | -0.43 |
1362 | L | L | 0.84 | -0.66 | 1.49 |
1363 | V | V | 0.29 | -1.46 | 1.75 |
1364 | K | K | 1.66 | 2.67 | -1.01 |
1365 | Q | Q | 2.48 | 3.44 | -0.96 |
1366 | L | L | 5.5 | -2.39 | 7.89 |
1367 | S | S | 2.87 | -0.18 | 3.05 |
1368 | S | S | 1.11 | 1.2 | -0.09 |
1369 | N | N | 2.7 | -0.47 | 3.17 |
1370 | F | F | 12.55 | 2.76 | 9.8 |
1371 | G | G | 5.51 | 0.46 | 5.05 |
1372 | A | A | 2.02 | 0.17 | 1.85 |
1373 | I | I | 11.53 | -0.21 | 11.74 |
1374 | S | S | 6.71 | -1.15 | 7.87 |
1375 | S | S | 1.09 | 0.42 | 0.66 |
1376 | V | V | 1.29 | 1.64 | -0.35 |
1377 | L | L | 2.32 | -0.91 | 3.24 |
1378 | N | N | 7.04 | 1.32 | 5.72 |
1379 | D | D | 3.11 | 1.08 | 2.03 |
1380 | I | I | 6.51 | 1.75 | 4.76 |
1381 | L | L | 1.57 | 3.54 | -1.97 |
1382 | S | S | 3.9 | 3.5 | 0.4 |
1383 | R | R | 9.97 | 3.63 | 6.34 |
1384 | L | L | 7.98 | 3.77 | 4.21 |
1385 | D | D | 1.26 | 6.8 | -5.55 |
1386 | K | K | 1.79 | 0.34 | 1.45 |
1387 | V | - | 3.51 | - | - |
1388 | E | - | 3.39 | - | - |
1389 | A | - | -1.16 | - | - |
1390 | E | - | 3.48 | - | - |
1391 | V | - | 0.64 | - | - |
1392 | Q | - | 0.92 | - | - |
1393 | I | - | -2.35 | - | - |
1394 | D | - | 3.24 | - | - |
1395 | R | - | 0.95 | - | - |
1396 | L | - | -1.21 | - | - |
1397 | I | - | -1.49 | - | - |
1398 | T | - | 1.23 | - | - |
1399 | G | - | 0.71 | - | - |
1400 | R | - | 0.21 | - | - |
1401 | L | - | 1.61 | - | - |
1402 | Q | - | 2.48 | - | - |
1403 | S | - | 0.84 | - | - |
1404 | L | - | -2.75 | - | - |
1405 | Q | - | -0.62 | - | - |
1406 | T | - | 0.61 | - | - |
1407 | Y | - | -1.64 | - | - |
1408 | V | V | -2.38 | 1.96 | -4.34 |
1409 | T | - | 1.26 | - | - |
1410 | Q | - | 2.57 | - | - |
1411 | Q | - | -1.09 | - | - |
1412 | L | - | -1.85 | - | - |
1413 | I | - | -0.12 | - | - |
1414 | R | - | 0.11 | - | - |
1415 | A | - | -1.5 | - | - |
1416 | A | - | -1.34 | - | - |
1417 | E | - | -0.25 | - | - |
1418 | I | - | -0.13 | - | - |
1419 | R | - | 6.12 | - | - |
1420 | A | - | -0.36 | - | - |
1421 | S | - | -0.62 | - | - |
1422 | A | - | -1.47 | - | - |
1423 | N | - | 2.11 | - | - |
1424 | L | - | -0.3 | - | - |
1425 | A | - | -1.68 | - | - |
1426 | A | - | 1.28 | - | - |
1427 | T | - | 4.85 | - | - |
1428 | K | - | 5.47 | - | - |
1429 | M | - | 4.1 | - | - |
1430 | S | - | -0.32 | - | - |
1431 | E | E | 14.23 | 0.54 | 13.69 |
1432 | C | - | 16.73 | - | - |
1433 | V | - | 4.95 | - | - |
1434 | L | - | 9.15 | - | - |
1435 | G | - | 1.96 | - | - |
1436 | Q | - | 11.04 | - | - |
1437 | S | - | 5.31 | - | - |
1438 | K | - | 13.66 | - | - |
1439 | R | - | 6.66 | - | - |
1440 | V | - | 5.11 | - | - |
1441 | D | - | 2.16 | - | - |
1442 | F | - | 12.96 | - | - |
1443 | C | - | 6.0 | - | - |
1444 | G | - | -1.06 | - | - |
1445 | K | - | 3.7 | - | - |
1446 | G | - | 1.58 | - | - |
1447 | Y | - | 11.61 | - | - |
1448 | H | - | 7.18 | - | - |
1449 | L | - | 35.28 | - | - |
1450 | M | - | 155.09 | - | - |
1451 | S | - | 1.17 | - | - |
1452 | F | - | 10.74 | - | - |
1453 | P | - | 3.61 | - | - |
1454 | Q | - | 1.8 | - | - |
1455 | A | - | 1.03 | - | - |
1456 | A | A | 0.93 | 2.39 | -1.46 |
1457 | P | - | -1.23 | - | - |
1458 | H | - | -0.22 | - | - |
1459 | G | - | -1.28 | - | - |
1460 | V | - | -2.94 | - | - |
1461 | V | - | 2.06 | - | - |
1462 | F | - | 1.34 | - | - |
1463 | L | - | 3.09 | - | - |
