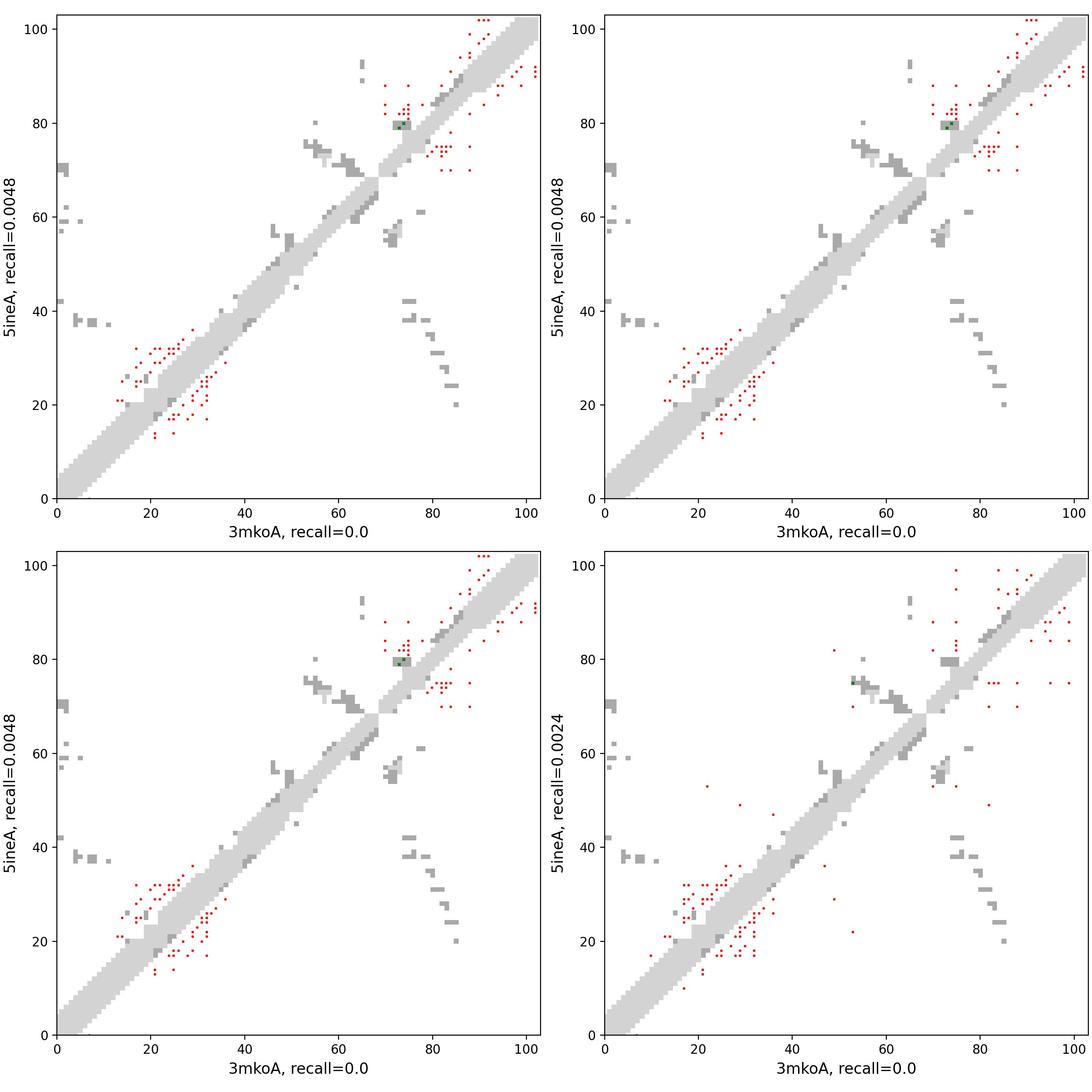
Analysis of pair 3mkoA_5ineA
3mkoA vs 5ineA
Missing: Fold1 vs best AF2
Missing: Fold2 vs best AF2
Missing: Fold1 vs best AF3
Missing: Fold2 vs best AF3
Missing: Fold1 vs best ESM2
Missing: Fold2 vs best ESM2
Missing: Fold1 vs best ESM3
Missing: Fold2 vs best ESM3
[missing] 3mkoA vs. 5ineA (unaligned) — interactive
[missing] 3mkoA vs. 5ineA (aligned) — interactive
Per-cluster contact maps
Cluster metrics table
cluster | n | neff | AF2_TM1 | AF2_TM2 | AF3_TM1 | AF3_TM2 | RE-MSAT-COM | RE-MSAT1 | RE-MSAT2 | ESM_SEQIDS | ESM_TM1_LIST | ESM_TM2_LIST |
---|
Deep | - | - | 0.5 | 0.51 | 0.49 | 0.45 | 0.0 | 0.0 | 0.05 | - | - | - |
000 | - | - | 0.48 | 0.61 | 0.5 | 0.45 | 0.0 | 0.0 | 0.04 | 005; 005; 007; 001; 001; 007; 004; 004; 002; 002 | 0.54; 0.54; 0.52; 0.49; 0.49; 0.49; 0.46; 0.46; 0.42; 0.41 | 0.16; 0.16; 0.17; 0.24; 0.24; 0.17; 0.30; 0.31; 0.20; 0.21 |
Aligned per-residue ΔΔG
aln_pos | aa1 | aa2 | E1 | E2 | dEdiff |
---|
1 | - | N | - | 1.35 | - |
2 | - | G | - | 1.81 | - |
3 | - | P | - | 5.89 | - |
4 | - | D | - | 2.19 | - |
5 | - | I | - | 0.71 | - |
6 | - | Y | - | -3.24 | - |
7 | - | K | - | 0.26 | - |
8 | - | G | - | -0.18 | - |
9 | - | V | - | 8.36 | - |
10 | - | Y | - | -0.26 | - |
11 | - | Q | - | 3.54 | - |
12 | - | F | - | -2.42 | - |
13 | - | K | - | 0.91 | - |
14 | - | S | - | -0.36 | - |
15 | - | V | - | 7.87 | - |
16 | E | E | 9.69 | -0.21 | 9.91 |
17 | - | F | - | -6.08 | - |
18 | - | D | - | 0.14 | - |
19 | - | M | - | -1.12 | - |
20 | - | S | - | 1.85 | - |
21 | - | H | - | 0.66 | - |
22 | - | L | - | 14.98 | - |
23 | - | N | - | 467.52 | - |
24 | - | L | - | 9.75 | - |
25 | - | T | - | -2.49 | - |
26 | - | M | - | 8.43 | - |
27 | - | P | - | -3.24 | - |
28 | - | N | - | 4.04 | - |
29 | - | A | - | -0.79 | - |
30 | - | C | - | 2.34 | - |
31 | - | S | - | -0.06 | - |
32 | - | A | - | 2.15 | - |
33 | - | N | - | 448.03 | - |
34 | - | N | - | 3.17 | - |
35 | - | S | - | -0.29 | - |
36 | - | H | - | 0.1 | - |
37 | - | H | - | -2.07 | - |
38 | - | Y | - | -5.74 | - |
39 | - | I | - | -4.71 | - |
40 | - | S | - | -0.97 | - |
41 | - | M | - | -0.29 | - |
42 | - | G | - | -0.17 | - |
43 | - | S | - | 0.83 | - |
44 | - | S | - | 2.4 | - |
45 | - | G | - | -0.77 | - |
46 | - | L | - | 5.18 | - |
47 | E | E | -0.11 | -0.37 | 0.27 |
48 | - | L | - | 11.92 | - |
49 | - | T | - | -2.01 | - |
50 | F | F | 1.03 | -1.1 | 2.13 |
51 | - | T | - | 0.14 | - |
52 | - | N | - | 457.61 | - |
53 | - | D | - | 2.96 | - |
54 | S | S | 10.01 | 1.11 | 8.89 |
55 | - | I | - | 8.42 | - |
56 | - | L | - | 0.6 | - |
57 | - | N | - | 5.96 | - |
58 | - | H | - | 3.24 | - |
59 | - | N | - | 4.75 | - |
60 | - | F | - | 7.78 | - |
61 | - | C | - | 22.96 | - |
62 | - | N | - | 470.33 | - |
63 | - | L | - | 6.2 | - |
64 | - | T | - | 6.95 | - |
65 | - | S | - | 0.31 | - |
66 | - | A | - | 0.39 | - |
