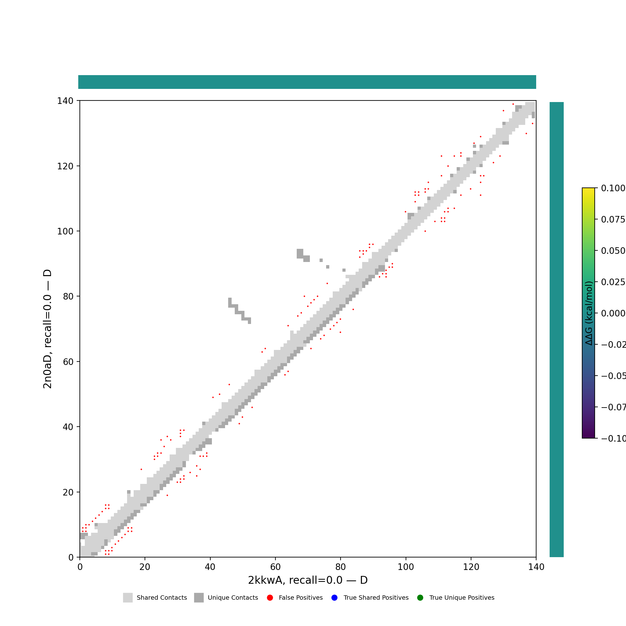
Analysis of pair 2kkwA_2n0aD
2kkwA vs 2n0aD
Missing: Fold1 vs best AF2
Missing: Fold2 vs best AF2
Missing: Fold1 vs best AF3
Missing: Fold2 vs best AF3
Missing: Fold1 vs best ESM2
Missing: Fold2 vs best ESM2
Missing: Fold1 vs best ESM3
Missing: Fold2 vs best ESM3
[missing] 2kkwA vs. 2n0aD (unaligned) — interactive
[missing] 2kkwA vs. 2n0aD (aligned) — interactive
Per-cluster contact maps
Cluster metrics table
cluster | n | neff | AF2_TM1 | AF2_TM2 | AF3_TM1 | AF3_TM2 | RE-MSAT-COM | RE-MSAT1 | RE-MSAT2 | ESM_SEQIDS | ESM_TM1_LIST | ESM_TM2_LIST |
---|
Deep | - | - | 0.36 | 0.18 | 0.31 | 0.18 | 0.0 | 0.0 | 0.0 | - | - | - |
000 | - | - | 0.33 | 0.21 | 0.28 | 0.19 | 0.0 | 0.0 | 0.0 | 009; 004; 009; 004; 001; 007; 007; 003; 010; 010 | 0.30; 0.29; 0.29; 0.26; 0.25; 0.25; 0.25; 0.24; 0.24; 0.24 | 0.17; 0.23; 0.16; 0.22; 0.21; 0.27; 0.26; 0.20; 0.15; 0.14 |
001 | - | - | 0.35 | 0.25 | 0.33 | 0.2 | 0.0 | 0.0 | 0.0 | 010; 010; 002; 004; 005; 005; 002; 004; 003; 003 | 0.31; 0.31; 0.30; 0.30; 0.30; 0.30; 0.30; 0.29; 0.28; 0.28 | 0.16; 0.18; 0.15; 0.19; 0.16; 0.16; 0.15; 0.18; 0.17; 0.17 |
002 | - | - | 0.32 | 0.22 | 0.31 | 0.22 | 0.0 | 0.0 | 0.0 | 002; 005; 002; 005; 003; 003; 001; 001; 004; 010 | 0.26; 0.26; 0.26; 0.26; 0.25; 0.25; 0.24; 0.23; 0.23; 0.23 | 0.19; 0.17; 0.19; 0.17; 0.17; 0.16; 0.16; 0.16; 0.17; 0.15 |
Aligned per-residue ΔΔG
aln_pos | aa1 | aa2 | E1 | E2 | dEdiff |
---|
1 | M | - | 63387.42 | - | - |
2 | D | - | 62275.3 | - | - |
3 | V | - | 83803.93 | - | - |
4 | F | - | 87531.47 | - | - |
5 | M | - | 87814.98 | - | - |
6 | K | - | 89757.88 | - | - |
7 | G | - | 55343.67 | - | - |
8 | L | - | 84516.44 | - | - |
9 | S | - | 70369.53 | - | - |
10 | K | - | 92827.23 | - | - |
11 | A | - | 64365.25 | - | - |
12 | K | - | 89344.66 | - | - |
13 | E | - | 84450.63 | - | - |
14 | G | - | 50473.84 | - | - |
15 | V | - | 87222.99 | - | - |
16 | V | - | 90842.07 | - | - |
17 | A | - | 64212.2 | - | - |
18 | A | - | 60139.43 | - | - |
19 | A | - | 61700.73 | - | - |
20 | E | - | 90872.31 | - | - |
21 | K | - | 86916.66 | - | - |
22 | T | - | 77390.13 | - | - |
23 | K | - | 99406.79 | - | - |
24 | Q | - | 84070.75 | - | - |
25 | G | - | 50984.12 | - | - |
26 | V | - | 84645.04 | - | - |
27 | A | - | 63835.91 | - | - |
28 | E | - | 79407.26 | - | - |
29 | A | - | 61512.18 | - | - |
30 | A | - | 57225.0 | - | - |
31 | G | - | 42320.15 | - | - |
32 | K | - | 63292.95 | - | - |
33 | T | - | 62413.51 | - | - |
34 | K | - | 56328.67 | - | - |
35 | E | - | 19656.12 | - | - |
36 | G | - | 12890.88 | - | - |
37 | V | - | 31272.32 | - | - |
38 | L | - | 23158.61 | - | - |
39 | Y | - | 6305.05 | - | - |
40 | V | - | 11998.82 | - | - |
41 | G | - | 4673.9 | - | - |
42 | S | - | 13315.85 | - | - |
43 | K | - | 16700.47 | - | - |
44 | T | - | 12931.55 | - | - |
45 | K | - | 20943.79 | - | - |
46 | E | - | 7992.41 | - | - |
47 | G | - | 10226.56 | - | - |
48 | V | - | 15108.35 | - | - |
49 | V | - | 14470.65 | - | - |
50 | H | - | 9668.35 | - | - |
51 | G | - | 10072.55 | - | - |
52 | V | - | 15957.78 | - | - |
53 | A | - | 4551.84 | - | - |
54 | T | - | 10674.4 | - | - |
55 | V | - | 19142.16 | - | - |
56 | A | - | 8555.83 | - | - |
57 | E | - | 8409.51 | - | - |
58 | K | - | 15974.9 | - | - |
59 | T | - | 15393.35 | - | - |
60 | K | - | 10710.37 | - | - |
61 | E | - | 6746.82 | - | - |
62 | Q | - | 21527.64 | - | - |
63 | V | - | 15396.44 | - | - |
64 | T | - | 5125.8 | - | - |
65 | N | - | 11663.12 | - | - |
66 | V | - | 15239.64 | - | - |
67 | G | - | 6247.06 | - | - |
68 | G | - | 6113.73 | - | - |
69 | A | - | 14967.27 | - | - |
70 | V | - | 13221.32 | - | - |
71 | V | - | 9788.22 | - | - |
72 | T | - | 14058.34 | - | - |
73 | G | - | 9337.69 | - | - |
74 | V | - | 10877.8 | - | - |
75 | T | - | 8362.24 | - | - |
76 | A | - | 11927.71 | - | - |
77 | V | - | 13377.96 | - | - |
78 | A | - | 8046.76 | - | - |
79 | Q | - | 11632.94 | - | - |
80 | K | - | 26623.25 | - | - |
81 | T | - | 10273.74 | - | - |
82 | V | - | 11363.6 | - | - |
83 | E | - | 10319.54 | - | - |
84 | G | - | 9889.25 | - | - |
85 | A | - | 9690.69 | - | - |
86 | G | - | 6552.91 | - | - |
87 | S | - | 7642.49 | - | - |
88 | I | - | 20847.37 | - | - |
89 | A | - | 11443.82 | - | - |
90 | A | - | 7058.4 | - | - |
91 | A | - | 8385.76 | - | - |
92 | T | - | 17208.43 | - | - |
93 | G | - | 4341.7 | - | - |
94 | F | - | 12965.21 | - | - |
95 | V | - | 5732.83 | - | - |
96 | K | - | 1439.07 | - | - |
97 | K | - | 551.12 | - | - |
98 | D | - | 1069.32 | - | - |
99 | Q | - | 870.94 | - | - |
100 | L | - | 14.77 | - | - |
101 | G | - | 711.79 | - | - |
102 | K | - | 467.05 | - | - |
103 | N | - | 68.04 | - | - |
104 | E | - | 1863.16 | - | - |
105 | E | - | 0.83 | - | - |
106 | G | - | 0.31 | - | - |
107 | A | - | 55.47 | - | - |
108 | P | - | 293.87 | - | - |
109 | Q | - | 118.13 | - | - |
110 | E | - | 907.06 | - | - |
111 | G | - | 9.36 | - | - |
112 | I | - | 817.56 | - | - |
113 | L | - | 191.2 | - | - |
114 | E | - | 526.28 | - | - |
115 | D | - | 650.21 | - | - |
116 | M | - | 433.21 | - | - |
117 | P | - | 120.06 | - | - |
118 | V | - | 773.1 | - | - |
119 | D | - | 926.89 | - | - |
120 | P | - | 422.24 | - | - |
121 | D | - | 1153.55 | - | - |
122 | N | - | 6.67 | - | - |
123 | E | - | 33.43 | - | - |
124 | A | - | 136.21 | - | - |
125 | Y | - | 1244.81 | - | - |
126 | E | - | 404.27 | - | - |
127 | M | - | 277.75 | - | - |
128 | P | - | 138.99 | - | - |
129 | S | - | 1322.42 | - | - |
130 | E | - | 616.92 | - | - |
131 | E | - | 657.43 | - | - |
132 | G | - | 137.62 | - | - |
133 | Y | - | 1.98 | - | - |
134 | Q | - | 1.7 | - | - |
135 | D | - | 1.57 | - | - |
136 | Y | - | 1.74 | - | - |
137 | E | - | 5.84 | - | - |
138 | P | - | -1.2 | - | - |
139 | E | - | 0.47 | - | - |
140 | A | - | 1.65 | - | - |
141 | M | - | 53627.76 | - | - |
142 | D | - | 68594.03 | - | - |
143 | V | - | 84737.26 | - | - |
144 | F | - | 80112.63 | - | - |
145 | M | - | 78741.93 | - | - |
146 | K | - | 94952.53 | - | - |
147 | G | - | 53871.46 | - | - |
148 | L | - | 90866.12 | - | - |
149 | S | - | 72766.94 | - | - |
150 | K | - | 79417.51 | - | - |
151 | A | - | 66505.53 | - | - |
152 | K | - | 94837.03 | - | - |
153 | E | - | 82736.86 | - | - |
154 | G | - | 49094.85 | - | - |
155 | V | - | 91612.6 | - | - |
156 | V | - | 87432.07 | - | - |
157 | A | - | 57819.21 | - | - |
158 | A | - | 62772.27 | - | - |
159 | A | - | 66780.95 | - | - |
160 | E | - | 74058.79 | - | - |
161 | K | - | 81366.85 | - | - |
162 | T | - | 84047.99 | - | - |
163 | K | - | 92447.97 | - | - |
164 | Q | - | 85415.79 | - | - |
165 | G | - | 53855.77 | - | - |
166 | V | - | 89401.11 | - | - |
167 | A | - | 63687.27 | - | - |
168 | E | - | 88062.87 | - | - |
169 | A | - | 63014.57 | - | - |
170 | A | - | 51292.46 | - | - |
171 | G | - | 43426.04 | - | - |
172 | K | - | 76873.56 | - | - |
173 | T | - | 49757.06 | - | - |
174 | K | - | 42986.42 | - | - |
175 | E | - | 49487.21 | - | - |
176 | G | - | 26915.94 | - | - |
177 | V | - | 39904.51 | - | - |
178 | L | - | 30324.7 | - | - |
179 | Y | - | 25074.85 | - | - |
180 | V | - | 9290.08 | - | - |
181 | G | - | 1923.81 | - | - |
182 | S | - | 1933.39 | - | - |
183 | K | - | 16477.2 | - | - |
184 | T | - | 10372.14 | - | - |
185 | K | - | 7972.03 | - | - |
186 | E | - | 5648.22 | - | - |
187 | G | - | 8336.9 | - | - |
188 | V | - | 10890.64 | - | - |
189 | V | - | 5435.5 | - | - |
190 | H | - | 11834.12 | - | - |
191 | G | - | 10077.26 | - | - |
192 | V | - | 9202.74 | - | - |
193 | A | - | 3186.73 | - | - |
194 | T | - | 14814.23 | - | - |
195 | V | - | 12287.76 | - | - |
196 | A | - | 4380.41 | - | - |
197 | E | - | 10038.8 | - | - |
198 | K | - | 23393.73 | - | - |
199 | T | - | 8176.41 | - | - |
200 | K | - | 7158.92 | - | - |
201 | E | - | 9858.08 | - | - |
202 | Q | - | 16483.99 | - | - |
203 | V | - | 6712.85 | - | - |
204 | T | - | 3846.05 | - | - |
205 | N | - | 14393.21 | - | - |
206 | V | - | 9967.08 | - | - |
207 | G | - | 2044.49 | - | - |
208 | G | - | 3238.15 | - | - |
209 | A | - | 11583.69 | - | - |
210 | V | - | 5709.85 | - | - |
211 | V | - | 4023.72 | - | - |
212 | T | - | 10966.86 | - | - |
213 | G | - | 9030.74 | - | - |
214 | V | - | 5000.59 | - | - |
215 | T | - | 3775.78 | - | - |
216 | A | - | 10153.41 | - | - |
217 | V | - | 9090.33 | - | - |
218 | A | - | 2928.38 | - | - |
219 | Q | - | 6381.72 | - | - |
220 | K | - | 23604.22 | - | - |
221 | T | - | 6032.12 | - | - |
222 | V | - | 4792.28 | - | - |
223 | E | - | 7922.61 | - | - |
224 | G | - | 8643.19 | - | - |
225 | A | - | 3782.3 | - | - |
226 | G | - | 1236.5 | - | - |
227 | S | - | 8642.32 | - | - |
228 | I | - | 11615.34 | - | - |
229 | A | - | 3197.73 | - | - |
230 | A | - | 3311.3 | - | - |
231 | A | - | 10459.98 | - | - |
232 | T | - | 9207.28 | - | - |
233 | G | - | 4887.44 | - | - |
234 | F | - | 5144.79 | - | - |
235 | V | - | 73.75 | - | - |
236 | K | - | 1799.6 | - | - |
237 | K | - | 1.28 | - | - |
238 | D | - | 1.01 | - | - |
239 | Q | - | 777.48 | - | - |
240 | L | - | 3.14 | - | - |
241 | G | - | 474.58 | - | - |
242 | K | - | 1591.57 | - | - |