1464 | H | - | -0.98 | - | - |
1465 | V | - | -1.07 | - | - |
1466 | T | - | 7.83 | - | - |
1467 | Y | - | 183.9 | - | - |
1468 | V | - | 5.47 | - | - |
1469 | P | - | -0.34 | - | - |
1470 | S | - | 1.28 | - | - |
1471 | Q | - | 4.81 | - | - |
1472 | E | - | 4.28 | - | - |
1473 | R | - | 24.66 | - | - |
1474 | N | - | 3.48 | - | - |
1475 | F | - | 993.02 | - | - |
1476 | T | - | 4.49 | - | - |
1477 | T | - | 0.99 | - | - |
1478 | F | - | 2.72 | - | - |
1479 | M | - | 9.04 | - | - |
1480 | L | - | 5.56 | - | - |
1481 | K | - | 4.91 | - | - |
1482 | Y | - | 7.96 | - | - |
1483 | D | - | -0.65 | - | - |
1484 | E | E | 9.64 | 1.53 | 8.11 |
1485 | N | - | 5.58 | - | - |
1486 | G | - | 4.33 | - | - |
1487 | T | - | 1.98 | - | - |
1488 | I | - | 2.0 | - | - |
1489 | T | - | 1.65 | - | - |
1490 | D | - | 3.75 | - | - |
1491 | A | - | -0.35 | - | - |
1492 | V | V | 3.24 | 4.78 | -1.54 |
1493 | D | - | -0.84 | - | - |
1494 | C | - | 16.28 | - | - |
1495 | S | - | 7.26 | - | - |
1496 | Q | - | 1.39 | - | - |
1497 | N | - | 7.01 | - | - |
1498 | P | - | 61.86 | - | - |
1499 | L | - | 4.59 | - | - |
1500 | A | - | -1.9 | - | - |
1501 | E | - | 0.14 | - | - |
1502 | L | L | 1.93 | 22.68 | -20.75 |
1503 | K | - | 2.25 | - | - |
1504 | C | - | 17.84 | - | - |
1505 | S | - | 2.92 | - | - |
1506 | V | - | 13.69 | - | - |
1507 | K | - | 9.12 | - | - |
1508 | S | - | 5.28 | - | - |
1509 | F | - | 12.54 | - | - |
1510 | E | - | 4.55 | - | - |
1511 | I | - | 6.54 | - | - |
1512 | D | - | 3.17 | - | - |
1513 | K | - | 12.76 | - | - |
1514 | G | - | 6.13 | - | - |
1515 | I | - | 27.31 | - | - |
1516 | Y | - | 4.05 | - | - |
1517 | Q | - | 2.55 | - | - |
1518 | T | - | 1.54 | - | - |
1519 | S | - | 3.7 | - | - |
1520 | N | - | 75.4 | - | - |
1521 | F | - | 0.44 | - | - |
1522 | R | - | 4.53 | - | - |
1523 | V | - | 2.91 | - | - |
1524 | V | - | 4.64 | - | - |
1525 | P | - | 3.75 | - | - |
1526 | S | - | 3.29 | - | - |
1527 | G | G | 2.07 | 6.66 | -4.58 |
1528 | D | D | 4.17 | 4.9 | -0.73 |
1529 | V | - | 1.81 | - | - |
1530 | V | - | 5.4 | - | - |
1531 | R | - | 11.39 | - | - |
1532 | F | - | 16.07 | - | - |
1533 | P | - | 12.1 | - | - |
1534 | N | - | 3.26 | - | - |
1535 | I | - | 6.59 | - | - |
1536 | T | - | 1.82 | - | - |
1537 | N | - | 4.1 | - | - |
1538 | L | - | 6.26 | - | - |
1539 | C | - | 8.38 | - | - |
1540 | P | - | 3.82 | - | - |
1541 | F | - | 0.85 | - | - |
1542 | G | - | 1.85 | - | - |
1543 | E | - | 1.65 | - | - |
1544 | V | - | -1.11 | - | - |
1545 | F | - | -0.62 | - | - |
1546 | N | - | -0.26 | - | - |
1547 | A | - | 2.28 | - | - |
1548 | T | - | 4.27 | - | - |
1549 | K | - | 2.24 | - | - |
1550 | F | - | 4.28 | - | - |
1551 | P | - | -1.06 | - | - |
1552 | S | - | 1.81 | - | - |
1553 | V | - | 1.24 | - | - |
1554 | Y | - | 2.53 | - | - |
1555 | A | - | 0.91 | - | - |
1556 | W | - | 3.07 | - | - |
1557 | E | - | 1.51 | - | - |
1558 | R | - | 1.24 | - | - |
1559 | K | - | -0.32 | - | - |
1560 | K | - | -0.06 | - | - |
1561 | I | I | -1.54 | 5.49 | -7.03 |
1562 | S | - | 0.51 | - | - |
1563 | N | - | 0.23 | - | - |
1564 | C | - | 8.32 | - | - |
1565 | V | - | 0.87 | - | - |
1566 | A | - | -0.34 | - | - |
1567 | D | - | 1.17 | - | - |
1568 | Y | - | 2.93 | - | - |
1569 | S | - | 2.58 | - | - |
1570 | V | - | 2.2 | - | - |
