Analysis of pair 3meeA_4b3oB
3meeA vs 4b3oB
[missing] Two structures (Fold1 & Fold2)
[missing] Two structures aligned
Missing: Fold1 vs best AF2
Missing: Fold2 vs best AF2
Missing: Fold1 vs best AF3
Missing: Fold2 vs best AF3
Missing: Fold1 vs best ESM2
Missing: Fold2 vs best ESM2
Missing: Fold1 vs best ESM3
Missing: Fold2 vs best ESM3
[missing] 3meeA vs. 4b3oB (unaligned) — interactive
[missing] 3meeA vs. 4b3oB (aligned) — interactive
[missing] Deep-MSA contact map panel / Best clusters contact map panel
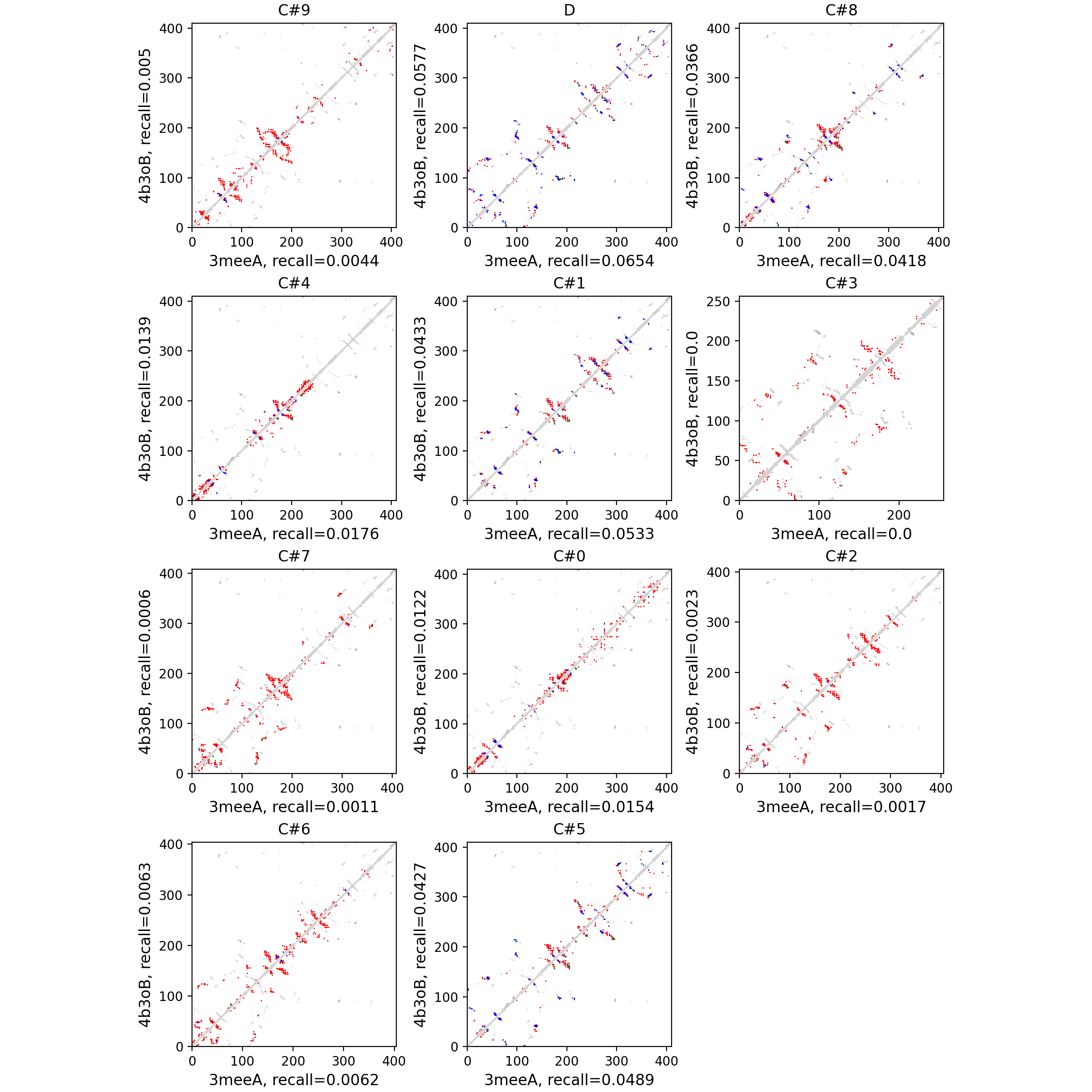
[missing] All clusters contact-map mosaic (small multiples).
[missing] Aligned per-residue ΔΔG (seq alignment overlay).
[missing] Phylogenetic tree with per-cluster heatmap.
Cluster metrics table
cluster | n | neff | AF2_TM1 | AF2_TM2 | AF3_TM1 | AF3_TM2 | RE-MSAT-COM | RE-MSAT1 | RE-MSAT2 | ESM_SEQIDS | ESM_TM1_LIST | ESM_TM2_LIST |
---|
Deep | - | - | 0.62 | 0.64 | 0.82 | 0.8 | 0.3 | 0.31 | 0.26 | - | - | - |
000 | - | - | 0.47 | 0.47 | 0.7 | 0.7 | 0.01 | 0.01 | 0.01 | 002; 002; 003; 003; 010; 010; 001; 001; 004; 004 | 0.70; 0.70; 0.50; 0.50; 0.47; 0.47; 0.46; 0.46; 0.41; 0.41 | 0.72; 0.72; 0.52; 0.52; 0.47; 0.47; 0.46; 0.46; 0.41; 0.41 |
001 | - | - | 0.8 | 0.78 | 0.81 | 0.78 | 0.18 | 0.11 | 0.15 | 002; 002; 001; 001; 003; 003; 009; 009; 006; 006 | 0.76; 0.76; 0.65; 0.65; 0.52; 0.52; 0.49; 0.49; 0.43; 0.43 | 0.78; 0.78; 0.66; 0.66; 0.52; 0.52; 0.50; 0.50; 0.44; 0.44 |
002 | - | - | 0.62 | 0.64 | 0.82 | 0.8 | 0.0 | 0.0 | 0.0 | 001; 001; 002; 002; 007; 007; 003; 003; 006; 006 | 0.71; 0.71; 0.60; 0.60; 0.50; 0.50; 0.49; 0.49; 0.48; 0.48 | 0.72; 0.73; 0.61; 0.61; 0.51; 0.51; 0.49; 0.49; 0.49; 0.49 |
003 | - | - | 0.62 | 0.64 | 0.82 | 0.8 | 0.0 | 0.0 | 0.0 | 006; 006; 001; 001; 003; 003; 007; 007; 008; 008 | 0.42; 0.42; 0.41; 0.41; 0.36; 0.36; 0.34; 0.34; 0.31; 0.31 | 0.42; 0.42; 0.41; 0.41; 0.36; 0.36; 0.33; 0.33; 0.31; 0.31 |
004 | - | - | 0.62 | 0.64 | 0.82 | 0.8 | 0.02 | 0.02 | 0.02 | 003; 003; 002; 002; 008; 008; 004; 001; 001; 006 | 0.70; 0.70; 0.63; 0.63; 0.59; 0.59; 0.58; 0.58; 0.58; 0.57 | 0.72; 0.72; 0.64; 0.63; 0.60; 0.60; 0.58; 0.57; 0.57; 0.57 |
005 | - | - | 0.62 | 0.64 | 0.82 | 0.8 | 0.2 | 0.14 | 0.17 | 002; 001; 001; 002; 006; 006; 004; 004; 003; 003 | 0.70; 0.69; 0.69; 0.69; 0.49; 0.49; 0.47; 0.47; 0.45; 0.45 | 0.71; 0.70; 0.70; 0.69; 0.48; 0.48; 0.48; 0.48; 0.45; 0.45 |
006 | - | - | 0.62 | 0.64 | 0.82 | 0.8 | 0.01 | 0.0 | 0.01 | 001; 001; 008; 007; 008; 006; 006; 007; 009; 009 | 0.56; 0.56; 0.51; 0.51; 0.51; 0.50; 0.50; 0.50; 0.48; 0.48 | 0.57; 0.57; 0.50; 0.52; 0.50; 0.50; 0.50; 0.51; 0.50; 0.50 |
007 | - | - | 0.62 | 0.64 | 0.82 | 0.8 | 0.0 | 0.0 | 0.0 | 003; 003; 005; 004; 004; 005; 002; 002; 006; 006 | 0.71; 0.71; 0.70; 0.70; 0.70; 0.70; 0.65; 0.65; 0.59; 0.58 | 0.74; 0.74; 0.71; 0.70; 0.70; 0.71; 0.67; 0.66; 0.60; 0.60 |
008 | - | - | 0.62 | 0.64 | 0.82 | 0.8 | 0.14 | 0.08 | 0.11 | 002; 002; 001; 001; 003; 003; 004; 005; 005; 004 | 0.71; 0.71; 0.69; 0.69; 0.59; 0.59; 0.57; 0.57; 0.57; 0.56 | 0.72; 0.72; 0.70; 0.70; 0.61; 0.61; 0.58; 0.60; 0.60; 0.58 |
009 | - | - | 0.62 | 0.64 | 0.82 | 0.8 | 0.02 | 0.01 | 0.01 | 003; 003; 001; 001; 004; 004; 005; 005; 010; 010 | 0.79; 0.79; 0.59; 0.59; 0.59; 0.58; 0.56; 0.56; 0.53; 0.53 | 0.80; 0.80; 0.61; 0.61; 0.60; 0.59; 0.57; 0.56; 0.54; 0.54 |
Aligned per-residue ΔΔG
aln_pos | aa1 | aa2 | E1 | E2 | dEdiff |
---|
1 | P | - | 2.2 | - | - |
2 | I | - | -2.01 | - | - |
3 | S | - | 1.81 | - | - |
4 | P | P | 0.04 | 0.59 | -0.55 |
5 | I | I | 4.55 | 235.7 | -231.15 |
6 | E | E | 5.24 | 7.99 | -2.75 |
7 | T | T | -0.5 | 3.34 | -3.84 |
8 | V | V | 1.05 | -0.39 | 1.44 |
9 | P | P | -1.94 | -2.33 | 0.4 |
10 | V | V | 16.58 | -3.39 | 19.96 |
11 | K | K | 10.51 | -2.29 | 12.8 |
12 | L | L | 3.68 | -0.51 | 4.19 |
13 | K | K | 38.77 | 5.69 | 33.08 |
14 | P | P | 21.08 | 4.97 | 16.11 |
15 | G | G | 4.53 | 3.19 | 1.34 |
16 | M | M | 56.43 | 6.22 | 50.22 |
17 | D | D | 2.42 | 4.75 | -2.33 |
18 | G | G | 1.39 | -0.12 | 1.5 |
19 | P | P | -2.74 | -3.65 | 0.92 |
20 | K | K | 4.67 | -0.08 | 4.75 |
21 | V | V | 3.6 | 4.42 | -0.82 |
22 | K | K | 9.22 | 0.1 | 9.12 |
23 | Q | Q | -4.43 | 7.68 | -12.12 |
24 | W | W | 5.53 | 10.18 | -4.66 |
25 | P | P | -2.29 | 1.81 | -4.1 |
26 | L | L | -2.7 | 6.93 | -9.63 |
27 | T | T | 2.9 | 4.75 | -1.84 |
28 | E | E | 0.17 | 5.29 | -5.12 |
29 | E | E | 7.21 | 0.62 | 6.59 |
30 | K | K | -0.63 | -1.13 | 0.5 |
31 | I | I | 2.8 | -0.01 | 2.81 |
32 | K | K | 0.24 | -0.48 | 0.72 |
33 | A | A | -1.74 | 0.17 | -1.91 |
34 | L | L | -4.4 | -1.1 | -3.3 |
35 | V | V | -0.33 | 0.69 | -1.02 |
36 | E | E | -0.99 | -0.85 | -0.14 |
37 | I | I | 0.57 | 1.05 | -0.48 |
38 | C | C | -0.31 | 0.26 | -0.57 |
39 | T | T | 4.27 | 1.84 | 2.43 |
40 | E | E | 20.0 | 1.14 | 18.86 |
41 | M | M | -2.86 | -1.11 | -1.75 |
42 | E | E | 0.59 | 0.57 | 0.02 |
43 | K | K | -0.88 | 0.26 | -1.14 |
44 | E | E | 3.41 | 1.73 | 1.68 |
45 | G | G | -2.44 | -1.18 | -1.26 |
46 | K | K | 6.58 | 4.24 | 2.34 |
47 | I | I | -2.66 | -1.14 | -1.52 |