67 | - | F | - | -3.55 | - |
68 | - | N | - | 1.3 | - |
69 | - | K | - | 8.06 | - |
70 | - | K | - | 23.5 | - |
71 | - | T | - | 1.69 | - |
72 | - | F | - | 1.09 | - |
73 | D | D | -1.2 | 0.51 | -1.71 |
74 | - | H | - | 2.16 | - |
75 | - | T | - | 6.05 | - |
76 | - | L | - | -3.09 | - |
77 | M | M | 11.74 | 0.45 | 11.28 |
78 | - | S | - | -0.29 | - |
79 | - | I | - | -3.14 | - |
80 | - | V | - | -3.83 | - |
81 | - | S | - | 3.52 | - |
82 | - | S | - | -0.32 | - |
83 | L | L | -1.67 | -1.99 | 0.32 |
84 | - | H | - | 4.11 | - |
85 | - | L | - | -0.33 | - |
86 | - | S | - | -0.45 | - |
87 | - | I | - | 0.45 | - |
88 | R | R | -0.3 | 9.09 | -9.39 |
89 | - | G | - | 0.27 | - |
90 | - | N | - | 5.57 | - |
91 | - | S | - | 3.33 | - |
92 | - | N | - | 0.57 | - |
93 | - | H | - | 4.97 | - |
94 | - | K | - | 2.03 | - |
95 | - | A | - | -2.79 | - |
96 | - | V | - | 2.83 | - |
97 | - | S | - | -0.32 | - |
98 | - | C | - | 0.32 | - |
99 | - | D | - | 3.49 | - |
100 | - | F | - | 0.12 | - |
101 | - | N | - | 4.01 | - |
102 | - | N | - | 11.44 | - |
103 | - | G | - | -1.35 | - |
104 | - | I | - | 6.5 | - |
105 | - | T | - | 6.92 | - |
106 | - | I | - | 4.18 | - |
107 | - | Q | - | -3.21 | - |
108 | - | Y | - | 1.47 | - |
109 | - | N | - | 457.23 | - |
110 | L | L | -0.55 | 0.87 | -1.42 |
111 | - | S | - | 2.32 | - |
112 | - | F | - | 6.22 | - |
113 | - | S | - | 30.12 | - |
114 | - | Q | - | 9.38 | - |
115 | - | C | - | 22.8 | - |
116 | - | R | - | 5.87 | - |
117 | - | T | - | 2.29 | - |
118 | - | F | - | 2.79 | - |
119 | - | R | - | 3.73 | - |
120 | - | G | - | -0.13 | - |
121 | - | R | - | 1.19 | - |
122 | - | V | - | -3.21 | - |
123 | - | L | - | -1.88 | - |
124 | - | D | - | 2.18 | - |
125 | - | M | - | 1.64 | - |
126 | - | F | - | -3.23 | - |
127 | - | R | - | 6.79 | - |
128 | - | T | - | 0.48 | - |
129 | - | A | - | -1.79 | - |
130 | - | F | - | -3.09 | - |
131 | - | G | - | -2.02 | - |
132 | - | G | - | 1.5 | - |
133 | - | K | - | 14.6 | - |
134 | - | Y | - | -0.01 | - |
135 | - | M | - | 1.67 | - |
136 | - | R | - | 5.64 | - |
137 | - | S | - | 1.02 | - |
138 | - | G | - | -0.02 | - |
139 | - | W | - | 7.17 | - |
140 | - | G | - | 1.45 | - |
141 | - | W | - | 12.77 | - |
142 | - | A | - | 18.14 | - |
143 | - | T | - | 8.16 | - |
144 | - | T | - | 6.16 | - |
145 | - | W | - | 4.42 | - |
146 | - | C | - | 2.8 | - |
147 | - | S | - | 0.9 | - |
148 | - | Q | - | 6.01 | - |
149 | - | T | - | 3.96 | - |
150 | - | S | - | 0.88 | - |
151 | - | Y | - | 0.2 | - |
152 | - | Q | - | -2.66 | - |
153 | - | Y | - | -4.56 | - |
154 | - | L | - | -2.76 | - |
155 | I | I | -0.99 | 2.13 | -3.12 |
156 | - | I | - | 1.43 | - |
157 | - | Q | - | 4.61 | - |
158 | - | N | - | 464.45 | - |
159 | - | R | - | 1.03 | - |
160 | - | T | - | 6.36 | - |
161 | - | W | - | -0.74 | - |
162 | - | E | - | 3.43 | - |
163 | - | N | - | 3.06 | - |
164 | - | H | - | -1.07 | - |