243 | N | - | 1813.19 | - | - |
244 | E | - | 87.6 | - | - |
245 | E | - | 1362.42 | - | - |
246 | G | - | 1.03 | - | - |
247 | A | - | 3.22 | - | - |
248 | P | - | 1.37 | - | - |
249 | Q | - | 2.62 | - | - |
250 | E | - | 73.15 | - | - |
251 | G | - | 1034.5 | - | - |
252 | I | - | 3536.47 | - | - |
253 | L | - | 2324.46 | - | - |
254 | E | - | 2502.24 | - | - |
255 | D | - | 663.53 | - | - |
256 | M | - | 279.39 | - | - |
257 | P | - | 1233.31 | - | - |
258 | V | - | 2058.13 | - | - |
259 | D | - | 271.5 | - | - |
260 | P | - | 2.79 | - | - |
261 | D | - | 1.76 | - | - |
262 | N | - | 1.94 | - | - |
263 | E | - | 1.58 | - | - |
264 | A | - | 0.29 | - | - |
265 | Y | - | 1.85 | - | - |
266 | E | - | 0.04 | - | - |
267 | M | - | 18.21 | - | - |
268 | P | - | 4.89 | - | - |
269 | S | - | 0.97 | - | - |
270 | E | - | 42.5 | - | - |
271 | E | - | 2.72 | - | - |
272 | G | - | 1.78 | - | - |
273 | Y | - | 2.78 | - | - |
274 | Q | - | 3.23 | - | - |
275 | D | - | 0.51 | - | - |
276 | Y | - | 3.89 | - | - |
277 | E | - | 9.45 | - | - |
278 | P | - | -2.02 | - | - |
279 | E | - | 1.47 | - | - |
280 | A | - | 3.15 | - | - |
281 | M | - | 61445.79 | - | - |
282 | D | - | 72348.31 | - | - |
283 | V | - | 84567.29 | - | - |
284 | F | - | 91076.09 | - | - |
285 | M | - | 82524.19 | - | - |
286 | K | - | 83679.63 | - | - |
287 | G | - | 56229.85 | - | - |
288 | L | - | 91871.42 | - | - |
289 | S | - | 72728.63 | - | - |
290 | K | - | 105276.21 | - | - |
291 | A | - | 66356.03 | - | - |
292 | K | - | 96711.34 | - | - |
293 | E | - | 88336.38 | - | - |
294 | G | - | 50442.33 | - | - |
295 | V | - | 87883.84 | - | - |
296 | V | - | 91227.23 | - | - |
297 | A | - | 64529.2 | - | - |
298 | A | - | 58233.98 | - | - |
299 | A | - | 58845.93 | - | - |
300 | E | - | 91849.72 | - | - |
301 | K | - | 82541.11 | - | - |
302 | T | - | 74993.12 | - | - |
303 | K | - | 99736.62 | - | - |
304 | Q | - | 83767.9 | - | - |
305 | G | - | 52147.22 | - | - |
306 | V | - | 86743.25 | - | - |
307 | A | - | 64071.49 | - | - |
308 | E | - | 83946.84 | - | - |
309 | A | - | 65168.97 | - | - |
310 | A | - | 54656.18 | - | - |
311 | G | - | 31091.61 | - | - |
312 | K | - | 82012.14 | - | - |
313 | T | - | 53137.98 | - | - |
314 | K | - | 48026.39 | - | - |
315 | E | - | 53833.73 | - | - |
316 | G | - | 17390.44 | - | - |
317 | V | - | 7930.7 | - | - |
318 | L | - | 3522.1 | - | - |
319 | Y | - | 14091.73 | - | - |
320 | V | - | 12655.79 | - | - |
321 | G | - | 4835.14 | - | - |
322 | S | - | 9034.42 | - | - |
323 | K | - | 17208.9 | - | - |
324 | T | - | 6605.03 | - | - |
325 | K | - | 12435.69 | - | - |
326 | E | - | 11518.88 | - | - |
327 | G | - | 9746.22 | - | - |
328 | V | - | 8736.24 | - | - |
329 | V | - | 16055.65 | - | - |
330 | H | - | 15950.22 | - | - |
331 | G | - | 8274.53 | - | - |
332 | V | - | 13368.05 | - | - |
333 | A | - | 11782.47 | - | - |
334 | T | - | 10812.77 | - | - |
335 | V | - | 12116.68 | - | - |
336 | A | - | 14068.37 | - | - |
337 | E | - | 11618.64 | - | - |
338 | K | - | 12321.63 | - | - |
339 | T | - | 10502.41 | - | - |
340 | K | - | 16703.76 | - | - |
341 | E | - | 6886.19 | - | - |
342 | Q | - | 8576.82 | - | - |
343 | V | - | 14132.27 | - | - |
344 | T | - | 10666.9 | - | - |
345 | N | - | 3904.71 | - | - |
346 | V | - | 5234.51 | - | - |
347 | G | - | 10432.51 | - | - |
348 | G | - | 6309.6 | - | - |
349 | A | - | 3052.57 | - | - |
350 | V | - | 6782.45 | - | - |
351 | V | - | 18807.4 | - | - |
352 | T | - | 6409.15 | - | - |
353 | G | - | 3682.04 | - | - |
354 | V | - | 13125.23 | - | - |
355 | T | - | 15533.66 | - | - |
356 | A | - | 6538.0 | - | - |
357 | V | - | 5590.78 | - | - |
358 | A | - | 12739.9 | - | - |
359 | Q | - | 15400.34 | - | - |
360 | K | - | 7823.81 | - | - |
361 | T | - | 7603.62 | - | - |
362 | V | - | 16971.22 | - | - |
363 | E | - | 4770.64 | - | - |
364 | G | - | 5923.93 | - | - |
365 | A | - | 10662.58 | - | - |
366 | G | - | 8528.76 | - | - |
367 | S | - | 5020.23 | - | - |
368 | I | - | 9425.89 | - | - |
369 | A | - | 12092.27 | - | - |
370 | A | - | 5767.93 | - | - |
371 | A | - | 1180.98 | - | - |
372 | T | - | 3463.54 | - | - |
373 | G | - | 4587.55 | - | - |
374 | F | - | 15106.21 | - | - |
375 | V | - | 7747.28 | - | - |
376 | K | - | 1942.16 | - | - |
377 | K | - | 638.97 | - | - |
378 | D | - | 1044.69 | - | - |
379 | Q | - | 2523.65 | - | - |
380 | L | - | 766.09 | - | - |
381 | G | - | 502.23 | - | - |
382 | K | - | 215.34 | - | - |
383 | N | - | 708.13 | - | - |
384 | E | - | 812.84 | - | - |
385 | E | - | 1605.53 | - | - |
386 | G | - | 761.03 | - | - |
387 | A | - | 913.83 | - | - |
388 | P | - | 227.99 | - | - |
389 | Q | - | 1183.91 | - | - |
390 | E | - | 1870.44 | - | - |
391 | G | - | 17.85 | - | - |
392 | I | - | 4.14 | - | - |
393 | L | - | 141.11 | - | - |
394 | E | - | 1847.04 | - | - |
395 | D | - | 86.29 | - | - |
396 | M | - | 2074.26 | - | - |
397 | P | - | 1925.23 | - | - |
398 | V | - | 430.9 | - | - |
399 | D | - | 185.37 | - | - |
400 | P | - | 1786.08 | - | - |
401 | D | - | 867.88 | - | - |
402 | N | - | 357.89 | - | - |
403 | E | - | 1170.0 | - | - |
404 | A | - | 998.15 | - | - |
405 | Y | - | 565.48 | - | - |
406 | E | - | 3.46 | - | - |
407 | M | - | 8.3 | - | - |
408 | P | - | 0.93 | - | - |
409 | S | - | 0.38 | - | - |
410 | E | - | 1.54 | - | - |
411 | E | - | 3.21 | - | - |
412 | G | - | 2.66 | - | - |
413 | Y | - | 7.3 | - | - |
414 | Q | - | 4.65 | - | - |
415 | D | - | 0.71 | - | - |
416 | Y | - | 2.54 | - | - |
417 | E | - | 6.32 | - | - |
418 | P | - | -1.43 | - | - |
419 | E | - | 0.13 | - | - |
420 | A | - | 1.02 | - | - |
421 | M | - | 65283.37 | - | - |
422 | D | - | 73364.86 | - | - |
423 | V | - | 81358.94 | - | - |
424 | F | - | 90130.54 | - | - |
425 | M | - | 90091.71 | - | - |
426 | K | - | 89391.68 | - | - |
427 | G | - | 54012.88 | - | - |
428 | L | - | 88673.53 | - | - |
429 | S | - | 74602.76 | - | - |
430 | K | - | 104732.85 | - | - |
431 | A | - | 66484.53 | - | - |
432 | K | - | 93441.03 | - | - |
433 | E | - | 83522.69 | - | - |
434 | G | - | 52154.86 | - | - |
435 | V | - | 92375.21 | - | - |
436 | V | - | 90736.39 | - | - |
437 | A | - | 61398.6 | - | - |
438 | A | - | 65154.38 | - | - |
439 | A | - | 66792.26 | - | - |
440 | E | - | 86119.92 | - | - |
441 | K | - | 81113.0 | - | - |
442 | T | - | 85118.08 | - | - |
443 | K | - | 97984.81 | - | - |
444 | Q | - | 91497.69 | - | - |
445 | G | - | 53881.22 | - | - |
446 | V | - | 90416.56 | - | - |
447 | A | - | 65635.87 | - | - |
448 | E | - | 90011.54 | - | - |
449 | A | - | 61589.14 | - | - |
450 | A | - | 54767.63 | - | - |
451 | G | - | 48244.19 | - | - |
452 | K | - | 83456.72 | - | - |
453 | T | - | 47403.46 | - | - |
454 | K | - | 19696.55 | - | - |
455 | E | - | 6367.61 | - | - |
456 | G | - | 6778.22 | - | - |
457 | V | - | 49075.97 | - | - |
458 | L | - | 28408.58 | - | - |
459 | Y | - | 11075.46 | - | - |
460 | V | - | 9449.43 | - | - |
461 | G | - | 1381.24 | - | - |
462 | S | - | 4929.67 | - | - |
463 | K | - | 20167.94 | - | - |
464 | T | - | 5004.51 | - | - |
465 | K | - | 3990.31 | - | - |
466 | E | - | 9907.21 | - | - |
467 | G | - | 6155.21 | - | - |
468 | V | - | 1351.97 | - | - |
469 | V | - | 4500.82 | - | - |
470 | H | - | 17693.32 | - | - |
471 | G | - | 2580.74 | - | - |
472 | V | - | 1483.46 | - | - |
473 | A | - | 4160.35 | - | - |
474 | T | - | 13222.77 | - | - |
475 | V | - | 2546.63 | - | - |
476 | A | - | 2784.0 | - | - |
477 | E | - | 13247.45 | - | - |
478 | K | - | 13122.84 | - | - |
479 | T | - | 3113.77 | - | - |
480 | K | - | 7559.95 | - | - |
481 | E | - | 17769.67 | - | - |
482 | Q | - | 9655.16 | - | - |
483 | V | - | 3978.07 | - | - |
484 | T | - | 8136.97 | - | - |
485 | N | - | 21051.08 | - | - |
486 | V | - | 6870.24 | - | - |
487 | G | - | 5203.13 | - | - |
488 | G | - | 8485.67 | - | - |
489 | A | - | 10598.37 | - | - |
490 | V | - | 5574.06 | - | - |
491 | V | - | 9570.92 | - | - |
492 | T | - | 15994.22 | - | - |
493 | G | - | 6166.34 | - | - |
494 | V | - | 4325.22 | - | - |
495 | T | - | 9639.18 | - | - |
496 | A | - | 14703.76 | - | - |
497 | V | - | 6255.62 | - | - |
498 | A | - | 4585.06 | - | - |
499 | Q | - | 13054.51 | - | - |
500 | K | - | 27176.41 | - | - |
501 | T | - | 5445.95 | - | - |
502 | V | - | 5772.22 | - | - |
503 | E | - | 11132.93 | - | - |
504 | G | - | 9023.1 | - | - |
505 | A | - | 8809.65 | - | - |
506 | G | - | 7026.45 | - | - |
507 | S | - | 12308.89 | - | - |
508 | I | - | 17182.24 | - | - |
509 | A | - | 7730.54 | - | - |
510 | A | - | 4976.96 | - | - |
511 | A | - | 6220.16 | - | - |
512 | T | - | 8581.98 | - | - |
513 | G | - | 2474.19 | - | - |
514 | F | - | 6085.45 | - | - |
515 | V | - | 4180.52 | - | - |
516 | K | - | 458.21 | - | - |
517 | K | - | 1308.84 | - | - |
518 | D | - | 1126.86 | - | - |
519 | Q | - | 1910.69 | - | - |
520 | L | - | 1561.13 | - | - |
521 | G | - | 11.43 | - | - |
522 | K | - | 491.84 | - | - |
523 | N | - | 537.9 | - | - |
524 | E | - | 3087.66 | - | - |
525 | E | - | 3051.41 | - | - |
526 | G | - | 884.37 | - | - |
527 | A | - | 829.85 | - | - |