48 | S | S | -0.8 | -1.37 | 0.57 |
49 | K | K | 0.62 | -1.32 | 1.94 |
50 | I | I | -1.82 | 3.5 | -5.32 |
51 | G | G | 0.14 | 1.94 | -1.8 |
52 | P | P | 0.28 | 1.65 | -1.37 |
53 | E | E | 4.92 | 5.38 | -0.46 |
54 | N | N | 6.94 | 4.82 | 2.11 |
55 | P | P | -0.38 | 5.03 | -5.41 |
56 | Y | Y | -1.79 | 0.88 | -2.67 |
57 | N | N | 4.12 | 1.24 | 2.88 |
58 | T | T | 5.27 | 4.12 | 1.15 |
59 | P | P | 3.15 | -4.83 | 7.98 |
60 | V | V | -1.97 | -2.17 | 0.19 |
61 | F | F | -1.6 | 6.38 | -7.97 |
62 | A | - | -1.14 | - | - |
63 | I | - | 4.59 | - | - |
64 | K | - | 22.54 | - | - |
65 | K | - | 12.79 | - | - |
66 | K | - | 21.07 | - | - |
67 | D | - | 13.78 | - | - |
68 | S | - | 1.55 | - | - |
69 | T | - | 14.6 | - | - |
70 | K | - | 3.84 | - | - |
71 | W | - | -2.51 | - | - |
72 | R | - | 14.19 | - | - |
73 | K | - | 7.47 | - | - |
74 | L | - | 2.59 | - | - |
75 | V | V | -0.34 | -1.1 | 0.76 |
76 | D | D | 0.98 | 0.83 | 0.15 |
77 | F | F | -3.84 | -3.5 | -0.34 |
78 | R | R | 6.04 | 2.48 | 3.56 |
79 | E | E | 4.47 | 0.7 | 3.77 |
80 | L | L | -2.0 | -2.74 | 0.74 |
81 | N | N | -2.43 | -1.77 | -0.66 |
82 | K | K | -0.12 | -0.16 | 0.04 |
83 | R | - | 19.55 | - | - |
84 | - | K | - | 0.0 | - |
85 | T | T | -0.42 | 1.77 | -2.2 |
86 | Q | Q | -1.88 | -0.29 | -1.6 |
87 | D | D | -2.64 | -2.25 | -0.38 |
88 | F | F | -3.81 | -4.27 | 0.46 |
89 | W | W | 1.74 | 1.82 | -0.08 |
90 | E | E | 7.14 | 2.25 | 4.89 |
91 | V | V | 13.83 | 2.67 | 11.16 |
92 | Q | Q | 23.34 | 2.04 | 21.3 |
93 | L | L | 10.89 | 17.83 | -6.95 |
94 | G | G | 1.02 | 2.88 | -1.86 |
95 | I | I | 0.94 | 5.37 | -4.43 |
96 | P | P | -4.89 | -3.77 | -1.12 |
97 | H | H | -2.94 | -0.53 | -2.41 |
98 | P | P | -3.82 | -4.92 | 1.1 |
99 | A | A | -4.42 | -2.42 | -2.0 |
100 | G | G | -0.53 | -0.9 | 0.37 |
101 | L | L | -3.3 | 6.11 | -9.41 |
102 | K | K | 2.71 | -0.9 | 3.61 |
103 | K | K | 2.26 | 1.82 | 0.44 |
104 | K | K | 3.37 | -1.93 | 5.31 |
105 | K | K | 4.86 | 1.15 | 3.71 |
106 | S | S | 3.74 | -0.84 | 4.58 |
107 | V | V | -2.92 | -0.45 | -2.48 |
108 | T | T | 6.72 | -2.78 | 9.5 |
109 | V | V | 13.27 | -0.54 | 13.81 |
110 | L | L | -1.37 | -0.35 | -1.01 |
111 | D | D | 6.58 | 2.11 | 4.48 |
112 | V | V | -2.62 | -1.78 | -0.84 |
113 | G | G | 2.26 | 0.32 | 1.94 |
114 | D | D | 2.44 | 6.88 | -4.44 |
115 | A | A | 1.06 | -0.36 | 1.41 |
116 | Y | Y | 1.34 | 0.16 | 1.17 |
117 | F | F | 6.68 | 5.64 | 1.05 |
118 | S | S | -2.05 | 0.0 | -2.06 |
119 | V | V | -3.01 | -2.04 | -0.97 |
120 | P | P | -6.4 | 226.76 | -233.16 |
121 | L | L | 18.79 | -0.19 | 18.97 |
122 | D | D | -0.46 | 0.01 | -0.48 |
123 | E | E | 2.01 | 9.6 | -7.59 |
124 | D | D | 2.18 | 0.26 | 1.92 |
125 | F | F | -1.94 | -2.44 | 0.49 |
126 | R | R | -1.56 | -1.98 | 0.42 |
127 | K | K | 5.71 | 2.49 | 3.22 |
128 | Y | Y | -1.33 | -3.05 | 1.71 |
129 | T | T | -3.77 | -2.1 | -1.67 |
130 | A | A | -1.2 | -1.56 | 0.36 |
131 | F | F | -2.57 | -2.38 | -0.19 |
132 | T | T | 0.24 | 2.08 | -1.84 |
133 | I | I | -3.25 | 6.73 | -9.98 |
134 | P | P | -4.11 | -0.04 | -4.07 |
135 | S | S | -1.54 | 0.06 | -1.6 |
136 | I | I | 2.38 | 2.11 | 0.27 |
137 | N | N | -0.41 | 1.48 | -1.89 |
138 | N | N | 7.48 | 2.22 | 5.26 |
139 | E | E | 6.26 | 0.91 | 5.35 |
140 | T | T | 2.16 | 9.41 | -7.25 |
141 | P | P | -1.81 | 16.06 | -17.87 |
142 | G | G | -1.28 | 0.42 | -1.7 |
143 | I | I | -1.84 | 1.98 | -3.81 |
144 | R | R | 3.26 | -0.21 | 3.47 |
145 | Y | Y | -3.77 | -5.29 | 1.52 |
146 | Q | Q | 0.42 | -1.87 | 2.29 |
147 | Y | Y | -1.79 | -0.66 | -1.12 |
148 | N | N | -3.63 | -3.15 | -0.48 |
149 | V | V | -3.31 | -0.66 | -2.65 |
150 | L | L | -3.37 | -3.23 | -0.14 |
151 | P | P | -4.35 | -1.1 | -3.25 |
152 | Q | Q | 2.35 | 3.64 | -1.29 |
153 | G | G | -2.03 | -1.64 | -0.39 |
154 | W | W | -3.22 | 1.38 | -4.6 |
155 | K | K | -0.67 | -1.45 | 0.78 |
156 | G | G | -1.42 | -2.87 | 1.46 |
157 | S | S | 4.75 | 8.19 | -3.44 |
158 | P | P | 2.87 | 1.78 | 1.09 |
159 | A | A | -1.75 | -1.44 | -0.31 |
160 | I | I | -2.99 | -3.26 | 0.27 |
161 | F | F | -3.84 | -2.81 | -1.03 |
162 | Q | Q | -0.21 | 0.71 | -0.92 |
163 | S | S | -0.62 | 0.66 | -1.28 |
164 | S | S | 0.58 | -0.8 | 1.38 |
165 | M | M | -1.99 | -2.66 | 0.66 |
166 | T | T | 0.26 | 2.36 | -2.11 |
167 | K | K | 4.26 | 0.35 | 3.92 |
168 | I | I | 0.87 | -3.52 | 4.39 |
169 | L | L | -6.2 | -2.52 | -3.68 |
170 | E | E | 12.31 | 8.5 | 3.8 |
171 | P | P | 5.08 | 5.72 | -0.64 |
172 | F | F | -1.46 | 1.07 | -2.53 |
173 | R | R | -1.04 | 0.09 | -1.13 |
174 | K | K | 1.63 | -1.3 | 2.93 |
175 | Q | Q | 9.06 | 0.75 | 8.31 |
176 | N | N | 0.32 | 2.58 | -2.26 |
177 | P | P | 1.38 | 3.01 | -1.63 |
178 | D | D | 0.55 | 1.0 | -0.46 |
179 | I | I | 4.43 | 4.21 | 0.21 |
180 | V | V | 20.72 | 0.16 | 20.56 |
181 | I | I | -1.07 | -0.84 | -0.23 |
182 | Y | Y | -0.8 | -0.09 | -0.71 |
183 | Q | Q | 3.57 | 2.09 | 1.48 |
184 | Y | Y | 1.14 | 0.92 | 0.22 |
185 | M | M | 7.07 | 13.37 | -6.3 |
186 | D | D | 6.61 | 7.63 | -1.03 |
187 | D | D | 2.22 | 1.73 | 0.49 |
188 | L | L | -4.12 | -1.47 | -2.65 |