165 | - | C | - | 5.65 | - |
166 | - | R | - | 5.39 | - |
167 | - | Y | - | 0.35 | - |
168 | - | A | - | -0.46 | - |
169 | - | G | - | -1.8 | - |
170 | - | P | - | -4.53 | - |
171 | - | F | - | -0.71 | - |
172 | - | G | - | 1.41 | - |
173 | - | M | - | -0.38 | - |
174 | - | S | - | -2.14 | - |
175 | - | R | - | -0.57 | - |
176 | - | I | - | -2.09 | - |
177 | - | L | - | 1.05 | - |
178 | - | F | - | -0.82 | - |
179 | - | A | - | 1.56 | - |
180 | - | Q | - | 2.53 | - |
181 | - | E | - | 5.53 | - |
182 | - | K | - | 8.75 | - |
183 | - | T | - | 5.64 | - |
184 | - | K | - | 2.47 | - |
185 | - | F | - | 12.13 | - |
186 | - | L | - | 7.3 | - |
187 | - | T | - | 24.47 | - |
188 | - | T | - | 12.97 | - |
189 | - | F | - | 0.24 | - |
190 | - | T | - | 2.35 | - |
191 | - | W | - | -1.63 | - |
192 | - | T | - | 4.6 | - |
193 | - | L | - | 1.32 | - |
194 | - | S | - | 5.4 | - |
195 | D | D | -0.33 | 5.88 | -6.21 |
196 | - | S | - | 3.77 | - |
197 | - | S | - | 3.35 | - |
198 | - | G | - | 0.25 | - |
199 | - | V | - | 12.41 | - |
200 | - | E | - | 11.05 | - |
201 | - | N | - | 8.23 | - |
202 | - | P | - | 6.37 | - |
203 | - | G | - | 2.55 | - |
204 | - | G | - | 3.08 | - |
205 | Y | Y | 0.77 | 1.93 | -1.16 |
206 | - | C | - | 1.78 | - |
207 | - | L | - | -3.97 | - |
208 | - | T | - | 0.6 | - |
209 | - | K | - | 1.83 | - |
210 | - | W | - | 7.02 | - |
211 | - | M | - | -1.52 | - |
212 | - | I | - | 10.41 | - |
213 | - | L | - | 2.35 | - |
214 | - | A | - | 2.25 | - |
215 | - | A | - | 0.37 | - |
216 | - | E | - | 2.66 | - |
217 | - | L | - | 9.69 | - |
218 | - | K | - | 4.45 | - |
219 | - | C | - | 1.47 | - |
220 | - | F | - | 6.77 | - |
221 | - | G | - | 2.0 | - |
222 | N | N | -1.35 | 5.48 | -6.83 |
223 | - | T | - | 5.33 | - |
224 | - | A | - | -1.21 | - |
225 | - | V | - | 12.41 | - |
226 | - | A | - | 0.66 | - |
227 | K | K | -0.96 | 4.08 | -5.04 |
228 | - | C | - | 2.06 | - |
229 | - | N | - | 1.74 | - |
230 | - | V | - | 7.76 | - |
231 | - | N | - | -0.09 | - |
232 | - | H | - | 2.52 | - |
233 | - | D | - | 4.28 | - |
234 | - | E | - | 2.1 | - |
235 | - | E | - | -1.48 | - |
236 | - | F | - | -4.33 | - |
237 | - | C | - | 2.95 | - |
238 | - | D | - | -3.32 | - |
239 | - | M | - | -1.08 | - |
240 | - | L | - | -4.1 | - |
241 | - | R | - | -4.99 | - |
242 | - | L | - | -5.47 | - |
243 | - | I | - | -1.39 | - |
244 | - | D | - | 3.74 | - |
245 | - | Y | - | -0.72 | - |
246 | - | N | - | -1.03 | - |
247 | - | K | - | 0.42 | - |
248 | A | A | -1.39 | -1.69 | 0.3 |
249 | A | A | -1.18 | -3.47 | 2.29 |
250 | L | L | -0.14 | 4.5 | -4.65 |
251 | S | S | -0.49 | -0.16 | -0.32 |
252 | K | K | 0.13 | 1.96 | -1.83 |
253 | F | F | 1.24 | 14.12 | -12.88 |
254 | K | K | -3.61 | 4.5 | -8.11 |
255 | Q | Q | 0.63 | 7.91 | -7.28 |
256 | D | D | -3.67 | 1.0 | -4.67 |
257 | V | V | -2.78 | 3.46 | -6.24 |
258 | E | E | 4.56 | 7.5 | -2.94 |