1571 | L | - | 1.49 | - | - |
1572 | Y | - | 2.29 | - | - |
1573 | N | - | 1.19 | - | - |
1574 | S | - | 3.86 | - | - |
1575 | T | - | 1.5 | - | - |
1576 | F | - | 1.29 | - | - |
1577 | F | - | -1.41 | - | - |
1578 | S | - | 3.42 | - | - |
1579 | T | - | 1.19 | - | - |
1580 | F | - | -0.01 | - | - |
1581 | K | - | 0.6 | - | - |
1582 | C | - | 2.75 | - | - |
1583 | Y | - | 2.44 | - | - |
1584 | G | - | 1.09 | - | - |
1585 | V | - | 9.34 | - | - |
1586 | S | - | 6.49 | - | - |
1587 | A | - | 1.59 | - | - |
1588 | T | - | 6.43 | - | - |
1589 | K | - | 12.61 | - | - |
1590 | L | - | 6.42 | - | - |
1591 | N | - | 4.99 | - | - |
1592 | D | - | 7.4 | - | - |
1593 | L | - | 0.97 | - | - |
1594 | C | - | 2.27 | - | - |
1595 | F | - | 2.39 | - | - |
1596 | S | - | 3.4 | - | - |
1597 | N | - | 3.9 | - | - |
1598 | V | - | 0.59 | - | - |
1599 | Y | - | 0.76 | - | - |
1600 | A | - | 0.14 | - | - |
1601 | D | - | 2.12 | - | - |
1602 | S | S | -0.2 | 0.57 | -0.77 |
1603 | F | - | -5.12 | - | - |
1604 | V | - | -0.51 | - | - |
1605 | V | - | -0.89 | - | - |
1606 | K | - | 5.69 | - | - |
1607 | G | - | 3.26 | - | - |
1608 | D | - | 5.3 | - | - |
1609 | D | - | -2.5 | - | - |
1610 | V | - | 0.81 | - | - |
1611 | R | - | 4.32 | - | - |
1612 | Q | - | -1.23 | - | - |
1613 | I | - | -0.8 | - | - |
1614 | A | - | 13.1 | - | - |
1615 | P | - | 12.8 | - | - |
1616 | G | - | 1.93 | - | - |
1617 | Q | - | 2.02 | - | - |
1618 | T | - | -0.33 | - | - |
1619 | G | G | -0.98 | 1.93 | -2.91 |
1620 | V | - | 2.6 | - | - |
1621 | I | I | 4.2 | 3.6 | 0.6 |
1622 | A | - | -0.47 | - | - |
1623 | D | - | -0.93 | - | - |
1624 | Y | - | 1.92 | - | - |
1625 | N | - | 4.17 | - | - |
1626 | Y | - | -0.32 | - | - |
1627 | K | - | 0.58 | - | - |
1628 | L | - | 13.61 | - | - |
1629 | P | - | 12.03 | - | - |
1630 | D | - | 1.74 | - | - |
1631 | D | - | 1.72 | - | - |
1632 | F | - | 0.81 | - | - |
1633 | M | - | 3.57 | - | - |
1634 | G | - | -0.33 | - | - |
1635 | C | - | 1.98 | - | - |
1636 | V | - | -0.53 | - | - |
1637 | L | - | -1.4 | - | - |
1638 | A | - | -1.96 | - | - |
1639 | W | - | -0.61 | - | - |
1640 | N | - | 3.28 | - | - |
1641 | T | - | 5.55 | - | - |
1642 | R | - | 8.32 | - | - |
1643 | N | N | 1.47 | 1.74 | -0.27 |
1644 | I | - | 2.54 | - | - |
1645 | D | - | -2.88 | - | - |
1646 | A | A | -0.62 | -0.33 | -0.28 |
1647 | T | - | 1.26 | - | - |
1648 | S | - | 0.55 | - | - |
1649 | T | - | 1.95 | - | - |
1650 | G | - | -0.78 | - | - |
1651 | N | - | 4.16 | - | - |
1652 | Y | - | 7.29 | - | - |
1653 | N | - | 2.8 | - | - |
1654 | Y | - | 2.93 | - | - |
1655 | K | - | 1.92 | - | - |
1656 | Y | - | 1.87 | - | - |
1657 | R | - | -1.22 | - | - |
1658 | Y | - | -0.96 | - | - |
1659 | L | - | 0.69 | - | - |
1660 | R | - | 0.96 | - | - |
1661 | H | - | 3.37 | - | - |
1662 | G | - | -0.3 | - | - |
1663 | K | - | 2.45 | - | - |
1664 | L | - | -0.15 | - | - |
1665 | R | - | 9.67 | - | - |
1666 | P | - | 2.73 | - | - |
1667 | F | - | 3.91 | - | - |
1668 | E | - | -0.61 | - | - |
1669 | R | - | 0.77 | - | - |
1670 | D | - | 1.18 | - | - |
1671 | I | - | 2.5 | - | - |
1672 | S | - | 0.12 | - | - |
1673 | N | - | 0.72 | - | - |
1674 | V | - | 5.74 | - | - |
1675 | P | - | 5.76 | - | - |
1676 | F | - | -0.51 | - | - |
1677 | S | S | 3.2 | 0.05 | 3.15 |
1678 | P | - | 0.21 | - | - |