189 | Y | Y | 14.17 | -3.8 | 17.97 |
190 | V | V | 3.0 | -2.71 | 5.72 |
191 | G | G | -1.14 | -1.25 | 0.11 |
192 | S | S | 0.86 | -0.53 | 1.4 |
193 | D | D | 3.0 | -0.39 | 3.4 |
194 | L | L | 3.45 | 1.07 | 2.38 |
195 | E | E | 3.95 | 3.35 | 0.6 |
196 | I | I | 8.86 | 3.36 | 5.5 |
197 | G | G | 3.27 | 2.26 | 1.01 |
198 | Q | Q | 3.13 | 2.48 | 0.65 |
199 | H | H | 1.9 | -1.15 | 3.05 |
200 | R | R | 31.06 | 6.48 | 24.58 |
201 | T | T | 2.96 | 3.78 | -0.82 |
202 | K | K | 9.16 | 0.08 | 9.08 |
203 | I | I | 8.15 | 2.02 | 6.13 |
204 | E | E | 0.25 | -1.81 | 2.07 |
205 | E | E | 3.69 | -2.27 | 5.96 |
206 | L | L | 3.08 | 1.95 | 1.14 |
207 | R | R | -0.34 | -2.09 | 1.75 |
208 | Q | Q | 3.83 | -0.97 | 4.8 |
209 | H | H | 0.58 | -0.54 | 1.12 |
210 | L | L | 3.71 | -4.8 | 8.51 |
211 | L | L | 3.71 | 3.66 | 0.05 |
212 | R | R | 7.31 | 1.86 | 5.44 |
213 | W | W | 3.77 | 0.34 | 3.43 |
214 | G | G | -0.92 | -0.28 | -0.64 |
215 | L | L | -2.72 | -0.56 | -2.16 |
216 | T | T | 0.04 | 2.7 | -2.67 |
217 | T | T | 0.05 | 0.25 | -0.2 |
218 | P | P | -0.97 | -3.38 | 2.41 |
219 | D | D | 7.71 | 5.45 | 2.26 |
220 | K | K | 16.64 | 1.62 | 15.02 |
221 | K | K | 6.68 | -0.27 | 6.95 |
222 | H | H | 3.47 | 4.1 | -0.63 |
223 | Q | Q | 6.78 | 2.72 | 4.06 |
224 | K | K | 1.71 | -2.32 | 4.03 |
225 | E | E | 12.48 | 1.69 | 10.78 |
226 | P | P | 4.62 | 14.19 | -9.57 |
227 | P | P | -1.53 | 10.04 | -11.58 |
228 | F | F | -0.17 | 0.0 | -0.18 |
229 | L | L | 3.79 | 1.49 | 2.3 |
230 | W | W | 2.1 | 0.56 | 1.54 |
231 | M | M | 4.66 | 3.96 | 0.7 |
232 | G | G | -2.93 | -2.15 | -0.78 |
233 | Y | Y | -3.64 | -2.51 | -1.13 |
234 | E | E | -3.36 | -1.48 | -1.88 |
235 | L | L | 2.65 | -2.21 | 4.86 |
236 | H | H | 1.44 | 1.14 | 0.3 |
237 | P | P | -1.85 | -1.47 | -0.39 |
238 | D | D | 1.54 | 2.38 | -0.84 |
239 | K | K | 2.16 | -0.62 | 2.78 |
240 | W | W | -5.12 | -3.14 | -1.98 |
241 | T | T | 1.15 | 0.15 | 1.0 |
242 | V | V | -1.31 | 0.11 | -1.42 |
243 | Q | Q | 9.43 | 2.81 | 6.62 |
244 | P | P | 4.15 | -2.14 | 6.29 |
245 | I | I | 6.76 | 1.97 | 4.8 |
246 | V | V | 5.59 | -0.37 | 5.96 |
247 | L | L | 0.34 | 13.18 | -12.84 |
248 | P | P | -3.2 | 2.5 | -5.71 |
249 | E | E | 9.34 | 12.52 | -3.18 |
250 | K | K | 4.86 | 7.52 | -2.65 |
251 | D | D | 0.15 | 4.86 | -4.71 |
252 | S | S | 0.45 | 0.59 | -0.15 |
253 | W | W | -3.44 | 4.6 | -8.05 |
254 | T | T | -2.85 | 2.15 | -5.0 |
255 | V | V | -1.79 | 4.73 | -6.52 |
256 | N | N | 2.88 | 4.67 | -1.78 |
257 | D | D | -2.42 | -1.89 | -0.53 |
258 | I | I | -3.31 | -1.22 | -2.09 |
259 | Q | Q | -0.03 | -0.52 | 0.49 |
260 | K | K | 0.06 | 14.82 | -14.76 |
261 | L | L | -1.36 | 6.96 | -8.32 |
262 | V | V | -2.04 | -3.14 | 1.11 |
263 | G | G | 0.35 | -0.2 | 0.55 |
264 | K | K | -0.75 | -1.0 | 0.25 |
265 | L | L | 4.78 | -3.01 | 7.79 |
266 | N | N | -0.84 | 3.01 | -3.85 |
267 | W | W | 0.63 | 1.31 | -0.69 |
268 | A | A | 1.55 | -2.77 | 4.32 |
269 | S | S | -0.8 | 0.8 | -1.6 |
270 | Q | Q | -0.88 | -0.79 | -0.1 |
271 | I | I | -0.69 | 1.79 | -2.48 |
272 | Y | Y | 0.22 | 0.1 | 0.12 |
273 | P | P | -0.47 | 3.36 | -3.83 |
274 | G | G | -0.94 | 3.04 | -3.98 |
275 | I | I | -2.77 | -0.92 | -1.85 |
276 | K | K | 8.19 | 0.86 | 7.33 |
277 | V | V | -0.66 | 0.24 | -0.9 |
278 | R | R | 13.22 | 3.4 | 9.82 |
279 | Q | Q | 4.58 | 0.33 | 4.25 |
280 | L | L | -3.73 | -0.16 | -3.58 |
281 | C | C | 8.47 | 1.77 | 6.7 |
282 | K | K | 9.76 | -1.77 | 11.52 |
283 | L | L | 5.02 | -1.18 | 6.2 |
284 | L | L | 6.99 | 2.18 | 4.81 |
285 | R | R | 28.33 | 18.05 | 10.29 |
286 | G | G | 3.36 | 3.06 | 0.3 |
287 | T | T | 7.15 | 9.67 | -2.52 |
288 | K | K | 10.68 | 8.54 | 2.14 |
289 | A | A | 1.7 | 5.61 | -3.92 |
290 | L | L | 14.85 | 3.54 | 11.31 |
291 | T | T | -0.28 | 3.0 | -3.28 |
292 | E | E | 7.46 | 3.03 | 4.43 |
293 | V | V | -1.31 | 8.14 | -9.45 |
294 | I | I | 2.03 | 4.72 | -2.7 |
295 | P | P | -2.4 | -3.77 | 1.37 |
296 | L | L | -0.74 | 7.49 | -8.23 |
297 | T | T | 1.9 | 0.5 | 1.4 |
298 | E | E | 2.67 | 1.02 | 1.65 |
299 | E | E | 7.68 | 1.82 | 5.87 |
300 | A | A | -0.89 | -0.12 | -0.78 |
301 | E | E | 8.14 | -0.47 | 8.61 |
302 | L | L | 23.14 | 8.73 | 14.41 |
303 | E | E | -0.52 | 3.39 | -3.91 |
304 | L | L | 6.99 | 0.3 | 6.7 |
305 | A | A | 3.62 | -0.46 | 4.08 |
306 | E | E | 1.75 | 2.02 | -0.28 |
307 | N | N | -3.5 | -1.92 | -1.58 |
308 | R | R | 5.81 | -0.26 | 6.07 |
309 | E | E | 2.58 | -1.33 | 3.91 |
310 | I | I | 3.06 | 1.51 | 1.54 |
311 | L | L | 0.37 | -2.36 | 2.73 |
312 | K | K | 6.12 | 1.45 | 4.68 |
313 | E | E | 4.59 | 3.2 | 1.39 |
314 | P | P | -2.03 | -0.33 | -1.7 |
315 | V | V | -0.25 | 0.67 | -0.92 |
316 | H | H | 1.97 | -0.22 | 2.19 |
317 | G | G | -2.41 | -2.1 | -0.31 |
318 | V | V | 1.52 | 4.53 | -3.0 |
319 | Y | Y | -2.17 | -3.92 | 1.75 |
320 | Y | Y | -2.17 | -2.64 | 0.47 |
321 | D | D | -3.51 | 1.31 | -4.82 |
322 | P | P | -2.29 | -1.47 | -0.82 |
323 | S | S | -0.02 | 1.79 | -1.81 |
324 | K | K | -0.45 | 4.17 | -4.62 |
325 | D | D | -1.45 | 0.17 | -1.62 |
326 | L | L | -4.56 | -4.85 | 0.29 |