259 | S | S | -0.64 | -0.73 | 0.09 |
260 | A | A | -1.39 | -2.24 | 0.85 |
261 | L | L | -2.2 | -3.71 | 1.51 |
262 | H | H | 2.45 | 2.59 | -0.14 |
263 | V | V | 1.09 | 0.14 | 0.94 |
264 | F | F | 3.04 | -3.41 | 6.45 |
265 | K | K | 3.45 | 2.7 | 0.75 |
266 | T | T | 1.04 | 0.06 | 0.99 |
267 | T | T | 0.31 | -2.0 | 2.31 |
268 | V | V | -1.38 | 11.54 | -12.93 |
269 | N | N | -5.62 | 4.17 | -9.79 |
270 | S | S | 0.05 | 0.2 | -0.15 |
271 | L | L | 0.78 | -3.4 | 4.19 |
272 | I | I | -4.87 | -4.24 | -0.64 |
273 | S | S | -0.89 | 2.41 | -3.3 |
274 | D | D | 1.37 | 5.29 | -3.92 |
275 | Q | Q | 10.39 | 2.25 | 8.15 |
276 | L | L | -3.53 | 5.58 | -9.1 |
277 | L | L | 2.73 | -3.5 | 6.23 |
278 | M | M | 2.73 | -0.66 | 3.39 |
279 | R | R | -1.34 | 3.22 | -4.56 |
280 | N | N | -1.53 | -2.16 | 0.63 |
281 | H | H | 1.67 | 2.1 | -0.44 |
282 | L | L | 0.46 | -0.6 | 1.06 |
283 | R | R | 5.34 | -1.37 | 6.71 |
284 | D | D | 1.07 | 1.49 | -0.42 |
285 | L | L | -2.27 | 0.77 | -3.04 |
286 | M | M | 2.2 | 2.22 | -0.02 |
287 | G | G | 0.55 | -2.07 | 2.62 |
288 | V | V | -1.09 | 1.29 | -2.39 |
289 | P | P | -4.31 | -4.8 | 0.5 |
290 | Y | Y | -0.1 | -2.91 | 2.81 |
291 | C | C | 0.14 | -1.09 | 1.23 |
292 | N | N | -0.67 | 460.61 | -461.28 |
293 | Y | Y | 1.98 | -4.58 | 6.56 |
294 | S | S | 1.16 | 1.96 | -0.8 |
295 | K | K | 0.71 | 0.44 | 0.27 |
296 | F | F | 3.89 | -6.75 | 10.64 |
297 | W | W | 1.74 | -2.86 | 4.6 |
298 | Y | Y | -4.19 | -2.79 | -1.4 |
299 | L | L | -0.03 | -6.44 | 6.41 |
300 | E | E | -0.06 | -1.93 | 1.87 |
301 | H | H | 2.89 | -2.51 | 5.4 |
302 | A | A | 34.89 | 0.42 | 34.47 |
303 | - | K | - | 6.42 | - |
304 | - | T | - | 4.38 | - |
305 | - | G | - | -1.26 | - |
306 | - | E | - | 11.67 | - |
307 | - | T | - | 0.14 | - |
308 | - | S | - | -2.93 | - |
309 | - | V | - | 0.81 | - |
310 | P | P | 111.59 | -4.71 | 116.3 |
311 | K | K | 78.21 | 2.87 | 75.35 |
312 | C | C | 9.54 | -0.07 | 9.61 |
313 | W | W | -1.85 | 0.04 | -1.89 |
314 | L | L | -0.23 | 7.04 | -7.27 |
315 | V | V | -1.03 | -0.6 | -0.43 |
316 | T | T | -2.12 | 8.86 | -10.98 |
317 | N | N | 1.73 | 468.24 | -466.52 |
318 | G | G | 1.85 | 3.48 | -1.63 |
319 | S | S | -1.34 | -0.12 | -1.22 |
320 | Y | Y | -1.75 | -0.13 | -1.63 |
321 | L | L | -2.86 | 0.33 | -3.19 |
322 | N | N | 1.53 | 460.99 | -459.46 |
323 | E | E | 2.4 | 1.27 | 1.13 |
324 | T | T | 9.98 | 2.92 | 7.06 |
325 | H | H | 3.25 | 4.12 | -0.86 |
326 | F | F | 0.96 | -0.33 | 1.29 |
327 | S | S | -0.77 | 1.45 | -2.22 |
328 | D | D | -0.16 | 3.2 | -3.35 |
329 | Q | Q | 6.86 | 7.61 | -0.76 |
330 | I | I | 0.91 | 9.52 | -8.61 |
331 | E | E | 1.88 | 0.83 | 1.05 |
332 | Q | Q | -1.54 | 4.54 | -6.08 |
333 | E | E | 1.02 | 3.37 | -2.35 |
334 | A | A | -1.21 | -2.35 | 1.14 |
335 | D | D | -3.36 | -1.39 | -1.97 |
336 | N | N | -0.85 | 1.88 | -2.74 |
337 | M | M | 8.95 | 4.59 | 4.37 |
338 | I | I | 0.93 | 13.5 | -12.57 |