1679 | D | - | 0.7 | - | - |
1680 | G | - | -2.43 | - | - |
1681 | K | - | 8.73 | - | - |
1682 | P | - | 4.1 | - | - |
1683 | C | - | 2.33 | - | - |
1684 | T | - | 4.08 | - | - |
1685 | P | - | 0.09 | - | - |
1686 | P | - | 2.3 | - | - |
1687 | A | - | 3.43 | - | - |
1688 | L | - | 1.21 | - | - |
1689 | N | - | -2.44 | - | - |
1690 | C | - | 2.57 | - | - |
1691 | Y | - | 1.27 | - | - |
1692 | W | - | 3.9 | - | - |
1693 | P | - | 3.63 | - | - |
1694 | L | - | 4.1 | - | - |
1695 | N | - | 1.83 | - | - |
1696 | D | - | 1.57 | - | - |
1697 | Y | - | 7.07 | - | - |
1698 | G | - | 5.48 | - | - |
1699 | F | - | 6.71 | - | - |
1700 | Y | - | 3.05 | - | - |
1701 | T | - | 2.05 | - | - |
1702 | T | - | 1.9 | - | - |
1703 | T | - | 1.86 | - | - |
1704 | G | - | 0.84 | - | - |
1705 | I | - | 3.34 | - | - |
1706 | G | - | 2.09 | - | - |
1707 | Y | - | 0.56 | - | - |
1708 | Q | - | -0.43 | - | - |
1709 | P | - | -5.25 | - | - |
1710 | Y | - | 1.3 | - | - |
1711 | R | - | -1.49 | - | - |
1712 | V | - | -4.76 | - | - |
1713 | V | V | -4.0 | 1.23 | -5.23 |
1714 | V | V | 0.49 | 0.82 | -0.33 |
1715 | L | - | -2.86 | - | - |
1716 | S | - | 1.4 | - | - |
1717 | F | - | 3.87 | - | - |
1718 | E | - | 1.59 | - | - |
1719 | L | - | 4.99 | - | - |
1720 | L | - | 1.75 | - | - |
1721 | N | N | 13.28 | 0.57 | 12.71 |
1722 | P | - | 11.0 | - | - |
1723 | K | - | 12.59 | - | - |
1724 | L | - | 4.03 | - | - |
1725 | S | - | 2.78 | - | - |
1726 | T | - | 4.54 | - | - |
1727 | D | - | 2.72 | - | - |
1728 | L | - | 4.59 | - | - |
1729 | I | I | 5.35 | -1.64 | 6.99 |
1730 | K | - | 39.11 | - | - |
1731 | N | - | 30.66 | - | - |
1732 | Q | - | 13.59 | - | - |
1733 | C | - | 40.66 | - | - |
1734 | V | - | 55.18 | - | - |
1735 | N | - | 1.25 | - | - |
1736 | F | - | 9.14 | - | - |
1737 | N | - | 4.05 | - | - |
1738 | F | - | 6.4 | - | - |
1739 | N | - | 5.07 | - | - |
1740 | G | - | -1.15 | - | - |
1741 | L | - | 3.53 | - | - |
1742 | T | - | 4.49 | - | - |
1743 | G | - | 9.7 | - | - |
1744 | T | - | 4.24 | - | - |
1745 | G | - | 1.96 | - | - |
1746 | V | - | 4.52 | - | - |
1747 | L | - | -0.11 | - | - |
1748 | T | - | 25.29 | - | - |
1749 | P | - | 17.87 | - | - |
1750 | S | - | 2.66 | - | - |
1751 | S | - | 4.45 | - | - |
1752 | K | - | 12.94 | - | - |
1753 | R | - | 10.45 | - | - |
1754 | F | - | 12.04 | - | - |
1755 | Q | - | 62.83 | - | - |
1756 | P | - | 52.06 | - | - |
1757 | F | - | 3.01 | - | - |
1758 | Q | - | 8.3 | - | - |
1759 | Q | Q | 15.6 | 1.97 | 13.64 |
1760 | F | - | 15.49 | - | - |
1761 | G | - | 3.08 | - | - |
1762 | R | - | 8.93 | - | - |
1763 | D | - | 7.82 | - | - |
1764 | V | - | 7.34 | - | - |
1765 | S | - | 8.6 | - | - |
1766 | D | - | -0.39 | - | - |
1767 | F | - | 7.49 | - | - |
1768 | T | - | 2.03 | - | - |
1769 | D | - | 8.07 | - | - |
1770 | S | - | 2.75 | - | - |
1771 | V | - | 2.41 | - | - |
1772 | R | - | 12.61 | - | - |
1773 | D | - | 5.08 | - | - |
1774 | P | - | 6.95 | - | - |
1775 | K | K | 0.6 | 7.53 | -6.93 |
1776 | T | - | -0.21 | - | - |
1777 | S | - | 5.07 | - | - |
1778 | E | - | 7.0 | - | - |
1779 | I | - | 0.72 | - | - |
1780 | L | - | 2.53 | - | - |
1781 | D | - | 8.64 | - | - |
1782 | I | - | -0.8 | - | - |
1783 | S | - | 4.52 | - | - |
1784 | P | - | 2.09 | - | - |
1785 | C | - | 5.7 | - | - |
1786 | S | - | 7.66 | - | - |