327 | I | I | 0.78 | -0.91 | 1.69 |
328 | A | A | -2.88 | -2.59 | -0.29 |
329 | E | E | 0.93 | 0.04 | 0.89 |
330 | I | I | -3.07 | -2.86 | -0.21 |
331 | Q | Q | -0.83 | 3.51 | -4.35 |
332 | K | K | -1.69 | -2.87 | 1.18 |
333 | Q | Q | 9.9 | 5.35 | 4.55 |
334 | G | G | 2.92 | -1.22 | 4.14 |
335 | Q | Q | 6.01 | 10.88 | -4.87 |
336 | G | G | -0.72 | 0.11 | -0.82 |
337 | Q | Q | 1.2 | 2.93 | -1.74 |
338 | W | W | -5.41 | -1.05 | -4.36 |
339 | T | T | 0.46 | 1.17 | -0.71 |
340 | Y | Y | -3.71 | -1.14 | -2.56 |
341 | Q | Q | -2.34 | 4.02 | -6.36 |
342 | I | I | -2.77 | -3.88 | 1.11 |
343 | Y | Y | -5.39 | -3.06 | -2.33 |
344 | Q | Q | -1.16 | 0.97 | -2.13 |
345 | E | E | 3.92 | 0.5 | 3.42 |
346 | P | P | 5.12 | -1.89 | 7.01 |
347 | F | F | 9.35 | 3.19 | 6.15 |
348 | K | K | 7.47 | 2.64 | 4.83 |
349 | N | N | -0.12 | -1.28 | 1.16 |
350 | L | L | 0.51 | 4.09 | -3.57 |
351 | K | K | -1.1 | -2.05 | 0.95 |
352 | T | T | -3.02 | -2.56 | -0.45 |
353 | G | G | -1.2 | 0.49 | -1.69 |
354 | K | K | 1.19 | 12.95 | -11.76 |
355 | Y | Y | -1.27 | 1.95 | -3.22 |
356 | A | A | 1.47 | 2.29 | -0.82 |
357 | R | R | 7.7 | 8.69 | -0.99 |
358 | M | M | 22.35 | 4.07 | 18.28 |
359 | R | R | 7.02 | 8.52 | -1.5 |
360 | G | G | 0.4 | -0.23 | 0.63 |
361 | A | A | 0.17 | 3.73 | -3.56 |
362 | H | H | 7.07 | 6.12 | 0.95 |
363 | T | T | 6.73 | 9.12 | -2.39 |
364 | N | N | 3.81 | 6.81 | -3.0 |
365 | D | D | -3.62 | 8.41 | -12.03 |
366 | V | V | -0.46 | 2.33 | -2.79 |
367 | K | K | 11.63 | -0.22 | 11.85 |
368 | Q | Q | 0.44 | 4.71 | -4.27 |
369 | L | L | -2.54 | -0.53 | -2.01 |
370 | T | T | 0.12 | 1.87 | -1.75 |
371 | E | E | 0.07 | -1.29 | 1.36 |
372 | A | A | -3.32 | -2.25 | -1.07 |
373 | V | V | -3.03 | -3.72 | 0.69 |
374 | Q | Q | 12.76 | 2.69 | 10.07 |
375 | K | K | 3.08 | 0.29 | 2.79 |
376 | I | I | -3.54 | 0.43 | -3.96 |
377 | T | T | -0.19 | 0.88 | -1.07 |
378 | T | T | -0.27 | 3.82 | -4.1 |
379 | E | E | -2.07 | -1.63 | -0.44 |
380 | S | S | -1.15 | -2.6 | 1.46 |
381 | I | I | 0.6 | 0.23 | 0.37 |
382 | V | V | -0.64 | 1.0 | -1.64 |
383 | I | I | -1.69 | -2.87 | 1.18 |
384 | W | W | -4.17 | -2.73 | -1.44 |
385 | G | G | -1.55 | -3.95 | 2.4 |
386 | K | K | 15.53 | -0.95 | 16.48 |
387 | T | T | 1.84 | 2.05 | -0.21 |
388 | P | P | -2.6 | -2.16 | -0.45 |
389 | K | K | 0.06 | -2.6 | 2.66 |
390 | F | F | -5.15 | -5.05 | -0.09 |
391 | K | K | 5.82 | 0.43 | 5.4 |
392 | L | L | -3.92 | -3.15 | -0.78 |
393 | P | P | -2.19 | -4.32 | 2.13 |
394 | I | I | 1.49 | 0.61 | 0.88 |
395 | Q | Q | 2.8 | -0.57 | 3.37 |
396 | K | K | 4.44 | -0.67 | 5.11 |
397 | E | E | 3.41 | 1.21 | 2.2 |
398 | T | T | -0.25 | 0.61 | -0.86 |
399 | W | W | -2.14 | -0.59 | -1.55 |
400 | E | E | 14.64 | 0.13 | 14.5 |
401 | T | T | 0.6 | 3.45 | -2.85 |
402 | W | W | -1.08 | -0.71 | -0.37 |
403 | W | W | 20.22 | -1.45 | 21.68 |
404 | T | T | 2.29 | 3.88 | -1.58 |
405 | E | E | 3.36 | 2.6 | 0.75 |
406 | Y | Y | 1.85 | 2.18 | -0.33 |
407 | W | W | 10.57 | 0.66 | 9.91 |
408 | Q | Q | 4.41 | -1.05 | 5.46 |
409 | A | A | -2.32 | 0.64 | -2.96 |
410 | T | T | -0.4 | -0.17 | -0.23 |
411 | W | W | 1.8 | 0.41 | 1.39 |
412 | I | - | 3.11 | - | - |
413 | - | V | - | 1.91 | - |
414 | P | P | 0.01 | 0.17 | -0.16 |
415 | E | E | 0.3 | 0.48 | -0.18 |
416 | W | W | -0.71 | -1.01 | 0.31 |
417 | E | E | 0.11 | -1.52 | 1.63 |
418 | F | F | -0.12 | 0.43 | -0.56 |
419 | V | V | 1.78 | -0.02 | 1.8 |
420 | N | N | -0.92 | -0.54 | -0.38 |
421 | T | T | 1.96 | 1.24 | 0.72 |
422 | P | P | -2.25 | 11.67 | -13.92 |
423 | P | P | -0.08 | 21.53 | -21.61 |
424 | L | L | -3.06 | 2.03 | -5.09 |
425 | V | V | 12.81 | -1.77 | 14.58 |
426 | K | K | 0.61 | 0.63 | -0.01 |
427 | L | L | -1.08 | 3.55 | -4.63 |
428 | W | W | 5.51 | 5.57 | -0.06 |
429 | Y | Y | -2.4 | 0.41 | -2.82 |
430 | Q | Q | 4.05 | 6.76 | -2.71 |
431 | L | L | -2.16 | -1.93 | -0.23 |
432 | E | E | -0.41 | -1.6 | 1.2 |
433 | K | K | 1.9 | 0.16 | 1.75 |
434 | E | E | 3.23 | 0.87 | 2.35 |
435 | P | P | -2.63 | -4.8 | 2.18 |
436 | I | I | -2.93 | -2.57 | -0.37 |
437 | V | V | 2.14 | 4.56 | -2.42 |
438 | G | G | -0.73 | -0.9 | 0.17 |
439 | A | A | 0.39 | -1.63 | 2.02 |
440 | E | E | 1.9 | -0.39 | 2.29 |
441 | T | T | -3.18 | -2.45 | -0.73 |
442 | F | F | -2.99 | -2.05 | -0.93 |
443 | Y | Y | -2.15 | -3.94 | 1.79 |
444 | V | V | -2.48 | 14.24 | -16.72 |
445 | D | D | 3.7 | 5.17 | -1.47 |
446 | G | G | 2.24 | 1.05 | 1.19 |
447 | A | A | 4.92 | -0.8 | 5.71 |
448 | A | A | -1.36 | -2.46 | 1.1 |
449 | N | - | 5.85 | - | - |
450 | - | S | - | 1.88 | - |
451 | R | R | 6.7 | 7.14 | -0.44 |
452 | E | E | 4.07 | 4.93 | -0.86 |
453 | T | T | 17.93 | 8.71 | 9.22 |
454 | K | K | 9.37 | -0.07 | 9.44 |
455 | L | L | 25.03 | 0.43 | 24.6 |
456 | G | G | -0.29 | -1.04 | 0.75 |
457 | K | K | 0.21 | -1.35 | 1.56 |
458 | A | A | -3.72 | -3.27 | -0.45 |
459 | G | G | -3.39 | -1.79 | -1.6 |
460 | Y | Y | -3.45 | -2.66 | -0.78 |
461 | V | V | -1.15 | -3.06 | 1.91 |
462 | T | T | 1.28 | -2.58 | 3.86 |
463 | N | N | 0.43 | 0.79 | -0.36 |
464 | R | - | -2.03 | - | - |