528 | P | - | 746.74 | - | - |
529 | Q | - | 1521.48 | - | - |
530 | E | - | 3555.66 | - | - |
531 | G | - | 2101.09 | - | - |
532 | I | - | 2004.23 | - | - |
533 | L | - | 2245.39 | - | - |
534 | E | - | 2670.73 | - | - |
535 | D | - | 352.53 | - | - |
536 | M | - | 307.41 | - | - |
537 | P | - | -2.25 | - | - |
538 | V | - | 3.54 | - | - |
539 | D | - | 4.36 | - | - |
540 | P | - | -0.54 | - | - |
541 | D | - | 2.41 | - | - |
542 | N | - | 2.16 | - | - |
543 | E | - | 2.92 | - | - |
544 | A | - | 1.9 | - | - |
545 | Y | - | 842.49 | - | - |
546 | E | - | 5.11 | - | - |
547 | M | - | 4.37 | - | - |
548 | P | - | 7.61 | - | - |
549 | S | - | 40.9 | - | - |
550 | E | - | 11601.17 | - | - |
551 | E | - | 19923.81 | - | - |
552 | G | - | 3612.85 | - | - |
553 | Y | - | 2805.7 | - | - |
554 | Q | - | 2662.92 | - | - |
555 | D | - | 4941.04 | - | - |
556 | Y | - | 22279.15 | - | - |
557 | E | - | 6688.0 | - | - |
558 | P | - | 3506.06 | - | - |
559 | E | - | 1120.26 | - | - |
560 | A | - | 1681.13 | - | - |
561 | M | - | 44881.65 | - | - |
562 | D | - | 80206.05 | - | - |
563 | V | - | 67249.31 | - | - |
564 | F | - | 72881.95 | - | - |
565 | M | - | 84218.59 | - | - |
566 | K | - | 95886.57 | - | - |
567 | G | - | 50374.19 | - | - |
568 | L | - | 84071.46 | - | - |
569 | S | - | 71420.68 | - | - |
570 | K | - | 101762.21 | - | - |
571 | A | - | 66759.21 | - | - |
572 | K | - | 92380.43 | - | - |
573 | E | - | 86004.89 | - | - |
574 | G | - | 53522.62 | - | - |
575 | V | - | 91294.69 | - | - |
576 | V | - | 79007.88 | - | - |
577 | A | - | 56526.59 | - | - |
578 | A | - | 66302.85 | - | - |
579 | A | - | 55804.66 | - | - |
580 | E | - | 58885.7 | - | - |
581 | K | - | 83749.11 | - | - |
582 | T | - | 78381.31 | - | - |
583 | K | - | 75351.85 | - | - |
584 | Q | - | 83592.29 | - | - |
585 | G | - | 56128.94 | - | - |
586 | V | - | 82219.82 | - | - |
587 | A | - | 65842.33 | - | - |
588 | E | - | 77552.09 | - | - |
589 | A | - | 54131.52 | - | - |
590 | A | - | 60957.4 | - | - |
591 | G | - | 39225.14 | - | - |
592 | K | - | 58399.5 | - | - |
593 | T | - | 49156.82 | - | - |
594 | K | - | 21023.0 | - | - |
595 | E | - | 22095.64 | - | - |
596 | G | - | 31208.37 | - | - |
597 | V | - | 50550.18 | - | - |
598 | L | - | 38381.48 | - | - |
599 | Y | - | 17869.52 | - | - |
600 | V | - | 14348.9 | - | - |
601 | G | - | 3916.46 | - | - |
602 | S | - | 4105.35 | - | - |
603 | K | - | 12882.52 | - | - |
604 | T | - | 11524.97 | - | - |
605 | K | - | 13133.02 | - | - |
606 | E | - | 10583.1 | - | - |
607 | G | - | 8116.15 | - | - |
608 | V | - | 10788.19 | - | - |
609 | V | - | 13672.87 | - | - |
610 | H | - | 19075.76 | - | - |
611 | G | - | 7318.92 | - | - |
612 | V | - | 17702.1 | - | - |
613 | A | - | 12580.38 | - | - |
614 | T | - | 11447.19 | - | - |
615 | V | - | 8077.75 | - | - |
616 | A | - | 13686.95 | - | - |
617 | E | - | 15118.09 | - | - |
618 | K | - | 12973.6 | - | - |
619 | T | - | 12389.49 | - | - |
620 | K | - | 21643.07 | - | - |
621 | E | - | 16576.69 | - | - |
622 | Q | - | 8371.98 | - | - |
623 | V | - | 16048.64 | - | - |
624 | T | - | 14130.94 | - | - |
625 | N | - | 13458.53 | - | - |
626 | V | - | 11262.11 | - | - |
627 | G | - | 9541.42 | - | - |
628 | G | - | 9136.41 | - | - |
629 | A | - | 8123.34 | - | - |
630 | V | - | 11618.76 | - | - |
631 | V | - | 20219.03 | - | - |
632 | T | - | 12212.44 | - | - |
633 | G | - | 5815.65 | - | - |
634 | V | - | 14340.97 | - | - |
635 | T | - | 16616.54 | - | - |
636 | A | - | 8874.01 | - | - |
637 | V | - | 8937.76 | - | - |
638 | A | - | 13661.82 | - | - |
639 | Q | - | 18335.14 | - | - |
640 | K | - | 11516.52 | - | - |
641 | T | - | 5968.89 | - | - |
642 | V | - | 22889.55 | - | - |
643 | E | - | 16068.55 | - | - |
644 | G | - | 5861.77 | - | - |
645 | A | - | 6050.25 | - | - |
646 | G | - | 10406.07 | - | - |
647 | S | - | 9302.87 | - | - |
648 | I | - | 8278.35 | - | - |
649 | A | - | 13086.92 | - | - |
650 | A | - | 10810.03 | - | - |
651 | A | - | 7214.96 | - | - |
652 | T | - | 5546.22 | - | - |
653 | G | - | 11507.01 | - | - |
654 | F | - | 22863.89 | - | - |
655 | V | - | 3590.28 | - | - |
656 | K | - | 7735.56 | - | - |
657 | K | - | 9445.4 | - | - |
658 | D | - | 4430.73 | - | - |
659 | Q | - | 5552.68 | - | - |
660 | L | - | 1679.54 | - | - |
661 | G | - | 521.84 | - | - |
662 | K | - | 2050.16 | - | - |
663 | N | - | 733.81 | - | - |
664 | E | - | 591.46 | - | - |
665 | E | - | 1971.17 | - | - |
666 | G | - | 56.16 | - | - |
667 | A | - | 4.09 | - | - |
668 | P | - | 0.15 | - | - |
669 | Q | - | 302.17 | - | - |
670 | E | - | 259.73 | - | - |
671 | G | - | 0.2 | - | - |
672 | I | - | 1080.54 | - | - |
673 | L | - | 873.03 | - | - |
674 | E | - | 1753.75 | - | - |
675 | D | - | 941.72 | - | - |
676 | M | - | 2418.79 | - | - |
677 | P | - | 8.99 | - | - |
678 | V | - | 33.8 | - | - |
679 | D | - | 397.63 | - | - |
680 | P | - | 284.95 | - | - |
681 | D | - | 553.57 | - | - |
682 | N | - | 1157.05 | - | - |
683 | E | - | 1616.26 | - | - |
684 | A | - | 114.95 | - | - |
685 | Y | - | 39.27 | - | - |
686 | E | - | 875.13 | - | - |
687 | M | - | 1765.93 | - | - |
688 | P | - | 25.43 | - | - |
689 | S | - | 1609.44 | - | - |
690 | E | - | 1918.53 | - | - |
691 | E | - | 2713.39 | - | - |
692 | G | - | 1265.75 | - | - |
693 | Y | - | 840.68 | - | - |
694 | Q | - | 2.26 | - | - |
695 | D | - | 1248.25 | - | - |
696 | Y | - | 421.3 | - | - |
697 | E | - | 1123.5 | - | - |
698 | P | - | 2027.07 | - | - |
699 | E | - | 1433.03 | - | - |
700 | A | - | 1356.61 | - | - |
701 | M | - | 62987.94 | - | - |
702 | D | - | 66415.5 | - | - |
703 | V | - | 78257.38 | - | - |
704 | F | - | 92140.29 | - | - |
705 | M | - | 82468.29 | - | - |
706 | K | - | 84932.89 | - | - |
707 | G | - | 56626.61 | - | - |
708 | L | - | 88552.29 | - | - |
709 | S | - | 71794.75 | - | - |
710 | K | - | 102899.64 | - | - |
711 | A | - | 64716.58 | - | - |
712 | K | - | 92654.15 | - | - |
713 | E | - | 86533.31 | - | - |
714 | G | - | 50363.61 | - | - |
715 | V | - | 85175.75 | - | - |
716 | V | - | 89567.36 | - | - |
717 | A | - | 64639.5 | - | - |
718 | A | - | 56409.93 | - | - |
719 | A | - | 56457.4 | - | - |
720 | E | - | 89685.55 | - | - |
721 | K | - | 86259.81 | - | - |
722 | T | - | 72237.3 | - | - |
723 | K | - | 94280.14 | - | - |
724 | Q | - | 89246.73 | - | - |
725 | G | - | 50964.37 | - | - |
726 | V | - | 81838.14 | - | - |
727 | A | - | 64823.46 | - | - |
728 | E | - | 87934.4 | - | - |
729 | A | - | 62473.12 | - | - |
730 | A | - | 57715.57 | - | - |
731 | G | - | 23560.04 | - | - |
732 | K | - | 52252.94 | - | - |
733 | T | - | 63534.82 | - | - |
734 | K | - | 34546.21 | - | - |
735 | E | - | 52053.08 | - | - |
736 | G | - | 16054.84 | - | - |
737 | V | - | 15882.51 | - | - |
738 | L | - | 24221.86 | - | - |
739 | Y | - | 20737.46 | - | - |
740 | V | - | 10763.64 | - | - |
741 | G | - | 6383.57 | - | - |
742 | S | - | 7694.44 | - | - |
743 | K | - | 24087.4 | - | - |
744 | T | - | 8395.44 | - | - |
745 | K | - | 13636.43 | - | - |
746 | E | - | 10065.55 | - | - |
747 | G | - | 8327.26 | - | - |
748 | V | - | 9180.93 | - | - |
749 | V | - | 9031.38 | - | - |
750 | H | - | 21069.44 | - | - |
751 | G | - | 8943.57 | - | - |
752 | V | - | 9381.87 | - | - |
753 | A | - | 5463.66 | - | - |
754 | T | - | 16686.45 | - | - |
755 | V | - | 10695.9 | - | - |
756 | A | - | 6976.19 | - | - |
757 | E | - | 12890.26 | - | - |
758 | K | - | 21229.39 | - | - |
759 | T | - | 11827.95 | - | - |
760 | K | - | 13284.36 | - | - |
761 | E | - | 15113.63 | - | - |
762 | Q | - | 14945.91 | - | - |
763 | V | - | 15439.34 | - | - |
764 | T | - | 10497.5 | - | - |
765 | N | - | 14453.81 | - | - |
766 | V | - | 17346.71 | - | - |
767 | G | - | 9295.35 | - | - |
768 | G | - | 5600.72 | - | - |
769 | A | - | 14907.74 | - | - |
770 | V | - | 17226.06 | - | - |
771 | V | - | 12195.15 | - | - |
772 | T | - | 11200.97 | - | - |
773 | G | - | 9975.82 | - | - |
774 | V | - | 16362.36 | - | - |
775 | T | - | 7179.97 | - | - |
776 | A | - | 11759.7 | - | - |
777 | V | - | 17599.5 | - | - |
778 | A | - | 10465.69 | - | - |
779 | Q | - | 8608.51 | - | - |
780 | K | - | 19296.23 | - | - |
781 | T | - | 15606.56 | - | - |
782 | V | - | 13492.01 | - | - |
783 | E | - | 8465.83 | - | - |
784 | G | - | 9784.98 | - | - |
785 | A | - | 10671.31 | - | - |
786 | G | - | 7141.53 | - | - |
787 | S | - | 9114.71 | - | - |
788 | I | - | 19321.6 | - | - |
789 | A | - | 11617.08 | - | - |
790 | A | - | 9079.08 | - | - |
791 | A | - | 11316.06 | - | - |
792 | T | - | 16087.56 | - | - |
793 | G | - | 5988.33 | - | - |
794 | F | - | 9679.92 | - | - |
795 | V | - | 8877.72 | - | - |
796 | K | - | 7915.51 | - | - |
797 | K | - | 3306.09 | - | - |
798 | D | - | 1816.3 | - | - |
799 | Q | - | 312.9 | - | - |
800 | L | - | 698.8 | - | - |
801 | G | - | 20.1 | - | - |
802 | K | - | 573.17 | - | - |
803 | N | - | 840.94 | - | - |
804 | E | - | 70.83 | - | - |
805 | E | - | 8.34 | - | - |
806 | G | - | 3.31 | - | - |
807 | A | - | 13.74 | - | - |
808 | P | - | 29.99 | - | - |
809 | Q | - | 676.24 | - | - |
810 | E | - | 4.25 | - | - |
811 | G | - | 33.19 | - | - |