1787 | F | - | 27.24 | - | - |
1788 | G | - | -1.72 | - | - |
1789 | G | - | 0.81 | - | - |
1790 | V | - | 1.87 | - | - |
1791 | S | - | 0.13 | - | - |
1792 | V | - | 3.23 | - | - |
1793 | I | - | 7.98 | - | - |
1794 | T | - | 13.29 | - | - |
1795 | P | - | 17.6 | - | - |
1796 | G | - | 3.66 | - | - |
1797 | T | - | 2.72 | - | - |
1798 | N | - | 2.13 | - | - |
1799 | A | - | 2.65 | - | - |
1800 | S | - | 2.77 | - | - |
1801 | S | - | 3.9 | - | - |
1802 | E | - | 2.8 | - | - |
1803 | V | - | 5.35 | - | - |
1804 | A | - | -1.28 | - | - |
1805 | V | - | -1.3 | - | - |
1806 | L | - | 1.65 | - | - |
1807 | Y | - | 5.97 | - | - |
1808 | Q | - | 5.15 | - | - |
1809 | D | - | 3.6 | - | - |
1810 | V | - | 26.84 | - | - |
1811 | N | - | 1.68 | - | - |
1812 | C | - | 4.02 | - | - |
1813 | T | - | 23.35 | - | - |
1814 | D | - | -0.72 | - | - |
1815 | V | - | 2.53 | - | - |
1816 | S | - | -0.52 | - | - |
1817 | T | - | 1.96 | - | - |
1818 | A | - | 2.95 | - | - |
1819 | I | - | 101.28 | - | - |
1820 | H | - | 2.59 | - | - |
1821 | A | - | 6.23 | - | - |
1822 | D | - | 7.03 | - | - |
1823 | Q | - | 8.28 | - | - |
1824 | L | - | 1.39 | - | - |
1825 | T | - | 48.72 | - | - |
1826 | P | - | 150.49 | - | - |
1827 | A | - | 4.75 | - | - |
1828 | W | - | 77.45 | - | - |
1829 | R | - | 6.34 | - | - |
1830 | I | - | 81.59 | - | - |
1831 | Y | - | 2.38 | - | - |
1832 | S | - | 21.43 | - | - |
1833 | T | - | 0.34 | - | - |
1834 | G | - | 1.66 | - | - |
1835 | N | - | 0.83 | - | - |
1836 | N | - | 1.79 | - | - |
1837 | V | - | 19.21 | - | - |
1838 | F | - | 4.55 | - | - |
1839 | Q | - | 0.4 | - | - |
1840 | T | - | 1.73 | - | - |
1841 | Q | - | 1.76 | - | - |
1842 | A | - | -0.1 | - | - |
1843 | G | - | -3.11 | - | - |
1844 | C | - | 3.69 | - | - |
1845 | L | - | -1.96 | - | - |
1846 | I | - | -2.99 | - | - |
1847 | G | - | -0.61 | - | - |
1848 | A | - | 1.08 | - | - |
1849 | E | - | 10.03 | - | - |
1850 | H | - | 7.91 | - | - |
1851 | V | - | 4.26 | - | - |
1852 | D | - | -1.29 | - | - |
1853 | T | - | 0.87 | - | - |
1854 | S | - | 7.55 | - | - |
1855 | Y | - | 12.73 | - | - |
1856 | E | - | 5.79 | - | - |
1857 | C | - | 2.59 | - | - |
1858 | D | - | 3.22 | - | - |
1859 | I | - | 3.42 | - | - |
1860 | P | - | -2.89 | - | - |
1861 | I | - | 3.09 | - | - |
1862 | G | - | -1.1 | - | - |
1863 | A | - | -0.11 | - | - |
1864 | G | - | -0.24 | - | - |
1865 | I | - | 1.21 | - | - |
1866 | C | - | 0.75 | - | - |
1867 | A | - | 1.61 | - | - |
1868 | S | - | 4.64 | - | - |
1869 | Y | - | 59.01 | - | - |
1870 | V | - | 5.0 | - | - |
1871 | A | - | 6.29 | - | - |
1872 | Y | - | 6.8 | - | - |
1873 | T | - | 1.65 | - | - |
1874 | M | - | 8.22 | - | - |
1875 | S | - | 1.76 | - | - |
1876 | L | - | 3.49 | - | - |
1877 | G | - | 3.16 | - | - |
1878 | A | - | 8.26 | - | - |
1879 | D | - | -0.19 | - | - |
1880 | S | - | 115.18 | - | - |
1881 | S | - | 3.25 | - | - |
1882 | I | - | 4.08 | - | - |
1883 | A | - | 1.48 | - | - |
1884 | Y | - | 3.37 | - | - |
1885 | S | - | 4.71 | - | - |
1886 | N | - | 1.21 | - | - |
1887 | N | - | 0.43 | - | - |
1888 | T | - | -1.25 | - | - |
1889 | I | - | 757.06 | - | - |
1890 | A | - | 42.91 | - | - |
1891 | I | - | 476.25 | - | - |
1892 | P | - | 113.91 | - | - |
1893 | T | - | 2.87 | - | - |
1894 | N | - | 5.03 | - | - |