339 | T | T | 1.09 | 0.19 | 0.89 |
340 | E | E | 3.94 | 4.27 | -0.33 |
341 | M | M | 13.21 | 4.44 | 8.77 |
342 | L | L | 6.75 | 4.49 | 2.25 |
343 | R | R | 20.61 | 4.43 | 16.17 |
344 | - | K | - | 0.68 | - |
345 | - | D | - | 3.17 | - |
346 | - | Y | - | 4.12 | - |
347 | - | I | - | 11.52 | - |
348 | - | K | - | 5.81 | - |
349 | X | X | 8.19 | 468.39 | -460.2 |
350 | X | X | -2.69 | 463.26 | -465.94 |
351 | X | X | -0.38 | 461.97 | -462.35 |
352 | - | N | - | 2.21 | - |
353 | - | G | - | 2.57 | - |
354 | - | P | - | -0.9 | - |
355 | - | D | - | 0.98 | - |
356 | - | I | - | 3.1 | - |
357 | - | Y | - | -2.25 | - |
358 | - | K | - | 0.34 | - |
359 | - | G | - | -0.59 | - |
360 | - | V | - | 8.58 | - |
361 | - | Y | - | 0.08 | - |
362 | - | Q | - | 4.03 | - |
363 | - | F | - | -2.34 | - |
364 | - | K | - | 0.88 | - |
365 | - | S | - | -0.3 | - |
366 | - | V | - | 3.47 | - |
367 | - | E | - | -0.27 | - |
368 | - | F | - | -6.02 | - |
369 | - | D | - | 0.12 | - |
370 | - | M | - | -1.19 | - |
371 | - | S | - | 1.87 | - |
372 | - | H | - | 0.61 | - |
373 | - | L | - | 15.03 | - |
374 | - | N | - | 467.27 | - |
375 | - | L | - | 9.58 | - |
376 | - | T | - | -2.52 | - |
377 | - | M | - | 9.07 | - |
378 | - | P | - | -3.46 | - |
379 | - | N | - | 4.04 | - |
380 | - | A | - | -0.8 | - |
381 | - | C | - | 2.37 | - |
382 | - | S | - | 0.03 | - |
383 | - | A | - | 1.93 | - |
384 | - | N | - | 446.06 | - |
385 | - | N | - | 4.38 | - |
386 | - | S | - | -0.33 | - |
387 | - | H | - | 0.08 | - |
388 | - | H | - | -1.97 | - |
389 | - | Y | - | -5.71 | - |
390 | - | I | - | -4.72 | - |
391 | - | S | - | -0.99 | - |
392 | - | M | - | -0.2 | - |
393 | - | G | - | -0.13 | - |
394 | - | S | - | 0.83 | - |
395 | - | S | - | 2.37 | - |
396 | - | G | - | -0.78 | - |
397 | - | L | - | 5.28 | - |
398 | - | E | - | -0.4 | - |
399 | - | L | - | 11.79 | - |
400 | - | T | - | -2.02 | - |
401 | - | F | - | -1.12 | - |
402 | - | T | - | 0.13 | - |
403 | - | N | - | 458.19 | - |
404 | - | D | - | 2.93 | - |
405 | - | S | - | 1.12 | - |
406 | - | I | - | 8.4 | - |
407 | - | L | - | 0.6 | - |
408 | - | N | - | 5.95 | - |
409 | - | H | - | 3.22 | - |
410 | - | N | - | 4.71 | - |
411 | - | F | - | 7.89 | - |
412 | - | C | - | 23.02 | - |
413 | - | N | - | 470.35 | - |
414 | - | L | - | 5.64 | - |
415 | - | T | - | 6.68 | - |
416 | - | S | - | 1.45 | - |
417 | - | A | - | 0.43 | - |
418 | - | F | - | -2.17 | - |
419 | - | N | - | 1.36 | - |
420 | - | K | - | 8.48 | - |
421 | - | K | - | 23.42 | - |
422 | - | T | - | 1.63 | - |
423 | - | F | - | 0.79 | - |
424 | - | D | - | 0.71 | - |
425 | - | H | - | 1.37 | - |
426 | - | T | - | 6.19 | - |
427 | - | L | - | -3.11 | - |
428 | - | M | - | 0.46 | - |
429 | - | S | - | -0.34 | - |
430 | - | I | - | -3.14 | - |
431 | - | V | - | -3.76 | - |
432 | - | S | - | 3.57 | - |
433 | - | S | - | -0.33 | - |
434 | - | L | - | -1.94 | - |