812 | I | - | 79.73 | - | - |
813 | L | - | 1.14 | - | - |
814 | E | - | 1.36 | - | - |
815 | D | - | 3.98 | - | - |
816 | M | - | 21.6 | - | - |
817 | P | - | 2.91 | - | - |
818 | V | - | 0.94 | - | - |
819 | D | - | 4.34 | - | - |
820 | P | - | -2.19 | - | - |
821 | D | - | 0.33 | - | - |
822 | N | - | 1.85 | - | - |
823 | E | - | 1.35 | - | - |
824 | A | - | 0.15 | - | - |
825 | Y | - | 4.06 | - | - |
826 | E | - | 3.1 | - | - |
827 | M | - | 6.15 | - | - |
828 | P | - | -0.23 | - | - |
829 | S | - | 22.13 | - | - |
830 | E | - | 5.44 | - | - |
831 | E | - | 2.23 | - | - |
832 | G | - | -0.08 | - | - |
833 | Y | - | 2.54 | - | - |
834 | Q | - | 1.35 | - | - |
835 | D | - | 0.58 | - | - |
836 | Y | - | 2.08 | - | - |
837 | E | - | 14.5 | - | - |
838 | P | - | -0.95 | - | - |
839 | E | - | 1.46 | - | - |
840 | A | - | 2.85 | - | - |
841 | M | - | 50456.26 | - | - |
842 | D | - | 72212.22 | - | - |
843 | V | - | 71509.47 | - | - |
844 | F | - | 90008.46 | - | - |
845 | M | - | 81957.54 | - | - |
846 | K | - | 93455.31 | - | - |
847 | G | - | 54363.62 | - | - |
848 | L | - | 84863.55 | - | - |
849 | S | - | 68921.55 | - | - |
850 | K | - | 100448.59 | - | - |
851 | A | - | 67982.3 | - | - |
852 | K | - | 92864.64 | - | - |
853 | E | - | 81334.32 | - | - |
854 | G | - | 54925.35 | - | - |
855 | V | - | 91137.96 | - | - |
856 | V | - | 89034.74 | - | - |
857 | A | - | 65809.95 | - | - |
858 | A | - | 65895.8 | - | - |
859 | A | - | 63891.58 | - | - |
860 | E | - | 88388.51 | - | - |
861 | K | - | 89888.17 | - | - |
862 | T | - | 82615.04 | - | - |
863 | K | - | 97269.55 | - | - |
864 | Q | - | 95070.27 | - | - |
865 | G | - | 54665.59 | - | - |
866 | V | - | 77403.94 | - | - |
867 | A | - | 61687.5 | - | - |
868 | E | - | 85938.84 | - | - |
869 | A | - | 62234.49 | - | - |
870 | A | - | 59718.67 | - | - |
871 | G | - | 43873.31 | - | - |
872 | K | - | 66059.85 | - | - |
873 | T | - | 56959.26 | - | - |
874 | K | - | 67425.86 | - | - |
875 | E | - | 26792.78 | - | - |
876 | G | - | 12128.82 | - | - |
877 | V | - | 20279.65 | - | - |
878 | L | - | 3076.27 | - | - |
879 | Y | - | 3247.68 | - | - |
880 | V | - | 1987.66 | - | - |
881 | G | - | 1.21 | - | - |
882 | S | - | 2.59 | - | - |
883 | K | - | 40.18 | - | - |
884 | T | - | -0.48 | - | - |
885 | K | - | -1.16 | - | - |
886 | E | - | -0.17 | - | - |
887 | G | - | -0.02 | - | - |
888 | V | - | 0.83 | - | - |
889 | V | - | -0.34 | - | - |
890 | H | - | 2.05 | - | - |
891 | G | - | -0.51 | - | - |
892 | V | - | 0.76 | - | - |
893 | A | - | -0.53 | - | - |
894 | T | - | -0.25 | - | - |
895 | V | - | -0.46 | - | - |
896 | A | - | -0.94 | - | - |
897 | E | - | 0.64 | - | - |
898 | K | - | -1.54 | - | - |
899 | T | - | 0.11 | - | - |
900 | K | - | 1.9 | - | - |
901 | E | - | 0.92 | - | - |
902 | Q | - | -0.65 | - | - |
903 | V | - | 10.67 | - | - |
904 | T | - | 2.54 | - | - |
905 | N | - | 3.34 | - | - |
906 | V | - | 2.22 | - | - |
907 | G | - | 0.08 | - | - |
908 | G | - | 1.46 | - | - |
909 | A | - | -0.46 | - | - |
910 | V | - | 8.16 | - | - |
911 | V | - | 0.43 | - | - |
912 | T | - | 1.71 | - | - |
913 | G | - | 0.1 | - | - |
914 | V | - | 4.83 | - | - |
915 | T | - | 0.35 | - | - |
916 | A | - | -0.82 | - | - |
917 | V | - | 0.14 | - | - |
918 | A | - | -0.31 | - | - |
919 | Q | - | 3.96 | - | - |
920 | K | - | -1.23 | - | - |
921 | T | - | 2.13 | - | - |
922 | V | - | 0.51 | - | - |
923 | E | - | -1.19 | - | - |
924 | G | - | 0.07 | - | - |
925 | A | - | -1.01 | - | - |
926 | G | - | -0.02 | - | - |
927 | S | - | 0.46 | - | - |
928 | I | - | -0.09 | - | - |
929 | A | - | -0.97 | - | - |
930 | A | - | 0.22 | - | - |
931 | A | - | 0.04 | - | - |
932 | T | - | 20.62 | - | - |
933 | G | - | 319.06 | - | - |
934 | F | - | 295.95 | - | - |
935 | V | - | 171.01 | - | - |
936 | K | - | 615.32 | - | - |
937 | K | - | 84.29 | - | - |
938 | D | - | 51.38 | - | - |
939 | Q | - | 76.68 | - | - |
940 | L | - | 1616.05 | - | - |
941 | G | - | 360.41 | - | - |
942 | K | - | 1680.85 | - | - |
943 | N | - | 1368.34 | - | - |
944 | E | - | 1562.06 | - | - |
945 | E | - | 672.09 | - | - |
946 | G | - | 906.21 | - | - |
947 | A | - | 398.13 | - | - |
948 | P | - | 1556.06 | - | - |
949 | Q | - | 890.08 | - | - |
950 | E | - | 108.04 | - | - |
951 | G | - | 45.94 | - | - |
952 | I | - | 24.2 | - | - |
953 | L | - | 6.28 | - | - |
954 | E | - | 4.05 | - | - |
955 | D | - | 3.28 | - | - |
956 | M | - | 19.94 | - | - |
957 | P | - | 4.97 | - | - |
958 | V | - | 1.83 | - | - |
959 | D | - | 5.35 | - | - |
960 | P | - | 1.28 | - | - |
961 | D | - | 4.14 | - | - |
962 | N | - | 1.48 | - | - |
963 | E | - | 1.03 | - | - |
964 | A | - | 1.3 | - | - |
965 | Y | - | 4.36 | - | - |
966 | E | - | 4.36 | - | - |
967 | M | - | 9.05 | - | - |
968 | P | - | -2.16 | - | - |
969 | S | - | 1.32 | - | - |
970 | E | - | 3.04 | - | - |
971 | E | - | 2.93 | - | - |
972 | G | - | 1.34 | - | - |
973 | Y | - | 3.23 | - | - |
974 | Q | - | 1.05 | - | - |
975 | D | - | 0.02 | - | - |
976 | Y | - | 1.66 | - | - |
977 | E | - | 11.61 | - | - |
978 | P | - | -2.41 | - | - |
979 | E | - | -0.49 | - | - |
980 | A | - | 0.99 | - | - |
981 | M | - | 66585.61 | - | - |
982 | D | - | 78966.04 | - | - |
983 | V | - | 80567.71 | - | - |
984 | F | - | 95269.62 | - | - |
985 | M | - | 91880.51 | - | - |
986 | K | - | 89225.88 | - | - |
987 | G | - | 54908.36 | - | - |
988 | L | - | 84741.56 | - | - |
989 | S | - | 74605.01 | - | - |
990 | K | - | 107952.69 | - | - |
991 | A | - | 66253.43 | - | - |
992 | K | - | 90966.54 | - | - |
993 | E | - | 84686.5 | - | - |
994 | G | - | 54104.0 | - | - |
995 | V | - | 91100.41 | - | - |
996 | V | - | 90258.03 | - | - |
997 | A | - | 65438.96 | - | - |
998 | A | - | 66225.04 | - | - |
999 | A | - | 64812.6 | - | - |
1000 | E | - | 87107.06 | - | - |
1001 | K | - | 90397.32 | - | - |
1002 | T | - | 84991.45 | - | - |
1003 | K | - | 98566.36 | - | - |
1004 | Q | - | 92592.87 | - | - |
1005 | G | - | 54265.19 | - | - |
1006 | V | - | 90444.94 | - | - |
1007 | A | - | 65825.62 | - | - |
1008 | E | - | 86916.11 | - | - |
1009 | A | - | 63690.69 | - | - |
1010 | A | - | 59829.58 | - | - |
1011 | G | - | 47809.77 | - | - |
1012 | K | - | 69459.87 | - | - |
1013 | T | - | 62154.15 | - | - |
1014 | K | - | 49798.67 | - | - |
1015 | E | - | 38003.9 | - | - |
1016 | G | - | 21429.07 | - | - |
1017 | V | - | 35339.8 | - | - |
1018 | L | - | 28938.97 | - | - |
1019 | Y | - | 20691.45 | - | - |
1020 | V | - | 9885.25 | - | - |
1021 | G | - | 1124.27 | - | - |
1022 | S | - | 7729.27 | - | - |
1023 | K | - | 8862.26 | - | - |
1024 | T | - | 3462.54 | - | - |
1025 | K | - | 6687.46 | - | - |
1026 | E | - | 16693.84 | - | - |
1027 | G | - | 6608.41 | - | - |
1028 | V | - | 4253.61 | - | - |
1029 | V | - | 4487.17 | - | - |
1030 | H | - | 22178.94 | - | - |
1031 | G | - | 4053.41 | - | - |
1032 | V | - | 1957.69 | - | - |
1033 | A | - | 2050.54 | - | - |
1034 | T | - | 13312.36 | - | - |
1035 | V | - | 3289.66 | - | - |
1036 | A | - | 343.86 | - | - |
1037 | E | - | 6817.89 | - | - |
1038 | K | - | 17031.76 | - | - |
1039 | T | - | 3211.85 | - | - |
1040 | K | - | 3075.92 | - | - |
1041 | E | - | 15086.27 | - | - |
1042 | Q | - | 11384.61 | - | - |
1043 | V | - | 2023.39 | - | - |
1044 | T | - | 3287.22 | - | - |
1045 | N | - | 16346.89 | - | - |
1046 | V | - | 6327.06 | - | - |
1047 | G | - | 1886.96 | - | - |
1048 | G | - | 5659.65 | - | - |
1049 | A | - | 11845.94 | - | - |
1050 | V | - | 6092.33 | - | - |
1051 | V | - | 5534.63 | - | - |
1052 | T | - | 15329.8 | - | - |
1053 | G | - | 8809.25 | - | - |
1054 | V | - | 6681.75 | - | - |
1055 | T | - | 6919.41 | - | - |
1056 | A | - | 11726.07 | - | - |
1057 | V | - | 7494.26 | - | - |
1058 | A | - | 4497.32 | - | - |
1059 | Q | - | 9905.0 | - | - |
1060 | K | - | 28336.94 | - | - |
1061 | T | - | 5184.31 | - | - |
1062 | V | - | 6553.37 | - | - |
1063 | E | - | 13625.74 | - | - |
1064 | G | - | 8149.03 | - | - |
1065 | A | - | 3862.38 | - | - |
1066 | G | - | 3655.62 | - | - |
1067 | S | - | 13027.07 | - | - |
1068 | I | - | 7123.1 | - | - |
1069 | A | - | 3428.32 | - | - |
1070 | A | - | 7536.99 | - | - |
1071 | A | - | 14116.33 | - | - |
1072 | T | - | 5812.27 | - | - |
1073 | G | - | 4601.83 | - | - |
1074 | F | - | 5285.44 | - | - |
1075 | V | - | 4680.97 | - | - |
1076 | K | - | 8614.14 | - | - |
1077 | K | - | 1700.41 | - | - |
1078 | D | - | 424.35 | - | - |
1079 | Q | - | 2.42 | - | - |
1080 | L | - | 876.8 | - | - |
1081 | G | - | 18.83 | - | - |
1082 | K | - | 2339.33 | - | - |
1083 | N | - | 2967.59 | - | - |
1084 | E | - | 620.05 | - | - |
1085 | E | - | 196.92 | - | - |
1086 | G | - | 5.12 | - | - |
1087 | A | - | 288.66 | - | - |
1088 | P | - | 677.95 | - | - |
1089 | Q | - | 364.13 | - | - |
1090 | E | - | 3.75 | - | - |
1091 | G | - | 9.01 | - | - |
1092 | I | - | 446.24 | - | - |
1093 | L | - | 1374.6 | - | - |
1094 | E | - | 872.2 | - | - |
1095 | D | - | 5.42 | - | - |
1096 | M | - | 93.12 | - | - |
1097 | P | - | 747.8 | - | - |
1098 | V | - | 370.14 | - | - |
1099 | D | - | 167.85 | - | - |
1100 | P | - | 16.64 | - | - |