1895 | F | - | 0.82 | - | - |
1896 | S | - | 0.76 | - | - |
1897 | I | - | 1.86 | - | - |
1898 | S | - | 1.96 | - | - |
1899 | I | - | 3.36 | - | - |
1900 | T | - | -0.42 | - | - |
1901 | T | - | -0.86 | - | - |
1902 | E | E | -2.47 | 1.74 | -4.22 |
1903 | V | - | 4.98 | - | - |
1904 | M | - | 5.6 | - | - |
1905 | P | - | -3.8 | - | - |
1906 | V | - | -0.76 | - | - |
1907 | S | - | -0.07 | - | - |
1908 | M | - | 5.75 | - | - |
1909 | A | - | 1.83 | - | - |
1910 | K | - | -0.72 | - | - |
1911 | T | - | 2.24 | - | - |
1912 | S | - | -1.59 | - | - |
1913 | V | - | 0.43 | - | - |
1914 | D | - | 0.65 | - | - |
1915 | C | - | 2.89 | - | - |
1916 | N | - | 0.47 | - | - |
1917 | M | - | 7.18 | - | - |
1918 | Y | - | -1.84 | - | - |
1919 | I | I | -0.24 | -2.37 | 2.12 |
1920 | C | - | 2.17 | - | - |
1921 | G | - | 5.61 | - | - |
1922 | D | D | 5.62 | -1.51 | 7.13 |
1923 | S | - | -0.63 | - | - |
1924 | T | - | 2.78 | - | - |
1925 | E | - | 1.55 | - | - |
1926 | C | - | 2.02 | - | - |
1927 | A | - | 0.25 | - | - |
1928 | N | - | 3.39 | - | - |
1929 | L | - | -2.21 | - | - |
1930 | L | - | 6.52 | - | - |
1931 | L | - | 2.5 | - | - |
1932 | Q | - | 6.6 | - | - |
1933 | Y | - | 7.82 | - | - |
1934 | G | - | 0.3 | - | - |
1935 | S | - | 6.47 | - | - |
1936 | F | - | 9.23 | - | - |
1937 | C | - | 7.67 | - | - |
1938 | T | - | 3.21 | - | - |
1939 | Q | - | 2.72 | - | - |
1940 | L | - | 1.32 | - | - |
1941 | N | - | 5.98 | - | - |
1942 | R | R | 2.31 | 8.21 | -5.91 |
1943 | A | - | 0.49 | - | - |
1944 | L | L | 0.18 | -1.58 | 1.76 |
1945 | S | - | -0.2 | - | - |
1946 | G | - | 1.84 | - | - |
1947 | I | - | -0.12 | - | - |
1948 | A | - | 0.56 | - | - |
1949 | A | - | -0.0 | - | - |
1950 | E | - | 1.06 | - | - |
1951 | Q | - | 4.01 | - | - |
1952 | D | - | -2.92 | - | - |
1953 | R | - | 3.3 | - | - |
1954 | N | N | -0.76 | 1.17 | -1.93 |
1955 | T | - | 1.62 | - | - |
1956 | R | - | 2.1 | - | - |
1957 | E | E | 0.97 | 1.43 | -0.46 |
1958 | V | V | -0.42 | -1.08 | 0.66 |
1959 | F | - | 1.58 | - | - |
1960 | A | A | 1.1 | -3.21 | 4.32 |
1961 | Q | - | 2.91 | - | - |
1962 | V | - | 2.85 | - | - |
1963 | K | - | 1.79 | - | - |
1964 | Q | - | 129.67 | - | - |
1965 | M | - | 1.16 | - | - |
1966 | Y | - | 5.91 | - | - |
1967 | K | - | -0.99 | - | - |
1968 | T | - | 8.18 | - | - |
1969 | P | - | 1.39 | - | - |
1970 | T | - | 0.51 | - | - |
1971 | L | - | 1.12 | - | - |
1972 | K | - | 12.03 | - | - |
1973 | Y | - | 12.28 | - | - |
1974 | F | - | 4.96 | - | - |
1975 | G | - | 1.72 | - | - |
1976 | G | - | 3.04 | - | - |
1977 | F | - | 653.75 | - | - |
1978 | N | - | 6.79 | - | - |
1979 | F | - | 21.3 | - | - |
1980 | S | - | 3.16 | - | - |
1981 | Q | - | 8.05 | - | - |
1982 | I | - | 53.97 | - | - |
1983 | L | - | 33.24 | - | - |
1984 | P | - | 12.23 | - | - |
1985 | D | - | 62.6 | - | - |
1986 | P | - | 5.99 | - | - |
1987 | L | - | 4.0 | - | - |
1988 | K | - | 55.83 | - | - |
1989 | P | - | 3.82 | - | - |
1990 | T | - | 0.83 | - | - |
1991 | K | - | 27.03 | - | - |
1992 | R | - | 30.51 | - | - |
1993 | S | - | 5.96 | - | - |
1994 | F | - | 5.7 | - | - |
1995 | I | - | 51.07 | - | - |
1996 | E | - | 1.42 | - | - |
1997 | D | - | 2.58 | - | - |
1998 | L | - | -1.26 | - | - |
1999 | L | - | -1.74 | - | - |
2000 | F | - | 3.39 | - | - |
2001 | N | - | 2.91 | - | - |