435 | - | H | - | 4.87 | - |
436 | - | L | - | 0.06 | - |
437 | - | S | - | -0.43 | - |
438 | - | I | - | 0.42 | - |
439 | - | R | - | 9.12 | - |
440 | - | G | - | 0.88 | - |
441 | - | N | - | 3.81 | - |
442 | - | S | - | 2.23 | - |
443 | - | N | - | 0.53 | - |
444 | - | H | - | 4.95 | - |
445 | - | K | - | 2.02 | - |
446 | - | A | - | -2.2 | - |
447 | - | V | - | 2.24 | - |
448 | - | S | - | -0.35 | - |
449 | - | C | - | 0.38 | - |
450 | - | D | - | 3.5 | - |
451 | - | F | - | 0.17 | - |
452 | - | N | - | 3.89 | - |
453 | - | N | - | 11.42 | - |
454 | - | G | - | -1.35 | - |
455 | - | I | - | 6.49 | - |
456 | - | T | - | 7.1 | - |
457 | - | I | - | 3.67 | - |
458 | - | Q | - | -3.21 | - |
459 | - | Y | - | 1.53 | - |
460 | - | N | - | 457.26 | - |
461 | - | L | - | 1.11 | - |
462 | - | S | - | 23.71 | - |
463 | - | Q | - | 9.4 | - |
464 | - | C | - | 22.05 | - |
465 | - | R | - | 6.1 | - |
466 | - | T | - | 2.36 | - |
467 | - | F | - | 3.15 | - |
468 | - | R | - | 3.71 | - |
469 | - | G | - | -0.19 | - |
470 | - | R | - | 1.2 | - |
471 | - | V | - | -3.24 | - |
472 | - | L | - | -1.86 | - |
473 | - | D | - | 2.2 | - |
474 | - | M | - | 1.61 | - |
475 | - | F | - | -3.16 | - |
476 | - | R | - | 6.84 | - |
477 | - | T | - | 0.44 | - |
478 | - | A | - | -1.82 | - |
479 | - | F | - | -3.4 | - |
480 | - | G | - | -2.2 | - |
481 | - | G | - | 1.17 | - |
482 | - | K | - | 4.19 | - |
483 | - | Y | - | 0.5 | - |
484 | - | M | - | 1.51 | - |
485 | - | R | - | 6.09 | - |
486 | - | S | - | 1.83 | - |
487 | - | G | - | -0.15 | - |
488 | - | W | - | 6.5 | - |
489 | - | G | - | 1.44 | - |
490 | - | W | - | 12.93 | - |
491 | - | A | - | 3.34 | - |
492 | - | G | - | 29.22 | - |
493 | - | T | - | 9.53 | - |
494 | - | T | - | 6.16 | - |
495 | - | W | - | 3.7 | - |
496 | - | C | - | 3.01 | - |
497 | - | S | - | 0.92 | - |
498 | - | Q | - | 5.8 | - |
499 | - | T | - | 3.95 | - |
500 | - | S | - | 0.99 | - |
501 | - | Y | - | 0.42 | - |
502 | - | Q | - | -2.68 | - |
503 | - | Y | - | -4.55 | - |
504 | - | L | - | -2.83 | - |
505 | - | I | - | 2.11 | - |
506 | - | I | - | 1.48 | - |
507 | - | Q | - | 4.79 | - |
508 | - | N | - | 462.99 | - |
509 | - | R | - | 1.0 | - |
510 | - | T | - | 6.35 | - |
511 | - | W | - | -0.71 | - |
512 | - | E | - | 3.44 | - |
513 | - | N | - | 3.05 | - |
514 | - | H | - | -1.16 | - |
515 | - | C | - | 5.6 | - |
516 | - | R | - | 5.64 | - |
517 | - | Y | - | 0.39 | - |
518 | - | A | - | -0.41 | - |
519 | - | G | - | -1.88 | - |
520 | - | P | - | -3.57 | - |
521 | - | F | - | 0.33 | - |
522 | - | G | - | 0.41 | - |
523 | - | M | - | -0.73 | - |
524 | - | S | - | -1.64 | - |
525 | - | R | - | -0.58 | - |
526 | - | I | - | -2.17 | - |
527 | - | L | - | 1.01 | - |
528 | - | F | - | -1.48 | - |
529 | - | A | - | 1.16 | - |
530 | - | Q | - | 4.32 | - |
531 | - | E | - | 3.51 | - |
532 | - | K | - | 8.7 | - |