1101 | D | - | -0.05 | - | - |
1102 | N | - | 941.41 | - | - |
1103 | E | - | 3.54 | - | - |
1104 | A | - | 2.18 | - | - |
1105 | Y | - | 856.68 | - | - |
1106 | E | - | 621.0 | - | - |
1107 | M | - | 577.94 | - | - |
1108 | P | - | 225.04 | - | - |
1109 | S | - | 139.18 | - | - |
1110 | E | - | 1737.47 | - | - |
1111 | E | - | 157.79 | - | - |
1112 | G | - | 58.09 | - | - |
1113 | Y | - | 4.73 | - | - |
1114 | Q | - | 2.42 | - | - |
1115 | D | - | 0.3 | - | - |
1116 | Y | - | 127.75 | - | - |
1117 | E | - | 2365.71 | - | - |
1118 | P | - | 1534.38 | - | - |
1119 | E | - | 1529.75 | - | - |
1120 | A | - | 414.6 | - | - |
1121 | M | - | 56955.83 | - | - |
1122 | D | - | 69606.52 | - | - |
1123 | V | - | 84082.0 | - | - |
1124 | F | - | 90805.42 | - | - |
1125 | M | - | 85390.05 | - | - |
1126 | K | - | 97042.36 | - | - |
1127 | G | - | 55789.62 | - | - |
1128 | L | - | 91357.53 | - | - |
1129 | S | - | 73353.79 | - | - |
1130 | K | - | 101199.65 | - | - |
1131 | A | - | 66127.98 | - | - |
1132 | K | - | 97217.41 | - | - |
1133 | E | - | 88781.0 | - | - |
1134 | G | - | 51775.86 | - | - |
1135 | V | - | 90764.55 | - | - |
1136 | V | - | 92084.58 | - | - |
1137 | A | - | 65183.97 | - | - |
1138 | A | - | 64023.1 | - | - |
1139 | A | - | 64566.95 | - | - |
1140 | E | - | 82659.06 | - | - |
1141 | K | - | 90755.31 | - | - |
1142 | T | - | 79176.65 | - | - |
1143 | K | - | 100471.65 | - | - |
1144 | Q | - | 89935.17 | - | - |
1145 | G | - | 52609.54 | - | - |
1146 | V | - | 85565.32 | - | - |
1147 | A | - | 67296.1 | - | - |
1148 | E | - | 88737.82 | - | - |
1149 | A | - | 64181.27 | - | - |
1150 | A | - | 60518.63 | - | - |
1151 | G | - | 38186.8 | - | - |
1152 | K | - | 86070.82 | - | - |
1153 | T | - | 57117.47 | - | - |
1154 | K | - | 30881.26 | - | - |
1155 | E | - | 54816.17 | - | - |
1156 | G | - | 26011.38 | - | - |
1157 | V | - | 18833.86 | - | - |
1158 | L | - | 16841.08 | - | - |
1159 | Y | - | 15647.82 | - | - |
1160 | V | - | 7033.79 | - | - |
1161 | G | - | 6319.37 | - | - |
1162 | S | - | 5594.1 | - | - |
1163 | K | - | 4055.15 | - | - |
1164 | T | - | 7236.54 | - | - |
1165 | K | - | 20622.51 | - | - |
1166 | E | - | 11279.1 | - | - |
1167 | G | - | 1837.05 | - | - |
1168 | V | - | 3879.92 | - | - |
1169 | V | - | 14433.15 | - | - |
1170 | H | - | 5615.36 | - | - |
1171 | G | - | 67.57 | - | - |
1172 | V | - | 455.16 | - | - |
1173 | A | - | 4144.44 | - | - |
1174 | T | - | 626.06 | - | - |
1175 | V | - | 110.87 | - | - |
1176 | A | - | 1349.18 | - | - |
1177 | E | - | 4850.78 | - | - |
1178 | K | - | 473.53 | - | - |
1179 | T | - | 56.54 | - | - |
1180 | K | - | 10102.78 | - | - |
1181 | E | - | 1061.75 | - | - |
1182 | Q | - | 0.46 | - | - |
1183 | V | - | 297.35 | - | - |
1184 | T | - | 1744.73 | - | - |
1185 | N | - | 2.17 | - | - |
1186 | V | - | -0.44 | - | - |
1187 | G | - | -2.38 | - | - |
1188 | G | - | 104.25 | - | - |
1189 | A | - | -0.66 | - | - |
1190 | V | - | -1.09 | - | - |
1191 | V | - | 382.91 | - | - |
1192 | T | - | 1.13 | - | - |
1193 | G | - | 0.16 | - | - |
1194 | V | - | 40.32 | - | - |
1195 | T | - | 25.24 | - | - |
1196 | A | - | -0.62 | - | - |
1197 | V | - | 0.21 | - | - |
1198 | A | - | 887.13 | - | - |
1199 | Q | - | 1136.41 | - | - |
1200 | K | - | 11.35 | - | - |
1201 | T | - | 244.89 | - | - |
1202 | V | - | 2975.21 | - | - |
1203 | E | - | 0.74 | - | - |
1204 | G | - | 0.41 | - | - |
1205 | A | - | 39.98 | - | - |
1206 | G | - | 0.08 | - | - |
1207 | S | - | 27.74 | - | - |
1208 | I | - | 1505.81 | - | - |
1209 | A | - | 402.84 | - | - |
1210 | A | - | 1538.24 | - | - |
1211 | A | - | 1057.23 | - | - |
1212 | T | - | 1660.13 | - | - |
1213 | G | - | 1357.29 | - | - |
1214 | F | - | 4156.99 | - | - |
1215 | V | - | 424.03 | - | - |
1216 | K | - | 4492.97 | - | - |
1217 | K | - | 2660.61 | - | - |
1218 | D | - | 2161.66 | - | - |
1219 | Q | - | 631.5 | - | - |
1220 | L | - | 560.03 | - | - |
1221 | G | - | 17.58 | - | - |
1222 | K | - | 1067.91 | - | - |
1223 | N | - | 138.17 | - | - |
1224 | E | - | 1511.74 | - | - |
1225 | E | - | 1615.08 | - | - |
1226 | G | - | 120.33 | - | - |
1227 | A | - | 575.16 | - | - |
1228 | P | - | 603.86 | - | - |
1229 | Q | - | 1896.5 | - | - |
1230 | E | - | 1279.46 | - | - |
1231 | G | - | 1027.98 | - | - |
1232 | I | - | 554.4 | - | - |
1233 | L | - | 2752.26 | - | - |
1234 | E | - | 868.09 | - | - |
1235 | D | - | 2021.48 | - | - |
1236 | M | - | 2576.76 | - | - |
1237 | P | - | 133.19 | - | - |
1238 | V | - | 1.14 | - | - |
1239 | D | - | 13.62 | - | - |
1240 | P | - | 3.46 | - | - |
1241 | D | - | 3.98 | - | - |
1242 | N | - | 4.84 | - | - |
1243 | E | - | 8.55 | - | - |
1244 | A | - | 15.31 | - | - |
1245 | Y | - | 14.27 | - | - |
1246 | E | - | 5.41 | - | - |
1247 | M | - | 8.27 | - | - |
1248 | P | - | -1.27 | - | - |
1249 | S | - | 28.16 | - | - |
1250 | E | - | -0.05 | - | - |
1251 | E | - | 1246.87 | - | - |
1252 | G | - | 4.96 | - | - |
1253 | Y | - | 710.03 | - | - |
1254 | Q | - | 2.14 | - | - |
1255 | D | - | -0.09 | - | - |
1256 | Y | - | 1.27 | - | - |
1257 | E | - | 7.73 | - | - |
1258 | P | - | 78.14 | - | - |
1259 | E | - | 3.37 | - | - |
1260 | A | - | 1.1 | - | - |
1261 | M | - | 59518.97 | - | - |
1262 | D | - | 79360.81 | - | - |
1263 | V | - | 82174.37 | - | - |
1264 | F | - | 88460.52 | - | - |
1265 | M | - | 86748.17 | - | - |
1266 | K | - | 89070.91 | - | - |
1267 | G | - | 53409.96 | - | - |
1268 | L | - | 88758.34 | - | - |
1269 | S | - | 74975.5 | - | - |
1270 | K | - | 100605.54 | - | - |
1271 | A | - | 65183.69 | - | - |
1272 | K | - | 94292.71 | - | - |
1273 | E | - | 86841.88 | - | - |
1274 | G | - | 50807.9 | - | - |
1275 | V | - | 91190.33 | - | - |
1276 | V | - | 89167.61 | - | - |
1277 | A | - | 58540.59 | - | - |
1278 | A | - | 63335.85 | - | - |
1279 | A | - | 66374.84 | - | - |
1280 | E | - | 82048.22 | - | - |
1281 | K | - | 82835.62 | - | - |
1282 | T | - | 85287.19 | - | - |
1283 | K | - | 84115.93 | - | - |
1284 | Q | - | 73964.83 | - | - |
1285 | G | - | 51831.88 | - | - |
1286 | V | - | 90111.64 | - | - |
1287 | A | - | 64794.58 | - | - |
1288 | E | - | 90266.91 | - | - |
1289 | A | - | 59873.59 | - | - |
1290 | A | - | 49398.7 | - | - |
1291 | G | - | 45399.58 | - | - |
1292 | K | - | 67170.03 | - | - |
1293 | T | - | 38096.62 | - | - |
1294 | K | - | 35465.43 | - | - |
1295 | E | - | 54935.1 | - | - |
1296 | G | - | 17791.05 | - | - |
1297 | V | - | 7922.29 | - | - |
1298 | L | - | 1917.22 | - | - |
1299 | Y | - | 8370.25 | - | - |
1300 | V | - | 12126.26 | - | - |
1301 | G | - | 4513.14 | - | - |
1302 | S | - | 4649.21 | - | - |
1303 | K | - | 16562.01 | - | - |
1304 | T | - | 10877.32 | - | - |
1305 | K | - | 16687.52 | - | - |
1306 | E | - | 9913.62 | - | - |
1307 | G | - | 8380.7 | - | - |
1308 | V | - | 10304.3 | - | - |
1309 | V | - | 14535.16 | - | - |
1310 | H | - | 20811.98 | - | - |
1311 | G | - | 6317.48 | - | - |
1312 | V | - | 13663.47 | - | - |
1313 | A | - | 13703.94 | - | - |
1314 | T | - | 13145.29 | - | - |
1315 | V | - | 5150.83 | - | - |
1316 | A | - | 10409.29 | - | - |
1317 | E | - | 18711.27 | - | - |
1318 | K | - | 14960.53 | - | - |
1319 | T | - | 7822.45 | - | - |
1320 | K | - | 15954.52 | - | - |
1321 | E | - | 17924.63 | - | - |
1322 | Q | - | 10950.47 | - | - |
1323 | V | - | 13575.22 | - | - |
1324 | T | - | 15571.85 | - | - |
1325 | N | - | 18130.8 | - | - |
1326 | V | - | 12218.23 | - | - |
1327 | G | - | 8404.95 | - | - |
1328 | G | - | 7006.64 | - | - |
1329 | A | - | 14222.18 | - | - |
1330 | V | - | 15742.4 | - | - |
1331 | V | - | 14008.18 | - | - |
1332 | T | - | 12927.46 | - | - |
1333 | G | - | 9570.07 | - | - |
1334 | V | - | 16378.61 | - | - |
1335 | T | - | 9532.22 | - | - |
1336 | A | - | 12156.72 | - | - |
1337 | V | - | 15726.5 | - | - |
1338 | A | - | 11322.73 | - | - |
1339 | Q | - | 8204.01 | - | - |
1340 | K | - | 20087.45 | - | - |
1341 | T | - | 17194.15 | - | - |
1342 | V | - | 13525.93 | - | - |
1343 | E | - | 5150.8 | - | - |
1344 | G | - | 8460.25 | - | - |
1345 | A | - | 11617.11 | - | - |
1346 | G | - | 4086.42 | - | - |
1347 | S | - | 4356.69 | - | - |
1348 | I | - | 19645.55 | - | - |
1349 | A | - | 9260.3 | - | - |
1350 | A | - | 2527.14 | - | - |
1351 | A | - | 5896.09 | - | - |
1352 | T | - | 17077.65 | - | - |
1353 | G | - | 2041.06 | - | - |
1354 | F | - | 6589.98 | - | - |
1355 | V | - | 11563.16 | - | - |
1356 | K | - | 3396.72 | - | - |
1357 | K | - | 1908.53 | - | - |
1358 | D | - | 1144.49 | - | - |
1359 | Q | - | 704.44 | - | - |
1360 | L | - | 716.03 | - | - |
1361 | G | - | 386.47 | - | - |
1362 | K | - | 287.46 | - | - |
1363 | N | - | 35.39 | - | - |
1364 | E | - | 1255.83 | - | - |
1365 | E | - | 50.58 | - | - |
1366 | G | - | 3.24 | - | - |
1367 | A | - | 264.88 | - | - |
1368 | P | - | 2360.2 | - | - |
1369 | Q | - | 2709.97 | - | - |
1370 | E | - | 2611.2 | - | - |
1371 | G | - | 1119.4 | - | - |
1372 | I | - | 269.08 | - | - |
1373 | L | - | 1994.47 | - | - |
1374 | E | - | 1922.39 | - | - |
1375 | D | - | 101.29 | - | - |
1376 | M | - | 22.45 | - | - |
1377 | P | - | 421.32 | - | - |
1378 | V | - | 1776.46 | - | - |