2002 | K | - | 3.28 | - | - |
2003 | V | - | 1.66 | - | - |
2004 | T | - | 2.39 | - | - |
2005 | L | - | 16.1 | - | - |
2006 | K | K | 7.53 | 2.55 | 4.99 |
2007 | F | - | 5.7 | - | - |
2008 | N | - | 2.27 | - | - |
2009 | G | - | 2.15 | - | - |
2010 | L | - | -0.64 | - | - |
2011 | T | - | 2.5 | - | - |
2012 | V | - | 0.12 | - | - |
2013 | L | - | -1.52 | - | - |
2014 | P | - | -3.93 | - | - |
2015 | P | - | -4.51 | - | - |
2016 | L | - | -1.77 | - | - |
2017 | L | - | -1.79 | - | - |
2018 | T | - | 0.66 | - | - |
2019 | D | - | -0.54 | - | - |
2020 | D | - | -0.92 | - | - |
2021 | M | - | 3.81 | - | - |
2022 | I | - | -2.06 | - | - |
2023 | A | - | -0.23 | - | - |
2024 | A | - | -1.79 | - | - |
2025 | Y | - | 0.06 | - | - |
2026 | T | - | 0.06 | - | - |
2027 | A | - | -0.67 | - | - |
2028 | A | - | -1.28 | - | - |
2029 | L | - | -1.04 | - | - |
2030 | V | - | 4.54 | - | - |
2031 | S | - | 1.56 | - | - |
2032 | G | - | 94.1 | - | - |
2033 | P | - | 68.91 | - | - |
2034 | F | - | 7.06 | - | - |
2035 | A | - | 0.95 | - | - |
2036 | M | - | -0.65 | - | - |
2037 | Q | - | -0.31 | - | - |
2038 | M | - | 52.05 | - | - |
2039 | A | - | -2.31 | - | - |
2040 | Y | - | 2.53 | - | - |
2041 | R | - | 263.37 | - | - |
2042 | F | - | 223.06 | - | - |
2043 | N | - | 0.78 | - | - |
2044 | G | - | 1.26 | - | - |
2045 | I | - | 50.54 | - | - |
2046 | G | - | 0.12 | - | - |
2047 | V | - | 2.85 | - | - |
2048 | T | - | 14.33 | - | - |
2049 | Q | - | 1.75 | - | - |
2050 | N | N | 4.61 | 2.19 | 2.42 |
2051 | V | - | 12.81 | - | - |
2052 | L | L | 2.4 | -1.76 | 4.17 |
2053 | Y | - | 5.23 | - | - |
2054 | E | - | 6.67 | - | - |
2055 | N | - | 6.0 | - | - |
2056 | Q | - | 4.86 | - | - |
2057 | K | - | 0.7 | - | - |
2058 | Q | - | 2.48 | - | - |
2059 | I | - | 185.49 | - | - |
2060 | A | - | 438.38 | - | - |
2061 | N | - | 1.91 | - | - |
2062 | Q | - | 3.72 | - | - |
2063 | F | - | 17.96 | - | - |
2064 | N | N | 4.72 | -0.32 | 5.03 |
2065 | K | - | 0.74 | - | - |
2066 | A | - | -0.21 | - | - |
2067 | I | - | 2.7 | - | - |
2068 | S | - | 1.41 | - | - |
2069 | Q | - | 1.8 | - | - |
2070 | I | - | 0.72 | - | - |
2071 | Q | - | 5.62 | - | - |
2072 | E | E | 2.61 | 2.4 | 0.2 |
2073 | S | - | 7.67 | - | - |
2074 | L | - | 14.62 | - | - |
2075 | T | - | 7.94 | - | - |
2076 | T | - | 6.05 | - | - |
2077 | T | - | 7.2 | - | - |
2078 | S | - | 5.93 | - | - |
2079 | T | - | 4.2 | - | - |
2080 | A | - | 4.71 | - | - |
2081 | L | - | -0.82 | - | - |
2082 | G | - | 4.0 | - | - |
2083 | K | - | 4.43 | - | - |
2084 | L | - | -3.59 | - | - |
2085 | Q | - | 2.37 | - | - |
2086 | D | - | 0.63 | - | - |
2087 | V | - | -0.93 | - | - |
2088 | V | - | 0.61 | - | - |
2089 | N | - | -0.3 | - | - |
2090 | Q | - | 0.09 | - | - |
2091 | N | - | -1.55 | - | - |
2092 | A | - | 0.61 | - | - |
2093 | Q | - | -0.2 | - | - |
2094 | A | - | -0.08 | - | - |
2095 | L | - | -2.4 | - | - |
2096 | N | - | 1.27 | - | - |
2097 | T | - | 0.57 | - | - |
2098 | L | - | 0.84 | - | - |
2099 | V | - | 0.19 | - | - |
2100 | K | - | 1.78 | - | - |
2101 | Q | - | 2.46 | - | - |
2102 | L | - | 5.68 | - | - |
2103 | S | - | 3.0 | - | - |
2104 | S | - | 1.23 | - | - |
2105 | N | - | 2.58 | - | - |
2106 | F | - | 16.27 | - | - |
2107 | G | - | 5.51 | - | - |
2108 | A | - | 1.99 | - | - |