533 | - | T | - | 5.9 | - |
534 | - | K | - | 1.42 | - |
535 | - | F | - | 36.07 | - |
536 | - | L | - | 16.92 | - |
537 | - | A | - | 6.61 | - |
538 | - | G | - | 2.83 | - |
539 | - | T | - | 4.03 | - |
540 | - | F | - | -0.3 | - |
541 | - | T | - | 2.07 | - |
542 | - | W | - | -2.07 | - |
543 | - | T | - | 4.17 | - |
544 | - | L | - | -2.2 | - |
545 | - | S | - | 1.41 | - |
546 | - | D | - | 60.87 | - |
547 | - | P | - | 82.27 | - |
548 | - | G | - | 5.49 | - |
549 | - | G | - | 0.8 | - |
550 | - | Y | - | 2.33 | - |
551 | - | C | - | 0.67 | - |
552 | - | L | - | -2.02 | - |
553 | - | T | - | 0.33 | - |
554 | - | K | - | 1.69 | - |
555 | - | W | - | 6.98 | - |
556 | - | M | - | -1.56 | - |
557 | - | I | - | 10.41 | - |
558 | - | L | - | 2.33 | - |
559 | - | A | - | 2.24 | - |
560 | - | A | - | 0.37 | - |
561 | - | E | - | 2.64 | - |
562 | - | L | - | 9.88 | - |
563 | - | K | - | 4.83 | - |
564 | - | C | - | 1.56 | - |
565 | - | F | - | 0.34 | - |
566 | - | G | - | -1.45 | - |
567 | - | N | - | 2.99 | - |
568 | - | T | - | 4.03 | - |
569 | - | A | - | -0.84 | - |
570 | - | V | - | -1.77 | - |
571 | - | A | - | -1.4 | - |
572 | - | K | - | 1.95 | - |
573 | - | C | - | 0.65 | - |
574 | - | N | - | 0.25 | - |
575 | - | V | - | 4.79 | - |
576 | - | N | - | 5.7 | - |
577 | - | H | - | 6.5 | - |
578 | - | D | - | 4.33 | - |
579 | - | E | - | 1.74 | - |
580 | - | E | - | -1.55 | - |
581 | - | F | - | -4.1 | - |
582 | - | C | - | 0.71 | - |
583 | - | D | - | -2.42 | - |
584 | - | M | - | -1.48 | - |
585 | - | L | - | -4.82 | - |
586 | - | R | - | -2.5 | - |
587 | - | L | - | -6.28 | - |
588 | - | I | - | -1.51 | - |
589 | - | D | - | -0.77 | - |
590 | - | Y | - | -0.68 | - |
591 | - | N | - | -0.99 | - |
592 | - | K | - | 0.37 | - |
593 | - | A | - | -1.61 | - |
594 | - | A | - | -3.54 | - |
595 | - | L | - | 4.55 | - |
596 | - | S | - | -0.13 | - |
597 | - | K | - | 2.71 | - |
598 | - | F | - | 14.18 | - |
599 | - | K | - | 4.5 | - |
600 | - | Q | - | 7.98 | - |
601 | - | D | - | 0.28 | - |
602 | - | V | - | 4.05 | - |
603 | - | E | - | 7.63 | - |
604 | - | S | - | -0.8 | - |
605 | - | A | - | -1.68 | - |
606 | - | L | - | -3.81 | - |
607 | - | H | - | 2.64 | - |
608 | - | V | - | 0.24 | - |
609 | - | F | - | -3.22 | - |
610 | - | K | - | 2.71 | - |
611 | - | T | - | 0.17 | - |
612 | - | T | - | -2.06 | - |
613 | - | V | - | 12.15 | - |
614 | - | N | - | 4.04 | - |
615 | - | S | - | 0.39 | - |
616 | - | L | - | -0.38 | - |
617 | - | I | - | -2.9 | - |
618 | - | S | - | 2.43 | - |
619 | - | D | - | 5.52 | - |
620 | - | Q | - | 2.73 | - |
621 | - | L | - | 5.29 | - |
622 | - | L | - | -3.96 | - |
623 | - | M | - | -0.68 | - |
624 | - | R | - | 3.1 | - |
625 | - | N | - | -2.07 | - |
626 | - | H | - | 1.92 | - |
627 | - | L | - | -0.45 | - |
628 | - | R | - | -1.37 | - |
629 | - | D | - | 1.46 | - |
630 | - | L | - | 1.38 | - |