465 | - | K | - | 3.32 | - |
466 | G | G | -0.83 | -0.35 | -0.48 |
467 | R | R | 15.84 | 3.08 | 12.76 |
468 | Q | Q | 3.47 | 0.05 | 3.42 |
469 | K | K | 1.88 | -0.32 | 2.2 |
470 | V | V | 1.17 | -1.55 | 2.72 |
471 | V | V | -0.83 | -1.25 | 0.42 |
472 | T | T | -0.47 | -0.11 | -0.36 |
473 | L | L | -1.0 | -0.69 | -0.31 |
474 | T | T | 2.12 | 1.14 | 0.98 |
475 | D | D | 15.11 | 2.63 | 12.49 |
476 | T | T | 3.1 | 0.06 | 3.03 |
477 | T | T | 2.36 | 1.84 | 0.52 |
478 | N | N | 3.82 | 3.84 | -0.02 |
479 | Q | Q | 3.93 | 2.92 | 1.01 |
480 | K | K | 2.02 | -1.12 | 3.14 |
481 | T | T | 4.22 | 0.37 | 3.86 |
482 | E | E | -0.35 | 6.31 | -6.67 |
483 | L | L | 26.33 | 0.9 | 25.43 |
484 | Q | Q | -0.59 | 6.34 | -6.93 |
485 | A | A | -4.51 | -1.01 | -3.5 |
486 | I | I | -2.98 | 1.83 | -4.8 |
487 | Y | - | -1.24 | - | - |
488 | - | H | - | 0.22 | - |
489 | L | L | 0.94 | -1.24 | 2.18 |
490 | A | A | -3.03 | -1.9 | -1.13 |
491 | L | L | -2.06 | -1.94 | -0.12 |
492 | Q | Q | 1.64 | 3.51 | -1.87 |
493 | D | D | -1.99 | 1.7 | -3.69 |
494 | S | S | 2.53 | 0.31 | 2.22 |
495 | G | G | -0.33 | -0.53 | 0.2 |
496 | L | L | 0.93 | 5.5 | -4.57 |
497 | E | E | -0.45 | 2.8 | -3.25 |
498 | V | V | -1.78 | -0.89 | -0.89 |
499 | N | N | -2.39 | -4.46 | 2.07 |
500 | I | I | -5.82 | -4.0 | -1.81 |
501 | V | V | -4.25 | -4.82 | 0.57 |
502 | T | T | -1.04 | -0.99 | -0.04 |
503 | D | D | 2.36 | 5.0 | -2.63 |
504 | S | S | 0.58 | 1.24 | -0.66 |
505 | Q | Q | 3.98 | 4.08 | -0.11 |
506 | Y | Y | -0.36 | 8.24 | -8.61 |
507 | A | A | -3.67 | -2.03 | -1.64 |
508 | L | L | 14.44 | 5.04 | 9.4 |
509 | G | G | 0.28 | 0.37 | -0.09 |
510 | I | I | 0.84 | -0.37 | 1.21 |
511 | I | I | -3.36 | 0.27 | -3.64 |
512 | Q | Q | 8.23 | 5.45 | 2.78 |
513 | A | A | -0.76 | 1.89 | -2.65 |
514 | Q | Q | 3.55 | 2.81 | 0.74 |
515 | P | P | -0.45 | 0.38 | -0.84 |
516 | D | D | 4.56 | 5.82 | -1.26 |
517 | Q | Q | 4.37 | 24.6 | -20.23 |
518 | S | S | 0.55 | 18.33 | -17.78 |
519 | E | E | 0.97 | 8.24 | -7.26 |
520 | S | S | -1.83 | 8.63 | -10.46 |
521 | E | E | 4.79 | 9.77 | -4.99 |
522 | L | L | 23.01 | 19.81 | 3.2 |
523 | V | V | -0.13 | -1.99 | 1.86 |
524 | N | N | 3.99 | 0.62 | 3.37 |
525 | Q | Q | 3.52 | 0.12 | 3.4 |
526 | I | I | -2.35 | -3.28 | 0.93 |
527 | I | I | -1.35 | -1.4 | 0.04 |
528 | E | E | 11.98 | 1.61 | 10.37 |
529 | Q | Q | 5.38 | -0.09 | 5.48 |
530 | L | L | -4.59 | -1.34 | -3.24 |
531 | I | I | 3.84 | 1.5 | 2.34 |
532 | K | K | 12.48 | 1.56 | 10.93 |
533 | K | K | 3.93 | -0.47 | 4.4 |
534 | E | E | 4.74 | 2.36 | 2.38 |
535 | K | K | 0.05 | -0.62 | 0.67 |
536 | V | V | -2.49 | -3.91 | 1.42 |
537 | Y | Y | -5.0 | -3.73 | -1.27 |
538 | L | L | 11.83 | -3.71 | 15.53 |
539 | A | A | -1.43 | -1.17 | -0.26 |
540 | W | W | -0.6 | -0.35 | -0.25 |
541 | V | V | 8.37 | -0.86 | 9.22 |
542 | P | P | 0.81 | -3.5 | 4.31 |
543 | A | A | 4.14 | 0.27 | 3.87 |
544 | H | H | 15.02 | 1.18 | 13.85 |
545 | K | K | 6.01 | 6.71 | -0.7 |
546 | G | G | 2.89 | 0.02 | 2.87 |
547 | I | I | 2.4 | -1.23 | 3.62 |
548 | G | G | 3.72 | -0.22 | 3.94 |
549 | G | G | 4.2 | -1.33 | 5.53 |
550 | N | N | 6.07 | 2.01 | 4.06 |
551 | E | E | 7.61 | -0.58 | 8.19 |
552 | Q | Q | 12.57 | 0.4 | 12.17 |
553 | V | V | 1.45 | 1.57 | -0.12 |
554 | D | D | 8.49 | 3.33 | 5.16 |
555 | K | K | 7.48 | -1.01 | 8.49 |
556 | L | L | 0.64 | -1.26 | 1.89 |
557 | V | V | 3.11 | -2.11 | 5.23 |
558 | X | - | -17.57 | - | - |
559 | X | - | -2.11 | - | - |
560 | X | - | -0.98 | - | - |
561 | X | - | 1.41 | - | - |
562 | - | S | - | 1.97 | - |
563 | - | A | - | 3.5 | - |
564 | - | G | - | 2.34 | - |
565 | - | I | - | 1.87 | - |
566 | X | X | -4.4 | 5.26 | -9.66 |
567 | E | - | 5.71 | - | - |
568 | T | T | 8.39 | 2.95 | 5.43 |
569 | V | V | 0.68 | 2.34 | -1.66 |
570 | P | P | -3.29 | -2.45 | -0.84 |
571 | V | V | -2.19 | -4.03 | 1.83 |
572 | K | K | 6.21 | -0.43 | 6.64 |
573 | L | L | -0.89 | -1.65 | 0.76 |
574 | K | K | 13.01 | 1.58 | 11.43 |
575 | P | P | 3.19 | -0.08 | 3.27 |
576 | G | G | 3.34 | 0.13 | 3.22 |
577 | M | M | 9.48 | 2.95 | 6.54 |
578 | D | D | 0.9 | 3.4 | -2.51 |
579 | G | G | -0.62 | 0.79 | -1.42 |
580 | P | P | -5.24 | 1.1 | -6.35 |
581 | K | K | -0.01 | 1.78 | -1.79 |
582 | V | V | 0.73 | 3.6 | -2.87 |
583 | K | K | 4.72 | -0.66 | 5.38 |
584 | Q | Q | -2.12 | -2.23 | 0.11 |
585 | W | W | 11.16 | 2.56 | 8.59 |
586 | P | P | -2.36 | -3.17 | 0.82 |
587 | L | L | -3.39 | -0.86 | -2.53 |
588 | T | T | -0.4 | -0.57 | 0.17 |
589 | E | E | -0.81 | 2.09 | -2.89 |
590 | E | E | 18.67 | 0.36 | 18.31 |
591 | K | K | 1.82 | -0.3 | 2.13 |
592 | I | I | -1.67 | -3.52 | 1.85 |
593 | K | K | 20.57 | 0.19 | 20.37 |
594 | A | A | -2.6 | -1.71 | -0.88 |
595 | L | L | -4.84 | -5.07 | 0.23 |
596 | V | V | 3.8 | -0.83 | 4.63 |
597 | E | E | 2.5 | 1.57 | 0.93 |
598 | I | I | 0.03 | -1.08 | 1.11 |
599 | C | C | 1.23 | -0.62 | 1.85 |
600 | T | T | 10.52 | 1.74 | 8.78 |
601 | E | E | 14.86 | 1.48 | 13.38 |
602 | M | M | -2.91 | -3.07 | 0.16 |
603 | E | E | 0.12 | -0.38 | 0.49 |
604 | K | K | 4.73 | -0.75 | 5.48 |