2109 | I | - | 11.38 | - | - |
2110 | S | - | 6.67 | - | - |
2111 | S | - | 1.1 | - | - |
2112 | V | - | 1.28 | - | - |
2113 | L | - | 2.33 | - | - |
2114 | N | - | 7.48 | - | - |
2115 | D | - | 3.07 | - | - |
2116 | I | - | 6.51 | - | - |
2117 | L | - | 1.58 | - | - |
2118 | S | S | 3.96 | 0.11 | 3.84 |
2119 | R | - | 10.46 | - | - |
2120 | L | L | 8.02 | -1.71 | 9.73 |
2121 | D | - | 1.28 | - | - |
2122 | K | - | 1.79 | - | - |
2123 | V | - | 3.52 | - | - |
2124 | E | - | 3.47 | - | - |
2125 | A | - | -1.17 | - | - |
2126 | E | - | 3.46 | - | - |
2127 | V | - | 0.64 | - | - |
2128 | Q | - | 0.92 | - | - |
2129 | I | I | -2.35 | -3.17 | 0.83 |
2130 | D | D | 3.24 | 0.81 | 2.43 |
2131 | R | - | 1.02 | - | - |
2132 | L | - | -1.2 | - | - |
2133 | I | - | -1.5 | - | - |
2134 | T | - | 1.24 | - | - |
2135 | G | - | 0.71 | - | - |
2136 | R | - | 0.23 | - | - |
2137 | L | - | 1.67 | - | - |
2138 | Q | - | 2.53 | - | - |
2139 | S | - | 0.84 | - | - |
2140 | L | L | -2.75 | 1.99 | -4.74 |
2141 | Q | - | -0.74 | - | - |
2142 | T | - | 0.65 | - | - |
2143 | Y | - | -1.63 | - | - |
2144 | V | - | -2.37 | - | - |
2145 | T | - | 1.29 | - | - |
2146 | Q | - | 2.54 | - | - |
2147 | Q | Q | -1.1 | 4.44 | -5.54 |
2148 | L | - | -1.64 | - | - |
2149 | I | - | -0.09 | - | - |
2150 | R | - | 0.11 | - | - |
2151 | A | - | -1.51 | - | - |
2152 | A | - | -1.33 | - | - |
2153 | E | - | 0.02 | - | - |
2154 | I | - | -0.11 | - | - |
2155 | R | - | 5.69 | - | - |
2156 | A | - | -0.36 | - | - |
2157 | S | - | -0.61 | - | - |
2158 | A | - | -1.47 | - | - |
2159 | N | - | 2.12 | - | - |
2160 | L | - | -0.3 | - | - |
2161 | A | - | -1.68 | - | - |
2162 | A | - | 1.3 | - | - |
2163 | T | - | 4.93 | - | - |
2164 | K | - | 5.47 | - | - |
2165 | M | - | 4.09 | - | - |
2166 | S | - | -0.26 | - | - |
2167 | E | E | 14.2 | 0.71 | 13.5 |
2168 | C | - | 16.71 | - | - |
2169 | V | - | 4.89 | - | - |
2170 | L | L | 9.15 | -0.48 | 9.62 |
2171 | G | - | 1.98 | - | - |
2172 | Q | - | 10.35 | - | - |
2173 | S | - | 5.35 | - | - |
2174 | K | - | 12.53 | - | - |
2175 | R | - | 10.73 | - | - |
2176 | V | - | 6.19 | - | - |
2177 | D | - | 2.09 | - | - |
2178 | F | - | 12.95 | - | - |
2179 | C | - | 6.0 | - | - |
2180 | G | G | -1.1 | 2.87 | -3.98 |
2181 | K | K | 3.75 | 7.35 | -3.6 |
2182 | G | - | 1.58 | - | - |
2183 | Y | - | 11.6 | - | - |
2184 | H | - | 7.17 | - | - |
2185 | L | - | 35.2 | - | - |
2186 | M | - | 154.36 | - | - |
2187 | S | - | 1.18 | - | - |
2188 | F | - | 10.71 | - | - |
2189 | P | - | 3.57 | - | - |
2190 | Q | - | 1.8 | - | - |
2191 | A | - | 1.03 | - | - |
2192 | A | - | 0.92 | - | - |
2193 | P | - | -1.23 | - | - |
2194 | H | - | -0.22 | - | - |
2195 | G | - | -1.28 | - | - |
2196 | V | - | -2.94 | - | - |
2197 | V | - | 2.05 | - | - |
2198 | F | - | 1.34 | - | - |
2199 | L | - | 3.11 | - | - |
2200 | H | - | -0.98 | - | - |
2201 | V | - | -1.07 | - | - |
2202 | T | - | 7.85 | - | - |
2203 | Y | Y | 183.97 | -1.06 | 185.03 |
2204 | V | - | 5.5 | - | - |
2205 | P | - | -0.34 | - | - |
2206 | S | - | 1.26 | - | - |
2207 | Q | - | 4.81 | - | - |
2208 | E | E | 4.29 | 2.91 | 1.38 |
2209 | R | - | 24.64 | - | - |
2210 | N | - | 3.43 | - | - |
2211 | F | - | 992.64 | - | - |
2212 | T | - | 4.48 | - | - |
2213 | - | X | - | -0.57 | - |
2214 | - | X | - | 2.57 | - |