631 | - | M | - | 2.6 | - |
632 | - | G | - | -2.27 | - |
633 | - | V | - | 1.27 | - |
634 | - | P | - | -3.95 | - |
635 | - | Y | - | -2.02 | - |
636 | - | C | - | -1.24 | - |
637 | - | N | - | 458.49 | - |
638 | - | Y | - | -4.45 | - |
639 | - | S | - | 1.68 | - |
640 | - | K | - | 0.44 | - |
641 | - | F | - | -6.75 | - |
642 | - | W | - | -2.98 | - |
643 | - | Y | - | -2.64 | - |
644 | - | L | - | -5.9 | - |
645 | - | E | - | -1.62 | - |
646 | - | H | - | -2.52 | - |
647 | - | A | - | 0.43 | - |
648 | - | K | - | 4.69 | - |
649 | - | T | - | 4.15 | - |
650 | - | G | - | -1.5 | - |
651 | - | E | - | 12.41 | - |
652 | - | T | - | -1.68 | - |
653 | - | S | - | -3.19 | - |
654 | - | V | - | 1.03 | - |
655 | - | P | - | -4.88 | - |
656 | - | K | - | 1.06 | - |
657 | - | C | - | 0.17 | - |
658 | - | W | - | 0.34 | - |
659 | - | L | - | 6.96 | - |
660 | - | V | - | -0.4 | - |
661 | - | T | - | 3.04 | - |
662 | - | N | - | 14.97 | - |
663 | - | G | - | 6.59 | - |
664 | - | S | - | 1.81 | - |
665 | - | Y | - | 0.31 | - |
666 | - | L | - | -1.26 | - |
667 | - | N | - | 462.97 | - |
668 | - | E | - | 1.26 | - |
669 | - | T | - | 2.93 | - |
670 | - | H | - | 4.04 | - |
671 | - | F | - | -0.27 | - |
672 | - | S | - | 1.46 | - |
673 | - | D | - | 3.15 | - |
674 | - | Q | - | 18.26 | - |
675 | - | I | - | 9.7 | - |
676 | - | E | - | 1.36 | - |
677 | - | Q | - | 4.31 | - |
678 | - | E | - | 2.86 | - |
679 | - | A | - | -2.64 | - |
680 | - | D | - | 1.11 | - |
681 | - | N | - | 1.92 | - |
682 | - | M | - | 2.69 | - |
683 | - | I | - | 4.26 | - |
684 | - | T | - | 6.96 | - |
685 | - | E | - | 1.48 | - |
686 | - | M | - | 4.09 | - |
687 | - | L | - | 2.51 | - |
688 | - | R | - | 3.47 | - |
689 | - | K | - | 1.76 | - |
690 | - | D | - | 5.71 | - |
691 | X | X | -0.76 | 467.48 | -468.24 |
692 | X | X | 2.51 | 464.03 | -461.53 |
693 | - | X | - | 839.06 | - |
694 | - | X | - | 769.0 | - |
695 | - | X | - | 690.51 | - |
696 | - | X | - | 317.6 | - |
697 | - | X | - | 830.77 | - |
698 | - | X | - | 756.15 | - |
699 | - | X | - | 446.35 | - |
700 | - | X | - | 65.85 | - |
701 | - | X | - | 857.37 | - |
702 | - | X | - | 399.39 | - |
703 | - | X | - | 862.86 | - |
704 | - | X | - | 402.8 | - |
705 | - | X | - | 858.0 | - |
706 | - | X | - | 399.51 | - |
707 | - | X | - | 852.46 | - |
708 | - | X | - | 391.02 | - |
709 | - | X | - | 855.56 | - |
710 | - | X | - | 394.33 | - |
711 | - | X | - | 831.65 | - |
712 | - | X | - | 641.56 | - |
713 | - | X | - | 552.2 | - |
714 | - | X | - | 301.2 | - |
715 | - | X | - | 808.29 | - |
716 | - | X | - | 351.78 | - |
717 | - | X | - | 858.58 | - |
718 | - | X | - | 401.1 | - |
719 | - | X | - | 869.97 | - |
720 | - | X | - | 800.43 | - |
721 | - | X | - | 711.13 | - |
722 | - | X | - | 323.1 | - |
723 | - | X | - | 852.21 | - |
724 | - | X | - | 782.12 | - |
725 | - | X | - | 713.74 | - |
726 | - | X | - | 327.02 | - |