605 | E | E | 0.51 | 0.49 | 0.02 |
606 | G | G | -2.34 | -1.26 | -1.07 |
607 | K | K | -3.25 | -2.54 | -0.71 |
608 | I | I | -3.01 | -2.1 | -0.91 |
609 | S | S | 0.87 | -1.76 | 2.64 |
610 | K | K | 2.35 | -0.04 | 2.4 |
611 | I | I | -0.71 | 6.5 | -7.21 |
612 | G | G | 3.06 | -0.08 | 3.14 |
613 | P | P | -2.35 | -1.65 | -0.7 |
614 | E | E | 1.82 | -0.08 | 1.9 |
615 | N | N | -3.19 | -0.22 | -2.97 |
616 | P | P | -3.53 | -2.48 | -1.04 |
617 | Y | Y | -3.03 | -0.65 | -2.38 |
618 | N | N | -0.51 | 0.36 | -0.86 |
619 | T | T | -0.23 | 5.46 | -5.69 |
620 | P | P | -0.98 | -4.91 | 3.93 |
621 | V | V | 1.93 | -3.47 | 5.39 |
622 | F | F | -3.22 | -4.16 | 0.94 |
623 | A | A | -1.3 | -1.75 | 0.46 |
624 | I | I | -1.45 | -0.26 | -1.19 |
625 | K | K | 4.67 | 1.86 | 2.8 |
626 | K | K | 18.48 | 0.73 | 17.75 |
627 | S | - | 7.05 | - | - |
628 | - | K | - | 2.0 | - |
629 | - | D | - | 2.34 | - |
630 | - | G | - | 2.12 | - |
631 | T | T | 8.73 | 4.57 | 4.16 |
632 | K | K | 5.88 | 1.76 | 4.13 |
633 | W | W | -1.44 | 0.06 | -1.5 |
634 | R | R | 4.65 | 2.29 | 2.36 |
635 | K | K | 2.87 | 1.06 | 1.81 |
636 | L | L | 0.18 | -3.32 | 3.51 |
637 | V | V | 0.44 | -1.13 | 1.56 |
638 | D | D | -2.3 | -3.37 | 1.07 |
639 | F | F | -2.81 | -4.66 | 1.85 |
640 | R | R | -3.28 | -0.91 | -2.37 |
641 | E | E | 4.61 | 0.99 | 3.62 |
642 | L | L | 14.88 | -1.0 | 15.88 |
643 | N | N | 5.17 | -3.59 | 8.77 |
644 | K | K | 3.29 | 0.23 | 3.06 |
645 | R | - | 4.78 | - | - |
646 | - | K | - | 0.0 | - |
647 | T | T | 1.75 | 111.15 | -109.4 |
648 | Q | Q | 10.27 | 4.76 | 5.51 |
649 | D | D | 5.55 | 0.69 | 4.86 |
650 | F | F | 0.46 | 4.68 | -4.22 |
651 | W | W | 5.82 | 579.67 | -573.85 |
652 | E | E | 2.15 | -0.08 | 2.23 |
653 | V | V | 4.69 | 3.15 | 1.54 |
654 | Q | Q | 19.5 | 0.83 | 18.66 |
655 | L | L | 12.51 | 1.83 | 10.69 |
656 | G | G | 0.36 | 1.74 | -1.38 |
657 | I | I | 1.0 | 2.19 | -1.19 |
658 | P | P | -1.3 | -2.83 | 1.53 |
659 | H | H | 4.75 | 2.47 | 2.28 |
660 | P | P | -0.62 | 2.09 | -2.7 |
661 | A | A | 0.97 | 1.76 | -0.79 |
662 | G | G | 0.13 | 1.65 | -1.51 |
663 | L | L | -3.22 | 2.14 | -5.36 |
664 | K | K | 0.82 | 2.46 | -1.65 |
665 | K | K | 0.51 | 3.62 | -3.11 |
666 | K | K | 1.16 | 3.03 | -1.87 |
667 | K | K | 1.0 | 0.81 | 0.2 |
668 | S | S | 2.14 | -1.17 | 3.32 |
669 | V | V | -4.72 | -3.72 | -1.01 |
670 | T | T | -3.68 | 2.99 | -6.68 |
671 | V | V | -3.2 | -1.21 | -1.99 |
672 | L | L | -3.03 | -0.44 | -2.59 |
673 | D | D | -2.02 | 1.94 | -3.96 |
674 | V | V | 2.72 | 1.26 | 1.45 |
675 | G | G | -1.78 | 0.86 | -2.64 |
676 | D | D | 4.05 | 1.78 | 2.26 |
677 | A | A | -0.56 | -0.92 | 0.36 |
678 | Y | Y | 0.37 | 1.4 | -1.03 |
679 | F | F | 2.31 | 1.47 | 0.85 |
680 | S | S | -0.35 | 1.63 | -1.98 |
681 | V | V | 1.3 | 1.46 | -0.16 |
682 | P | P | 5.11 | -4.04 | 9.15 |
683 | L | L | -4.2 | 0.73 | -4.93 |
684 | D | D | -2.72 | 0.33 | -3.04 |
685 | E | E | 2.77 | 1.72 | 1.05 |
686 | D | D | -0.59 | 0.39 | -0.98 |
687 | F | F | -2.38 | 0.58 | -2.96 |
688 | R | R | 0.84 | 1.09 | -0.25 |
689 | K | K | 14.11 | -0.68 | 14.8 |
690 | Y | Y | -2.74 | -3.56 | 0.82 |
691 | T | T | -0.42 | -1.27 | 0.85 |
692 | A | A | -2.37 | -1.55 | -0.82 |
693 | F | F | -3.73 | -2.81 | -0.91 |
694 | T | T | 0.26 | 3.38 | -3.11 |
695 | I | I | -2.6 | -2.02 | -0.57 |
696 | P | P | -4.84 | -4.96 | 0.12 |
697 | S | S | -1.16 | 1.58 | -2.74 |
698 | I | I | 0.83 | 2.45 | -1.62 |
699 | N | N | -3.19 | -3.11 | -0.08 |
700 | N | N | 3.08 | -1.51 | 4.59 |
701 | E | E | -2.88 | 2.47 | -5.36 |
702 | T | T | 1.56 | 4.26 | -2.7 |
703 | P | P | -3.16 | -2.2 | -0.96 |
704 | G | G | -1.42 | -0.93 | -0.49 |
705 | I | I | -1.21 | 9.95 | -11.16 |
706 | R | R | 9.43 | -1.36 | 10.79 |
707 | Y | Y | -5.15 | -3.93 | -1.23 |
708 | Q | Q | 7.91 | -1.74 | 9.65 |
709 | Y | Y | -3.03 | -1.12 | -1.91 |
710 | N | N | -3.61 | -2.4 | -1.21 |
711 | V | V | -3.52 | -0.98 | -2.54 |
712 | L | L | -1.66 | -0.54 | -1.12 |
713 | P | P | -1.49 | 9.55 | -11.03 |
714 | Q | Q | 1.07 | 0.15 | 0.92 |
715 | G | G | -2.89 | -3.13 | 0.24 |
716 | W | W | 1.24 | 110.45 | -109.21 |
717 | K | K | 3.24 | 32.2 | -28.96 |
718 | G | G | -1.31 | 300.59 | -301.9 |
719 | S | S | 5.3 | 8.72 | -3.42 |
720 | P | P | 3.94 | 5.68 | -1.74 |
721 | A | A | -0.79 | 11.42 | -12.2 |
722 | I | I | -3.14 | -2.06 | -1.07 |
723 | F | F | 0.1 | 0.57 | -0.48 |
724 | Q | Q | 1.93 | 2.19 | -0.26 |
725 | S | S | 2.19 | 2.32 | -0.13 |
726 | S | S | 1.65 | 1.74 | -0.09 |
727 | M | M | -0.73 | 2.54 | -3.27 |
728 | T | T | 3.27 | 4.64 | -1.37 |
729 | K | K | 2.08 | -0.73 | 2.81 |
730 | I | I | -2.18 | 3.31 | -5.49 |
731 | L | L | -5.94 | -2.23 | -3.71 |
732 | E | E | 17.03 | 9.44 | 7.59 |
733 | P | P | 6.69 | 4.48 | 2.21 |
734 | F | F | -0.87 | 11.48 | -12.34 |
735 | R | R | 1.62 | 1.32 | 0.3 |
736 | K | K | 7.14 | 0.29 | 6.84 |
737 | Q | Q | 0.71 | 2.58 | -1.88 |
738 | N | N | 7.09 | 4.58 | 2.5 |
739 | P | P | -0.73 | 2.35 | -3.08 |
740 | D | D | -1.33 | 0.43 | -1.76 |
741 | I | I | -1.55 | 4.22 | -5.77 |
742 | V | V | -1.28 | 0.23 | -1.5 |