1379 | D | - | 68.52 | - | - |
1380 | P | - | 219.2 | - | - |
1381 | D | - | 1.25 | - | - |
1382 | N | - | 2.69 | - | - |
1383 | E | - | 1.05 | - | - |
1384 | A | - | 0.03 | - | - |
1385 | Y | - | 1.4 | - | - |
1386 | E | - | 0.69 | - | - |
1387 | M | - | 6.69 | - | - |
1388 | P | - | -2.34 | - | - |
1389 | S | - | 1.72 | - | - |
1390 | E | - | 44.89 | - | - |
1391 | E | - | 1.87 | - | - |
1392 | G | - | 0.95 | - | - |
1393 | Y | - | 6.01 | - | - |
1394 | Q | - | 5.69 | - | - |
1395 | D | - | 8.95 | - | - |
1396 | Y | - | 6.06 | - | - |
1397 | E | - | 2.61 | - | - |
1398 | P | - | 1.73 | - | - |
1399 | E | - | 0.94 | - | - |
1400 | A | - | 1.62 | - | - |
1401 | M | - | 59818.85 | - | - |
1402 | D | - | 58721.4 | - | - |
1403 | V | - | 71837.15 | - | - |
1404 | F | - | 97082.4 | - | - |
1405 | M | - | 84736.88 | - | - |
1406 | K | - | 88438.48 | - | - |
1407 | G | - | 55273.51 | - | - |
1408 | L | - | 93957.78 | - | - |
1409 | S | - | 72536.43 | - | - |
1410 | K | - | 104764.73 | - | - |
1411 | A | - | 63340.06 | - | - |
1412 | K | - | 86172.59 | - | - |
1413 | E | - | 91019.24 | - | - |
1414 | G | - | 51021.89 | - | - |
1415 | V | - | 81934.2 | - | - |
1416 | V | - | 86216.86 | - | - |
1417 | A | - | 65461.29 | - | - |
1418 | A | - | 56774.84 | - | - |
1419 | A | - | 52886.89 | - | - |
1420 | E | - | 92726.04 | - | - |
1421 | K | - | 85245.33 | - | - |
1422 | T | - | 73643.86 | - | - |
1423 | K | - | 77288.61 | - | - |
1424 | Q | - | 88343.88 | - | - |
1425 | G | - | 52637.1 | - | - |
1426 | V | - | 86804.77 | - | - |
1427 | A | - | 61777.43 | - | - |
1428 | E | - | 80251.78 | - | - |
1429 | A | - | 63753.01 | - | - |
1430 | A | - | 54150.18 | - | - |
1431 | G | - | 26557.67 | - | - |
1432 | K | - | 75142.44 | - | - |
1433 | T | - | 55997.12 | - | - |
1434 | K | - | 62286.06 | - | - |
1435 | E | - | 26666.04 | - | - |
1436 | G | - | 18446.95 | - | - |
1437 | V | - | 23953.77 | - | - |
1438 | L | - | 14045.52 | - | - |
1439 | Y | - | 15330.42 | - | - |
1440 | V | - | 10807.37 | - | - |
1441 | G | - | 2628.21 | - | - |
1442 | S | - | 13733.59 | - | - |
1443 | K | - | 20036.27 | - | - |
1444 | T | - | 11433.8 | - | - |
1445 | K | - | 21171.25 | - | - |
1446 | E | - | 10638.56 | - | - |
1447 | G | - | 9338.06 | - | - |
1448 | V | - | 14110.15 | - | - |
1449 | V | - | 15836.74 | - | - |
1450 | H | - | 10123.24 | - | - |
1451 | G | - | 9250.71 | - | - |
1452 | V | - | 17871.71 | - | - |
1453 | A | - | 6748.62 | - | - |
1454 | T | - | 12796.5 | - | - |
1455 | V | - | 18736.88 | - | - |
1456 | A | - | 11231.55 | - | - |
1457 | E | - | 8500.72 | - | - |
1458 | K | - | 20074.58 | - | - |
1459 | T | - | 16140.79 | - | - |
1460 | K | - | 11229.5 | - | - |
1461 | E | - | 10201.09 | - | - |
1462 | Q | - | 19800.06 | - | - |
1463 | V | - | 17980.92 | - | - |
1464 | T | - | 6802.64 | - | - |
1465 | N | - | 13240.84 | - | - |
1466 | V | - | 18278.38 | - | - |
1467 | G | - | 10244.36 | - | - |
1468 | G | - | 7689.87 | - | - |
1469 | A | - | 12345.4 | - | - |
1470 | V | - | 13551.46 | - | - |
1471 | V | - | 16511.9 | - | - |
1472 | T | - | 14171.31 | - | - |
1473 | G | - | 8731.61 | - | - |
1474 | V | - | 16073.96 | - | - |
1475 | T | - | 11026.99 | - | - |
1476 | A | - | 13903.48 | - | - |
1477 | V | - | 12988.24 | - | - |
1478 | A | - | 12458.07 | - | - |
1479 | Q | - | 13692.68 | - | - |
1480 | K | - | 21841.14 | - | - |
1481 | T | - | 8022.32 | - | - |
1482 | V | - | 17829.25 | - | - |
1483 | E | - | 11291.74 | - | - |
1484 | G | - | 9981.17 | - | - |
1485 | A | - | 7651.8 | - | - |
1486 | G | - | 8876.7 | - | - |
1487 | S | - | 12215.16 | - | - |
1488 | I | - | 12544.03 | - | - |
1489 | A | - | 10541.39 | - | - |
1490 | A | - | 12966.41 | - | - |
1491 | A | - | 8744.15 | - | - |
1492 | T | - | 5127.77 | - | - |
1493 | G | - | 7157.61 | - | - |
1494 | F | - | 4972.26 | - | - |
1495 | V | - | 2101.05 | - | - |
1496 | K | - | 250.47 | - | - |
1497 | K | - | 332.84 | - | - |
1498 | D | - | 214.29 | - | - |
1499 | Q | - | 779.34 | - | - |
1500 | L | - | 1474.35 | - | - |
1501 | G | - | 934.12 | - | - |
1502 | K | - | 3794.45 | - | - |
1503 | N | - | 3373.9 | - | - |
1504 | E | - | 462.58 | - | - |
1505 | E | - | 2222.2 | - | - |
1506 | G | - | 2770.78 | - | - |
1507 | A | - | 3026.77 | - | - |
1508 | P | - | 866.2 | - | - |
1509 | Q | - | 6055.07 | - | - |
1510 | E | - | 7022.45 | - | - |
1511 | G | - | 4350.57 | - | - |
1512 | I | - | 7314.2 | - | - |
1513 | L | - | 6020.03 | - | - |
1514 | E | - | 4679.01 | - | - |
1515 | D | - | 2488.66 | - | - |
1516 | M | - | 222.83 | - | - |
1517 | P | - | 40.81 | - | - |
1518 | V | - | 875.99 | - | - |
1519 | D | - | 373.54 | - | - |
1520 | P | - | -1.55 | - | - |
1521 | D | - | 507.07 | - | - |
1522 | N | - | 683.87 | - | - |
1523 | E | - | 667.66 | - | - |
1524 | A | - | 407.72 | - | - |
1525 | Y | - | 165.17 | - | - |
1526 | E | - | 1382.9 | - | - |
1527 | M | - | 12.64 | - | - |
1528 | P | - | 3.24 | - | - |
1529 | S | - | 0.8 | - | - |
1530 | E | - | 14.78 | - | - |
1531 | E | - | 1.07 | - | - |
1532 | G | - | 2.71 | - | - |
1533 | Y | - | 8.36 | - | - |
1534 | Q | - | 551.71 | - | - |
1535 | D | - | -0.57 | - | - |
1536 | Y | - | 1.8 | - | - |
1537 | E | - | 6.29 | - | - |
1538 | P | - | -2.52 | - | - |
1539 | E | - | 0.62 | - | - |
1540 | A | - | 1.4 | - | - |
1541 | M | - | 67205.08 | - | - |
1542 | D | - | 67599.34 | - | - |
1543 | V | - | 81336.99 | - | - |
1544 | F | - | 94067.83 | - | - |
1545 | M | - | 85067.63 | - | - |
1546 | K | - | 86700.55 | - | - |
1547 | G | - | 55960.73 | - | - |
1548 | L | - | 85931.24 | - | - |
1549 | S | - | 72236.76 | - | - |
1550 | K | - | 105245.72 | - | - |
1551 | A | - | 64181.89 | - | - |
1552 | K | - | 91163.82 | - | - |
1553 | E | - | 89901.52 | - | - |
1554 | G | - | 50490.18 | - | - |
1555 | V | - | 88102.78 | - | - |
1556 | V | - | 92411.83 | - | - |
1557 | A | - | 62839.27 | - | - |
1558 | A | - | 61347.91 | - | - |
1559 | A | - | 64910.89 | - | - |
1560 | E | - | 85967.08 | - | - |
1561 | K | - | 87577.8 | - | - |
1562 | T | - | 81984.79 | - | - |
1563 | K | - | 88251.67 | - | - |
1564 | Q | - | 94004.54 | - | - |
1565 | G | - | 52266.75 | - | - |
1566 | V | - | 85423.23 | - | - |
1567 | A | - | 66395.76 | - | - |
1568 | E | - | 85928.06 | - | - |
1569 | A | - | 64430.77 | - | - |
1570 | A | - | 57029.75 | - | - |
1571 | G | - | 35019.42 | - | - |
1572 | K | - | 84368.33 | - | - |
1573 | T | - | 53086.86 | - | - |
1574 | K | - | 45495.63 | - | - |
1575 | E | - | 40208.94 | - | - |
1576 | G | - | 27188.28 | - | - |
1577 | V | - | 44117.12 | - | - |
1578 | L | - | 29302.61 | - | - |
1579 | Y | - | 25449.51 | - | - |
1580 | V | - | 5740.35 | - | - |
1581 | G | - | 2141.86 | - | - |
1582 | S | - | 1924.08 | - | - |
1583 | K | - | 17560.18 | - | - |
1584 | T | - | 14441.21 | - | - |
1585 | K | - | 5743.55 | - | - |
1586 | E | - | 5670.82 | - | - |
1587 | G | - | 8339.12 | - | - |
1588 | V | - | 15597.37 | - | - |
1589 | V | - | 7363.27 | - | - |
1590 | H | - | 18949.67 | - | - |
1591 | G | - | 7229.35 | - | - |
1592 | V | - | 10573.82 | - | - |
1593 | A | - | 6836.09 | - | - |
1594 | T | - | 13961.81 | - | - |
1595 | V | - | 7927.09 | - | - |
1596 | A | - | 7181.01 | - | - |
1597 | E | - | 14343.09 | - | - |
1598 | K | - | 15808.32 | - | - |
1599 | T | - | 6186.29 | - | - |
1600 | K | - | 10609.49 | - | - |
1601 | E | - | 20437.61 | - | - |
1602 | Q | - | 9931.1 | - | - |
1603 | V | - | 9363.07 | - | - |
1604 | T | - | 10256.68 | - | - |
1605 | N | - | 19058.21 | - | - |
1606 | V | - | 6602.36 | - | - |
1607 | G | - | 4675.02 | - | - |
1608 | G | - | 6341.14 | - | - |
1609 | A | - | 13703.47 | - | - |
1610 | V | - | 8411.94 | - | - |
1611 | V | - | 8101.56 | - | - |
1612 | T | - | 14513.78 | - | - |
1613 | G | - | 9759.88 | - | - |
1614 | V | - | 9280.21 | - | - |
1615 | T | - | 6618.45 | - | - |
1616 | A | - | 12578.12 | - | - |
1617 | V | - | 9529.09 | - | - |
1618 | A | - | 5868.2 | - | - |
1619 | Q | - | 8221.72 | - | - |
1620 | K | - | 25614.73 | - | - |
1621 | T | - | 8076.25 | - | - |
1622 | V | - | 8536.15 | - | - |
1623 | E | - | 11335.8 | - | - |
1624 | G | - | 9113.68 | - | - |
1625 | A | - | 6077.16 | - | - |
1626 | G | - | 5815.85 | - | - |
1627 | S | - | 12504.23 | - | - |
1628 | I | - | 7585.89 | - | - |
1629 | A | - | 6859.66 | - | - |
1630 | A | - | 11006.34 | - | - |
1631 | A | - | 14921.66 | - | - |
1632 | T | - | 7214.45 | - | - |
1633 | G | - | 6593.61 | - | - |
1634 | F | - | 10737.91 | - | - |
1635 | V | - | 4944.15 | - | - |
1636 | K | - | 1656.09 | - | - |
1637 | K | - | 1497.88 | - | - |
1638 | D | - | 117.62 | - | - |
1639 | Q | - | 199.33 | - | - |
1640 | L | - | 357.58 | - | - |
1641 | G | - | -0.22 | - | - |
1642 | K | - | 668.66 | - | - |
1643 | N | - | 203.17 | - | - |
1644 | E | - | 704.15 | - | - |
1645 | E | - | 501.33 | - | - |
1646 | G | - | 580.95 | - | - |
1647 | A | - | 1494.23 | - | - |
1648 | P | - | 2543.51 | - | - |
1649 | Q | - | 1116.6 | - | - |
1650 | E | - | 80.7 | - | - |
1651 | G | - | 18.83 | - | - |
1652 | I | - | 360.92 | - | - |
1653 | L | - | 301.68 | - | - |
1654 | E | - | 0.61 | - | - |
1655 | D | - | 941.09 | - | - |
1656 | M | - | 13.52 | - | - |
1657 | P | - | 11.89 | - | - |
1658 | V | - | 3.44 | - | - |
1659 | D | - | 23.08 | - | - |
1660 | P | - | 4.55 | - | - |
1661 | D | - | 111.85 | - | - |
1662 | N | - | 211.38 | - | - |
1663 | E | - | 328.61 | - | - |
1664 | A | - | 711.51 | - | - |
1665 | Y | - | 1.99 | - | - |
1666 | E | - | 1.8 | - | - |
1667 | M | - | 12.17 | - | - |
1668 | P | - | -0.82 | - | - |
1669 | S | - | 1.65 | - | - |
1670 | E | - | 0.53 | - | - |
1671 | E | - | 1.66 | - | - |
1672 | G | - | -1.58 | - | - |
1673 | Y | - | 2.25 | - | - |
1674 | Q | - | 261.19 | - | - |
1675 | D | - | 98.59 | - | - |
1676 | Y | - | 1256.47 | - | - |
1677 | E | - | 276.21 | - | - |
1678 | P | - | -0.35 | - | - |
1679 | E | - | 0.83 | - | - |
1680 | A | - | 114.36 | - | - |
1681 | M | - | 45604.69 | - | - |
1682 | D | - | 55044.57 | - | - |
1683 | V | - | 79417.64 | - | - |
1684 | F | - | 87029.3 | - | - |
1685 | M | - | 83131.8 | - | - |
1686 | K | - | 83146.29 | - | - |
1687 | G | - | 56539.39 | - | - |
1688 | L | - | 88126.67 | - | - |
1689 | S | - | 71047.96 | - | - |
1690 | K | - | 101411.37 | - | - |
1691 | A | - | 63771.45 | - | - |
1692 | K | - | 92615.0 | - | - |
1693 | E | - | 85138.67 | - | - |
1694 | G | - | 44804.08 | - | - |
1695 | V | - | 83233.93 | - | - |
1696 | V | - | 90434.46 | - | - |
1697 | A | - | 58734.56 | - | - |
1698 | A | - | 52401.17 | - | - |
1699 | A | - | 58245.81 | - | - |
1700 | E | - | 86942.34 | - | - |
1701 | K | - | 71794.35 | - | - |
1702 | T | - | 68284.03 | - | - |
1703 | K | - | 84263.12 | - | - |
1704 | Q | - | 80469.72 | - | - |
1705 | G | - | 41786.39 | - | - |
1706 | V | - | 83803.44 | - | - |
1707 | A | - | 61583.61 | - | - |
1708 | E | - | 83855.17 | - | - |
1709 | A | - | 65913.26 | - | - |
1710 | A | - | 34163.85 | - | - |
1711 | G | - | 16809.93 | - | - |
1712 | K | - | 74070.87 | - | - |
1713 | T | - | 34497.02 | - | - |
1714 | K | - | 16602.75 | - | - |
1715 | E | - | 14810.1 | - | - |
1716 | G | - | 21623.15 | - | - |
1717 | V | - | 24188.28 | - | - |
1718 | L | - | 37620.19 | - | - |
1719 | Y | - | 9315.22 | - | - |
1720 | V | - | 7884.74 | - | - |
1721 | G | - | 6450.11 | - | - |
1722 | S | - | 10141.55 | - | - |
1723 | K | - | 6156.68 | - | - |
1724 | T | - | 5192.45 | - | - |
1725 | K | - | 19698.41 | - | - |
1726 | E | - | 12999.16 | - | - |
1727 | G | - | 2955.95 | - | - |
1728 | V | - | 6817.47 | - | - |
1729 | V | - | 15242.26 | - | - |
1730 | H | - | 6191.44 | - | - |
1731 | G | - | 1938.01 | - | - |
1732 | V | - | 6437.56 | - | - |
1733 | A | - | 6458.57 | - | - |
1734 | T | - | 1502.63 | - | - |
1735 | V | - | 4062.83 | - | - |
1736 | A | - | 8581.63 | - | - |
1737 | E | - | 4446.48 | - | - |
1738 | K | - | 2042.81 | - | - |
1739 | T | - | 6485.12 | - | - |
1740 | K | - | 10710.25 | - | - |
1741 | E | - | 3224.33 | - | - |
1742 | Q | - | 5254.19 | - | - |
1743 | V | - | 16110.88 | - | - |
1744 | T | - | 5847.93 | - | - |
1745 | N | - | 2755.33 | - | - |
1746 | V | - | 7982.48 | - | - |
1747 | G | - | 8270.4 | - | - |
1748 | G | - | 2045.33 | - | - |
1749 | A | - | 2009.11 | - | - |
1750 | V | - | 11541.34 | - | - |
1751 | V | - | 10613.31 | - | - |
1752 | T | - | 2301.36 | - | - |
1753 | G | - | 3340.59 | - | - |
1754 | V | - | 20000.84 | - | - |
1755 | T | - | 5473.15 | - | - |
1756 | A | - | 2685.58 | - | - |
1757 | V | - | 8136.37 | - | - |
1758 | A | - | 13925.39 | - | - |
1759 | Q | - | 4057.58 | - | - |
1760 | K | - | 4079.63 | - | - |
1761 | T | - | 12022.8 | - | - |
1762 | V | - | 16573.47 | - | - |
1763 | E | - | 5228.36 | - | - |
1764 | G | - | 4836.04 | - | - |
1765 | A | - | 14361.53 | - | - |
1766 | G | - | 4705.32 | - | - |
1767 | S | - | 1720.53 | - | - |
1768 | I | - | 6379.64 | - | - |
1769 | A | - | 11479.47 | - | - |
1770 | A | - | 2261.72 | - | - |
1771 | A | - | 1000.13 | - | - |
1772 | T | - | 9242.55 | - | - |
1773 | G | - | 6367.11 | - | - |
1774 | F | - | 3185.1 | - | - |
1775 | V | - | 2427.97 | - | - |
1776 | K | - | 2339.1 | - | - |
1777 | K | - | 1526.77 | - | - |
1778 | D | - | 4638.86 | - | - |
1779 | Q | - | 2106.13 | - | - |
1780 | L | - | 4034.11 | - | - |
1781 | G | - | 1567.27 | - | - |
1782 | K | - | 2285.61 | - | - |
1783 | N | - | 1458.54 | - | - |
1784 | E | - | 2.92 | - | - |
1785 | E | - | 329.37 | - | - |
1786 | G | - | 321.24 | - | - |
1787 | A | - | 31.06 | - | - |
1788 | P | - | 1.27 | - | - |
1789 | Q | - | 327.72 | - | - |
1790 | E | - | 556.58 | - | - |
1791 | G | - | -1.1 | - | - |
1792 | I | - | 2.79 | - | - |
1793 | L | - | 19.08 | - | - |
1794 | E | - | 4.71 | - | - |
1795 | D | - | 1.03 | - | - |
1796 | M | - | 27.36 | - | - |
1797 | P | - | -0.56 | - | - |
1798 | V | - | 7.11 | - | - |
1799 | D | - | 13.37 | - | - |
1800 | P | - | -1.03 | - | - |
1801 | D | - | 1.77 | - | - |
1802 | N | - | 1.57 | - | - |
1803 | E | - | 0.96 | - | - |
1804 | A | - | 0.46 | - | - |
1805 | Y | - | 8.85 | - | - |
1806 | E | - | 944.61 | - | - |
1807 | M | - | 12.07 | - | - |
1808 | P | - | 2.12 | - | - |
1809 | S | - | 8.92 | - | - |
1810 | E | - | 1.23 | - | - |
1811 | E | - | 1.94 | - | - |
1812 | G | - | 1.35 | - | - |
1813 | Y | - | 3.25 | - | - |
1814 | Q | - | 14.96 | - | - |
1815 | D | - | 8.94 | - | - |
1816 | Y | - | 4.11 | - | - |
1817 | E | - | 6.75 | - | - |
1818 | P | - | 6.03 | - | - |
1819 | E | - | 4.17 | - | - |
1820 | A | - | 3.68 | - | - |
1821 | M | - | 67714.31 | - | - |
1822 | D | - | 76562.67 | - | - |
1823 | V | - | 78822.47 | - | - |
1824 | F | - | 93096.49 | - | - |
1825 | M | - | 92943.89 | - | - |
1826 | K | - | 83867.75 | - | - |
1827 | G | - | 54253.65 | - | - |
1828 | L | - | 89552.72 | - | - |
1829 | S | - | 71207.1 | - | - |
1830 | K | - | 83141.0 | - | - |
1831 | A | - | 67288.03 | - | - |
1832 | K | - | 91579.67 | - | - |
1833 | E | - | 84270.87 | - | - |
1834 | G | - | 53268.46 | - | - |
1835 | V | - | 86925.67 | - | - |
1836 | V | - | 87295.78 | - | - |
1837 | A | - | 66874.73 | - | - |
1838 | A | - | 61509.52 | - | - |
1839 | A | - | 55228.5 | - | - |
1840 | E | - | 88676.26 | - | - |
1841 | K | - | 92376.75 | - | - |
1842 | T | - | 72971.83 | - | - |
1843 | K | - | 87494.08 | - | - |
1844 | Q | - | 85349.35 | - | - |
1845 | G | - | 53378.85 | - | - |
1846 | V | - | 82003.4 | - | - |
1847 | A | - | 66767.49 | - | - |
1848 | E | - | 81023.37 | - | - |
1849 | A | - | 60880.83 | - | - |
1850 | A | - | 62196.98 | - | - |
1851 | G | - | 28476.61 | - | - |
1852 | K | - | 61194.83 | - | - |
1853 | T | - | 66849.02 | - | - |
1854 | K | - | 58799.21 | - | - |
1855 | E | - | 42810.11 | - | - |
1856 | G | - | 12554.42 | - | - |
1857 | V | - | 14541.38 | - | - |
1858 | L | - | 9259.45 | - | - |
1859 | Y | - | 4268.05 | - | - |
1860 | V | - | 9498.81 | - | - |
1861 | G | - | 7448.34 | - | - |
1862 | S | - | 8539.5 | - | - |
1863 | K | - | 6625.64 | - | - |
1864 | T | - | 7033.52 | - | - |
1865 | K | - | 20279.92 | - | - |
1866 | E | - | 10776.2 | - | - |
1867 | G | - | 3552.2 | - | - |
1868 | V | - | 7459.12 | - | - |
1869 | V | - | 15061.51 | - | - |
1870 | H | - | 7034.14 | - | - |
1871 | G | - | 2797.9 | - | - |
1872 | V | - | 12116.69 | - | - |
1873 | A | - | 6694.93 | - | - |
1874 | T | - | 4158.78 | - | - |
1875 | V | - | 4904.37 | - | - |
1876 | A | - | 10009.69 | - | - |
1877 | E | - | 8034.34 | - | - |
1878 | K | - | 6607.24 | - | - |
1879 | T | - | 10408.78 | - | - |
1880 | K | - | 15971.23 | - | - |
1881 | E | - | 6880.05 | - | - |
1882 | Q | - | 7332.64 | - | - |
1883 | V | - | 16641.26 | - | - |
1884 | T | - | 11779.65 | - | - |
1885 | N | - | 7489.99 | - | - |
1886 | V | - | 8338.16 | - | - |
1887 | G | - | 10723.2 | - | - |
1888 | G | - | 5906.41 | - | - |
1889 | A | - | 4975.23 | - | - |
1890 | V | - | 12132.11 | - | - |
1891 | V | - | 19035.3 | - | - |
1892 | T | - | 8384.51 | - | - |
1893 | G | - | 5241.09 | - | - |
1894 | V | - | 13625.76 | - | - |
1895 | T | - | 15100.15 | - | - |
1896 | A | - | 6005.64 | - | - |
1897 | V | - | 7322.24 | - | - |
1898 | A | - | 13623.03 | - | - |
1899 | Q | - | 17682.47 | - | - |
1900 | K | - | 11067.8 | - | - |
1901 | T | - | 7089.98 | - | - |
1902 | V | - | 22965.9 | - | - |
1903 | E | - | 12737.25 | - | - |
1904 | G | - | 4589.42 | - | - |
1905 | A | - | 7494.91 | - | - |
1906 | G | - | 10037.74 | - | - |
1907 | S | - | 7143.75 | - | - |
1908 | I | - | 6980.33 | - | - |
1909 | A | - | 11667.98 | - | - |
1910 | A | - | 10193.55 | - | - |
1911 | A | - | 5300.88 | - | - |
1912 | T | - | 5615.69 | - | - |
1913 | G | - | 8065.44 | - | - |
1914 | F | - | 23513.45 | - | - |
1915 | V | - | 9295.24 | - | - |
1916 | K | - | 959.68 | - | - |
1917 | K | - | 1248.23 | - | - |
1918 | D | - | 1019.89 | - | - |
1919 | Q | - | 536.81 | - | - |
1920 | L | - | 975.78 | - | - |
1921 | G | - | 2619.0 | - | - |
1922 | K | - | 5107.97 | - | - |
1923 | N | - | 19.13 | - | - |
1924 | E | - | 0.68 | - | - |
1925 | E | - | 53.55 | - | - |
1926 | G | - | 0.34 | - | - |
1927 | A | - | 1.48 | - | - |
1928 | P | - | 1604.42 | - | - |
1929 | Q | - | 567.46 | - | - |
1930 | E | - | 957.23 | - | - |
1931 | G | - | 39.21 | - | - |
1932 | I | - | 1819.14 | - | - |