743 | I | I | -4.38 | 0.96 | -5.35 |
744 | Y | Y | -2.83 | -2.98 | 0.15 |
745 | Q | Q | -1.12 | -0.6 | -0.52 |
746 | Y | Y | -1.98 | -1.55 | -0.43 |
747 | M | M | 41.93 | 7.1 | 34.83 |
748 | D | D | 2.6 | 7.72 | -5.12 |
749 | D | D | 0.6 | 1.3 | -0.7 |
750 | L | L | 4.27 | -2.3 | 6.57 |
751 | Y | Y | -5.22 | -5.42 | 0.2 |
752 | V | V | -3.74 | -2.62 | -1.12 |
753 | G | G | 0.73 | -0.35 | 1.08 |
754 | S | S | -0.69 | -0.36 | -0.33 |
755 | D | D | -0.33 | -1.56 | 1.23 |
756 | L | L | -0.64 | 3.56 | -4.21 |
757 | E | E | 4.59 | 4.59 | 0.0 |
758 | I | I | 2.83 | 8.64 | -5.81 |
759 | G | G | 1.96 | 2.22 | -0.25 |
760 | Q | Q | 3.63 | 1.55 | 2.08 |
761 | H | H | -2.58 | 0.99 | -3.57 |
762 | R | R | -0.29 | -0.6 | 0.31 |
763 | T | T | 0.41 | 3.68 | -3.27 |
764 | K | K | 1.81 | -0.22 | 2.03 |
765 | I | I | -1.52 | -1.2 | -0.32 |
766 | E | E | -0.02 | 0.24 | -0.26 |
767 | E | E | -0.73 | -0.56 | -0.17 |
768 | L | L | 13.28 | 14.68 | -1.41 |
769 | R | R | 9.92 | 1.0 | 8.92 |
770 | Q | Q | -1.07 | -0.87 | -0.2 |
771 | H | H | 2.25 | 2.46 | -0.21 |
772 | L | L | 4.63 | -1.11 | 5.74 |
773 | L | L | 0.82 | 3.46 | -2.64 |
774 | R | R | 3.68 | 0.78 | 2.9 |
775 | W | W | 4.81 | 6.27 | -1.46 |
776 | G | G | 2.78 | -1.49 | 4.27 |
777 | L | L | 5.99 | 4.92 | 1.08 |
778 | T | T | 18.31 | 7.57 | 10.74 |
779 | - | G | - | 3.39 | - |
780 | Y | Y | 7.11 | 10.01 | -2.9 |
781 | E | E | -0.93 | 3.16 | -4.09 |
782 | L | L | 0.07 | 2.03 | -1.96 |
783 | H | H | 3.79 | 1.85 | 1.94 |
784 | P | P | 5.35 | -3.02 | 8.36 |
785 | D | D | 4.29 | 2.41 | 1.88 |
786 | K | K | 2.97 | -0.73 | 3.7 |
787 | W | W | 2.96 | 3.1 | -0.14 |
788 | T | T | 1.82 | 4.41 | -2.59 |
789 | V | V | 3.85 | 1.03 | 2.82 |
790 | Q | Q | 6.63 | 5.43 | 1.2 |
791 | P | P | -0.89 | -3.74 | 2.85 |
792 | I | I | 7.91 | -0.01 | 7.93 |
793 | V | V | 3.33 | 1.95 | 1.38 |
794 | L | L | 3.12 | -2.16 | 5.28 |
795 | P | P | 2.18 | -3.14 | 5.32 |
796 | E | E | 6.25 | 5.26 | 0.99 |
797 | K | K | 7.52 | 5.03 | 2.49 |
798 | D | D | 11.91 | 2.62 | 9.29 |
799 | S | S | 1.29 | 2.83 | -1.54 |
800 | W | W | 7.62 | -2.77 | 10.39 |
801 | T | T | -2.82 | -1.5 | -1.32 |
802 | V | V | -1.44 | -3.71 | 2.27 |
803 | N | N | 2.3 | 2.37 | -0.07 |
804 | D | D | -1.67 | -1.52 | -0.15 |
805 | I | I | 1.69 | -1.99 | 3.68 |
806 | Q | Q | -0.82 | -2.91 | 2.09 |
807 | K | K | 0.19 | 1.73 | -1.55 |
808 | L | L | 6.31 | 0.06 | 6.26 |
809 | V | V | -2.47 | -4.39 | 1.92 |
810 | G | G | -0.48 | -0.5 | 0.02 |
811 | K | K | 6.22 | 0.62 | 5.6 |
812 | L | L | -5.07 | -1.37 | -3.7 |
813 | N | N | 5.28 | 2.01 | 3.27 |
814 | W | W | 10.84 | -0.6 | 11.43 |
815 | A | A | -4.51 | -3.76 | -0.75 |
816 | S | S | 2.1 | 0.16 | 1.94 |
817 | Q | Q | 2.67 | 2.11 | 0.55 |
818 | I | I | -0.82 | -0.54 | -0.28 |
819 | Y | Y | -1.11 | 0.4 | -1.51 |
820 | P | P | -0.46 | 1.3 | -1.76 |
821 | G | G | -1.02 | 0.51 | -1.52 |
822 | I | I | 1.96 | 2.8 | -0.84 |
823 | K | K | 13.49 | 2.65 | 10.84 |
824 | V | V | 7.62 | -2.18 | 9.8 |
825 | R | R | 11.09 | 5.91 | 5.18 |
826 | Q | Q | 6.95 | -0.62 | 7.58 |
827 | L | L | 1.46 | -2.74 | 4.2 |
828 | C | C | 1.65 | 0.38 | 1.27 |
829 | K | K | 3.54 | 3.23 | 0.31 |
830 | L | L | 3.1 | -2.36 | 5.46 |
831 | L | L | 8.89 | 2.62 | 6.28 |
832 | R | R | 12.1 | 2.75 | 9.35 |
833 | G | G | -1.4 | -1.05 | -0.35 |
834 | T | T | 6.69 | 3.1 | 3.59 |
835 | K | K | 2.26 | 0.17 | 2.09 |
836 | A | A | -0.76 | -0.54 | -0.23 |
837 | L | L | -1.3 | 1.44 | -2.74 |
838 | T | T | -2.09 | 5.01 | -7.1 |
839 | E | E | -0.65 | -1.62 | 0.98 |
840 | V | V | 2.46 | -0.36 | 2.82 |
841 | I | I | 2.74 | 1.38 | 1.36 |
842 | P | P | -2.59 | -0.83 | -1.76 |
843 | L | L | 28.53 | 0.01 | 28.52 |
844 | T | T | 4.65 | 1.46 | 3.19 |
845 | E | E | 9.12 | 1.76 | 7.36 |
846 | E | E | 9.62 | 3.39 | 6.23 |
847 | A | A | -0.16 | -1.92 | 1.77 |
848 | E | E | 9.19 | 0.65 | 8.54 |
849 | L | L | 4.73 | 3.18 | 1.54 |
850 | E | E | -0.4 | -1.44 | 1.04 |
851 | L | L | 14.65 | 5.84 | 8.81 |
852 | A | A | 1.18 | -0.31 | 1.49 |
853 | E | E | 14.47 | 8.51 | 5.96 |
854 | N | N | 3.54 | -2.38 | 5.92 |
855 | R | R | 9.57 | 2.98 | 6.59 |
856 | E | E | 0.31 | -0.15 | 0.46 |
857 | I | I | 4.26 | 4.84 | -0.58 |
858 | L | L | 6.99 | -3.72 | 10.71 |
859 | K | K | 0.83 | -0.91 | 1.74 |
860 | E | E | 5.55 | 3.7 | 1.85 |
861 | P | P | 2.0 | -2.7 | 4.7 |
862 | V | V | -1.04 | 1.67 | -2.71 |
863 | H | H | 5.21 | 2.69 | 2.52 |
864 | G | G | -1.31 | -1.71 | 0.4 |
865 | V | V | -1.68 | -1.63 | -0.05 |
866 | Y | Y | 0.72 | 1.46 | -0.74 |
867 | Y | Y | -1.87 | -2.37 | 0.5 |
868 | D | D | -0.65 | 0.61 | -1.26 |
869 | P | P | -0.66 | -0.64 | -0.01 |
870 | S | S | -0.9 | 0.18 | -1.09 |
871 | K | K | 3.21 | 0.72 | 2.49 |
872 | D | D | 0.27 | 0.1 | 0.17 |
873 | L | L | -3.27 | -2.01 | -1.26 |
874 | I | I | -2.61 | 0.02 | -2.63 |
875 | A | A | -2.36 | -2.26 | -0.1 |
876 | E | E | 5.31 | -0.19 | 5.5 |
877 | I | I | -3.86 | -2.67 | -1.19 |
878 | Q | Q | 2.82 | -1.35 | 4.17 |
879 | K | K | -2.84 | -3.68 | 0.84 |
880 | Q | Q | 2.09 | 2.49 | -0.4 |
881 | G | G | 0.58 | 0.15 | 0.44 |
882 | Q | Q | 5.75 | 1.99 | 3.76 |
883 | G | G | -1.4 | -0.24 | -1.16 |
884 | Q | Q | 4.12 | 0.89 | 3.23 |
885 | W | W | -0.07 | -1.37 | 1.31 |
886 | T | T | -1.06 | 0.69 | -1.75 |
887 | Y | Y | -2.92 | -2.95 | 0.03 |
888 | Q | Q | 11.53 | -2.85 | 14.38 |
889 | I | I | -4.59 | -3.75 | -0.84 |
890 | Y | Y | -4.05 | -4.16 | 0.1 |
891 | Q | Q | -1.06 | -0.31 | -0.75 |
892 | E | E | 18.36 | 0.37 | 17.99 |
893 | P | P | -1.35 | -3.81 | 2.46 |
894 | F | F | 10.1 | -1.27 | 11.37 |
895 | K | K | 21.14 | 0.9 | 20.24 |
896 | N | N | 2.71 | -0.66 | 3.37 |
897 | L | L | -3.17 | 0.66 | -3.83 |
898 | K | K | -0.88 | 1.7 | -2.58 |
899 | T | T | -1.65 | 0.45 | -2.1 |
900 | G | G | -1.13 | -1.69 | 0.56 |
901 | K | K | 10.04 | 4.77 | 5.27 |
902 | Y | Y | 3.68 | 2.69 | 0.99 |
903 | A | A | 0.05 | 3.81 | -3.76 |
904 | R | R | 8.76 | 7.6 | 1.16 |
905 | - | M | - | 10.59 | - |
906 | - | R | - | 3.41 | - |
907 | - | G | - | 1.34 | - |
908 | - | A | - | 6.62 | - |
909 | - | H | - | 14.32 | - |
910 | T | T | 27.41 | 3.46 | 23.95 |
911 | N | N | 11.09 | -1.91 | 13.0 |
912 | D | D | -2.29 | 0.35 | -2.64 |
913 | V | V | -1.27 | -2.37 | 1.09 |
914 | K | K | 3.87 | -2.7 | 6.57 |
915 | Q | Q | 6.26 | -0.72 | 6.98 |
916 | L | L | 19.37 | -3.51 | 22.88 |
917 | T | T | 1.07 | -0.97 | 2.04 |
918 | E | E | -1.32 | 0.55 | -1.87 |
919 | A | A | -3.37 | -1.94 | -1.43 |
920 | V | V | -4.52 | -3.68 | -0.83 |
921 | Q | Q | 5.73 | -2.74 | 8.48 |
922 | K | K | 2.06 | 1.16 | 0.9 |
923 | I | I | -1.79 | -3.64 | 1.85 |
924 | T | T | -2.6 | -0.72 | -1.88 |
925 | T | T | -0.51 | 0.89 | -1.39 |
926 | E | E | -1.67 | -2.56 | 0.89 |
927 | S | S | -0.51 | -2.69 | 2.18 |
928 | I | I | -4.03 | -2.09 | -1.94 |
929 | V | V | -1.04 | -2.21 | 1.18 |
930 | I | I | -3.35 | 0.35 | -3.71 |
931 | W | W | -3.96 | 0.23 | -4.2 |
932 | G | G | -0.08 | -0.67 | 0.58 |
933 | K | K | 11.1 | 1.47 | 9.63 |
934 | T | T | 1.16 | 2.08 | -0.92 |
935 | P | P | -3.39 | -3.33 | -0.07 |
936 | K | K | 2.97 | 5.08 | -2.11 |
937 | F | F | -5.11 | -3.58 | -1.53 |
938 | K | K | -0.78 | -1.08 | 0.3 |
939 | L | L | -6.18 | -2.88 | -3.3 |
940 | P | P | -4.99 | -1.78 | -3.21 |
941 | I | I | 3.34 | -2.39 | 5.73 |
942 | Q | Q | 9.98 | -0.88 | 10.86 |
943 | K | K | 4.33 | 5.1 | -0.76 |
944 | E | E | 8.1 | 2.39 | 5.71 |
945 | T | T | -0.28 | 1.42 | -1.7 |
946 | W | W | -1.68 | -3.64 | 1.96 |
947 | E | E | -0.18 | -0.48 | 0.3 |
948 | T | T | 1.1 | 2.79 | -1.69 |
949 | W | W | 0.16 | -0.41 | 0.57 |
950 | W | W | -3.79 | -1.23 | -2.57 |
951 | T | T | -0.82 | -1.01 | 0.2 |
952 | E | E | 0.65 | -0.53 | 1.18 |
953 | Y | Y | -0.41 | -2.3 | 1.89 |
954 | W | W | -2.29 | -1.56 | -0.73 |
955 | Q | Q | 7.72 | 2.47 | 5.24 |
956 | A | A | 0.46 | -0.87 | 1.32 |
957 | T | T | 9.47 | 6.85 | 2.61 |
958 | W | W | 2.95 | 0.92 | 2.02 |
959 | I | - | -2.28 | - | - |
960 | - | V | - | 13.47 | - |
961 | P | P | -6.47 | -3.29 | -3.18 |
962 | E | E | -0.8 | 3.2 | -4.0 |
963 | W | W | 0.87 | 2.16 | -1.28 |
964 | E | E | -0.41 | -1.43 | 1.02 |
965 | F | F | -0.84 | -1.15 | 0.31 |
966 | V | V | 2.42 | 2.45 | -0.03 |
967 | N | N | 4.24 | 7.72 | -3.49 |
968 | T | T | 1.7 | 2.23 | -0.54 |
969 | P | P | 19.81 | -1.04 | 20.85 |
970 | P | P | 16.07 | 0.37 | 15.71 |
971 | L | L | 16.5 | -1.31 | 17.81 |
972 | V | V | 4.19 | 0.12 | 4.07 |
973 | K | K | 5.65 | 4.8 | 0.85 |
974 | L | L | 15.45 | 1.66 | 13.79 |
975 | W | W | -2.68 | -1.79 | -0.88 |
976 | Y | Y | 2.52 | -0.59 | 3.11 |
977 | Q | Q | 9.86 | 3.63 | 6.23 |
978 | L | L | 3.36 | 1.78 | 1.58 |
979 | - | E | - | 1.69 | - |
980 | - | K | - | 2.03 | - |
981 | X | X | -3.03 | 1.6 | -4.62 |
982 | - | X | - | 0.02 | - |
983 | - | X | - | 0.31 | - |
984 | - | X | - | 2.56 | - |
985 | - | X | - | -1.09 | - |
986 | - | X | - | 5.26 | - |
987 | - | X | - | -0.34 | - |
988 | - | X | - | 1.28 | - |
989 | - | X | - | 0.13 | - |
990 | - | X | - | 4.61 | - |
991 | - | X | - | 1.58 | - |
992 | - | X | - | -1.87 | - |
993 | - | X | - | 0.0 | - |
994 | - | X | - | 0.36 | - |
995 | - | X | - | -1.42 | - |
996 | - | X | - | 0.15 | - |
997 | - | X | - | 13.89 | - |
998 | - | X | - | 2.88 | - |
999 | - | X | - | 0.08 | - |
1000 | - | X | - | 2.04 | - |
1001 | - | X | - | -0.62 | - |
1002 | - | X | - | -1.0 | - |
1003 | - | X | - | -0.12 | - |
1004 | - | X | - | 6.42 | - |
1005 | - | X | - | 2.46 | - |
1006 | - | X | - | 5.49 | - |
1007 | - | X | - | 5.87 | - |
1008 | - | X | - | 1.21 | - |
1009 | - | X | - | 4.11 | - |
1010 | - | X | - | 14.74 | - |
1011 | - | X | - | 1.09 | - |
1012 | - | X | - | 4.58 | - |
1013 | - | X | - | 2.97 | - |
1014 | - | X | - | 7.55 | - |
1015 | - | X | - | 3.23 | - |
1016 | - | X | - | 3.01 | - |
1017 | - | X | - | 1.27 | - |
1018 | - | X | - | 3.34 | - |
1019 | - | X | - | 5.81 | - |
1020 | - | X | - | 2.63 | - |
1021 | - | X | - | 3.4 | - |
1022 | - | X | - | 0.94 | - |
1023 | - | X | - | 0.1 | - |
1024 | - | X | - | 2.91 | - |
1025 | - | X | - | 2.72 | - |
1026 | - | X | - | 2.07 | - |
1027 | - | X | - | 3.4 | - |
1028 | - | X | - | -2.02 | - |