1933 | L | - | 550.16 | - | - |
1934 | E | - | 124.03 | - | - |
1935 | D | - | 1.8 | - | - |
1936 | M | - | 192.36 | - | - |
1937 | P | - | -0.43 | - | - |
1938 | V | - | 65.22 | - | - |
1939 | D | - | 1.91 | - | - |
1940 | P | - | 0.35 | - | - |
1941 | D | - | 1.75 | - | - |
1942 | N | - | 1.47 | - | - |
1943 | E | - | 1.85 | - | - |
1944 | A | - | 0.12 | - | - |
1945 | Y | - | 2.95 | - | - |
1946 | E | - | 1.61 | - | - |
1947 | M | - | 10.69 | - | - |
1948 | P | - | 4.65 | - | - |
1949 | S | - | 1.4 | - | - |
1950 | E | - | -0.2 | - | - |
1951 | E | - | 0.52 | - | - |
1952 | G | - | -0.85 | - | - |
1953 | Y | - | 2.33 | - | - |
1954 | Q | - | 1.96 | - | - |
1955 | D | - | 2.27 | - | - |
1956 | Y | - | 3.06 | - | - |
1957 | E | - | 6.19 | - | - |
1958 | P | - | 6.39 | - | - |
1959 | E | - | 4.98 | - | - |
1960 | A | - | 3.07 | - | - |
1961 | M | - | 59589.2 | - | - |
1962 | D | - | 79653.48 | - | - |
1963 | V | - | 85687.71 | - | - |
1964 | F | - | 91718.62 | - | - |
1965 | M | - | 81997.92 | - | - |
1966 | K | - | 99274.98 | - | - |
1967 | G | - | 55516.31 | - | - |
1968 | L | - | 91953.34 | - | - |
1969 | S | - | 74591.36 | - | - |
1970 | K | - | 106142.05 | - | - |
1971 | A | - | 66834.69 | - | - |
1972 | K | - | 96684.29 | - | - |
1973 | E | - | 85722.24 | - | - |
1974 | G | - | 52354.65 | - | - |
1975 | V | - | 92172.33 | - | - |
1976 | V | - | 91759.33 | - | - |
1977 | A | - | 63445.2 | - | - |
1978 | A | - | 65354.19 | - | - |
1979 | A | - | 66609.15 | - | - |
1980 | E | - | 81950.23 | - | - |
1981 | K | - | 87809.28 | - | - |
1982 | T | - | 85418.71 | - | - |
1983 | K | - | 100244.28 | - | - |
1984 | Q | - | 94811.93 | - | - |
1985 | G | - | 54217.32 | - | - |
1986 | V | - | 90093.61 | - | - |
1987 | A | - | 66725.55 | - | - |
1988 | E | - | 87074.28 | - | - |
1989 | A | - | 63697.92 | - | - |
1990 | A | - | 58398.97 | - | - |
1991 | G | - | 45821.78 | - | - |
1992 | K | - | 91469.91 | - | - |
1993 | T | - | 50219.69 | - | - |
1994 | K | - | 43415.08 | - | - |
1995 | E | - | 52052.47 | - | - |
1996 | G | - | 25376.0 | - | - |
1997 | V | - | 39447.37 | - | - |
1998 | L | - | 17725.84 | - | - |
1999 | Y | - | 12499.23 | - | - |
2000 | V | - | 11214.53 | - | - |
2001 | G | - | 6732.96 | - | - |
2002 | S | - | 3349.62 | - | - |
2003 | K | - | 9817.53 | - | - |
2004 | T | - | 13607.42 | - | - |
2005 | K | - | 10656.23 | - | - |
2006 | E | - | 4688.72 | - | - |
2007 | G | - | 4699.61 | - | - |
2008 | V | - | 16556.21 | - | - |
2009 | V | - | 8298.1 | - | - |
2010 | H | - | 4299.48 | - | - |
2011 | G | - | 5797.89 | - | - |
2012 | V | - | 16416.72 | - | - |
2013 | A | - | 3060.91 | - | - |
2014 | T | - | 3928.51 | - | - |
2015 | V | - | 10528.94 | - | - |
2016 | A | - | 7219.83 | - | - |
2017 | E | - | 4481.45 | - | - |
2018 | K | - | 7960.41 | - | - |
2019 | T | - | 15562.84 | - | - |
2020 | K | - | 8098.14 | - | - |
2021 | E | - | 5918.04 | - | - |
2022 | Q | - | 13486.47 | - | - |
2023 | V | - | 18846.76 | - | - |
2024 | T | - | 8440.8 | - | - |
2025 | N | - | 7405.08 | - | - |
2026 | V | - | 14168.38 | - | - |
2027 | G | - | 9203.55 | - | - |
2028 | G | - | 5839.91 | - | - |
2029 | A | - | 7576.84 | - | - |
2030 | V | - | 17929.45 | - | - |
2031 | V | - | 10310.35 | - | - |
2032 | T | - | 5046.25 | - | - |
2033 | G | - | 7845.6 | - | - |
2034 | V | - | 21207.81 | - | - |
2035 | T | - | 9190.2 | - | - |
2036 | A | - | 6174.69 | - | - |
2037 | V | - | 12054.82 | - | - |
2038 | A | - | 13306.3 | - | - |
2039 | Q | - | 8014.18 | - | - |
2040 | K | - | 10024.22 | - | - |
2041 | T | - | 16141.16 | - | - |
2042 | V | - | 15610.83 | - | - |
2043 | E | - | 11028.17 | - | - |
2044 | G | - | 9089.11 | - | - |
2045 | A | - | 14021.52 | - | - |
2046 | G | - | 7466.63 | - | - |
2047 | S | - | 7448.56 | - | - |
2048 | I | - | 11059.96 | - | - |
2049 | A | - | 11907.14 | - | - |
2050 | A | - | 10412.62 | - | - |
2051 | A | - | 8299.51 | - | - |
2052 | T | - | 10805.01 | - | - |
2053 | G | - | 9893.15 | - | - |
2054 | F | - | 20048.41 | - | - |
2055 | V | - | 9012.1 | - | - |
2056 | K | - | 6544.33 | - | - |
2057 | K | - | 4665.21 | - | - |
2058 | D | - | 30.75 | - | - |
2059 | Q | - | 25.21 | - | - |
2060 | L | - | 521.13 | - | - |
2061 | G | - | -0.64 | - | - |
2062 | K | - | 2223.92 | - | - |
2063 | N | - | 29.48 | - | - |
2064 | E | - | 365.54 | - | - |
2065 | E | - | 3.31 | - | - |
2066 | G | - | 2.17 | - | - |
2067 | A | - | 1.56 | - | - |
2068 | P | - | 87.21 | - | - |
2069 | Q | - | 256.04 | - | - |
2070 | E | - | 1649.27 | - | - |
2071 | G | - | 708.28 | - | - |
2072 | I | - | 170.01 | - | - |
2073 | L | - | 4.93 | - | - |
2074 | E | - | 9.19 | - | - |
2075 | D | - | 6.41 | - | - |
2076 | M | - | 11.66 | - | - |
2077 | P | - | -2.37 | - | - |
2078 | V | - | 3.66 | - | - |
2079 | D | - | 17.28 | - | - |
2080 | P | - | 4.9 | - | - |
2081 | D | - | 227.23 | - | - |
2082 | N | - | 439.38 | - | - |
2083 | E | - | 9.03 | - | - |
2084 | A | - | 5.52 | - | - |
2085 | Y | - | 4.85 | - | - |
2086 | E | - | -1.04 | - | - |
2087 | M | - | 8.76 | - | - |
2088 | P | - | -1.23 | - | - |
2089 | S | - | 1.04 | - | - |
2090 | E | - | 7.31 | - | - |
2091 | E | - | 10.72 | - | - |
2092 | G | - | 4.17 | - | - |
2093 | Y | - | 2.94 | - | - |
2094 | Q | - | 1.66 | - | - |
2095 | D | - | 0.1 | - | - |
2096 | Y | - | 1.21 | - | - |
2097 | E | - | 4.28 | - | - |
2098 | P | - | -1.4 | - | - |
2099 | E | - | 8.15 | - | - |
2100 | A | - | 1.73 | - | - |
2101 | M | - | 50698.6 | - | - |
2102 | D | - | 76545.84 | - | - |
2103 | V | - | 84672.05 | - | - |
2104 | F | - | 88006.4 | - | - |
2105 | M | - | 87176.13 | - | - |
2106 | K | - | 93258.02 | - | - |
2107 | G | - | 53847.59 | - | - |
2108 | L | - | 92204.13 | - | - |
2109 | S | - | 69498.73 | - | - |
2110 | K | - | 80543.59 | - | - |
2111 | A | - | 67528.45 | - | - |
2112 | K | - | 91599.4 | - | - |
2113 | E | - | 82550.9 | - | - |
2114 | G | - | 52146.76 | - | - |
2115 | V | - | 84708.22 | - | - |
2116 | V | - | 91512.3 | - | - |
2117 | A | - | 64077.23 | - | - |
2118 | A | - | 64029.01 | - | - |
2119 | A | - | 65680.2 | - | - |
2120 | E | - | 89517.12 | - | - |
2121 | K | - | 89931.58 | - | - |
2122 | T | - | 84322.68 | - | - |
2123 | K | - | 98608.87 | - | - |
2124 | Q | - | 95735.55 | - | - |
2125 | G | - | 53563.91 | - | - |
2126 | V | - | 87147.01 | - | - |
2127 | A | - | 65637.89 | - | - |
2128 | E | - | 86846.25 | - | - |
2129 | A | - | 64572.3 | - | - |
2130 | A | - | 58127.87 | - | - |
2131 | G | - | 44051.68 | - | - |
2132 | K | - | 88601.66 | - | - |
2133 | T | - | 61945.03 | - | - |
2134 | K | - | 67810.84 | - | - |
2135 | E | - | 12192.9 | - | - |
2136 | G | - | 8264.38 | - | - |
2137 | V | - | 28571.91 | - | - |
2138 | L | - | 16676.22 | - | - |
2139 | Y | - | 6999.76 | - | - |
2140 | V | - | 13995.47 | - | - |
2141 | G | - | 8304.01 | - | - |
2142 | S | - | 7956.36 | - | - |
2143 | K | - | 11609.23 | - | - |
2144 | T | - | 14546.05 | - | - |
2145 | K | - | 20169.97 | - | - |
2146 | E | - | 4970.17 | - | - |
2147 | G | - | 8192.47 | - | - |
2148 | V | - | 17384.09 | - | - |
2149 | V | - | 7745.97 | - | - |
2150 | H | - | 6282.49 | - | - |
2151 | G | - | 8907.79 | - | - |
2152 | V | - | 17302.42 | - | - |
2153 | A | - | 3033.65 | - | - |
2154 | T | - | 10914.93 | - | - |
2155 | V | - | 18475.13 | - | - |
2156 | A | - | 9337.44 | - | - |
2157 | E | - | 7739.73 | - | - |
2158 | K | - | 20150.39 | - | - |
2159 | T | - | 16607.29 | - | - |
2160 | K | - | 13314.64 | - | - |
2161 | E | - | 10793.9 | - | - |
2162 | Q | - | 18943.65 | - | - |
2163 | V | - | 18508.98 | - | - |
2164 | T | - | 10494.36 | - | - |
2165 | N | - | 11890.2 | - | - |
2166 | V | - | 18221.52 | - | - |
2167 | G | - | 9932.14 | - | - |
2168 | G | - | 7638.87 | - | - |
2169 | A | - | 13566.04 | - | - |
2170 | V | - | 16384.33 | - | - |
2171 | V | - | 16804.22 | - | - |
2172 | T | - | 13365.79 | - | - |
2173 | G | - | 9050.37 | - | - |
2174 | V | - | 17511.13 | - | - |
2175 | T | - | 13052.66 | - | - |
2176 | A | - | 12597.79 | - | - |
2177 | V | - | 16514.88 | - | - |
2178 | A | - | 12761.23 | - | - |
2179 | Q | - | 11547.68 | - | - |
2180 | K | - | 21144.35 | - | - |
2181 | T | - | 13695.95 | - | - |
2182 | V | - | 18295.45 | - | - |
2183 | E | - | 7259.0 | - | - |
2184 | G | - | 8600.38 | - | - |
2185 | A | - | 10491.82 | - | - |
2186 | G | - | 7123.92 | - | - |
2187 | S | - | 8756.16 | - | - |
2188 | I | - | 18102.15 | - | - |
2189 | A | - | 13316.5 | - | - |
2190 | A | - | 7961.36 | - | - |
2191 | A | - | 7963.27 | - | - |
2192 | T | - | 12601.43 | - | - |
2193 | G | - | 8237.09 | - | - |
2194 | F | - | 5261.19 | - | - |
2195 | V | - | 2957.93 | - | - |
2196 | K | - | 1950.83 | - | - |
2197 | K | - | 10.13 | - | - |
2198 | D | - | 1224.34 | - | - |
2199 | Q | - | 3054.97 | - | - |
2200 | L | - | 1512.2 | - | - |
2201 | G | - | 2118.1 | - | - |
2202 | K | - | 35.97 | - | - |
2203 | N | - | 0.36 | - | - |
2204 | E | - | -0.68 | - | - |
2205 | E | - | 3.33 | - | - |
2206 | G | - | 0.96 | - | - |
2207 | A | - | 2.73 | - | - |
2208 | P | - | 2.88 | - | - |
2209 | Q | - | 6.06 | - | - |
2210 | E | - | 2.66 | - | - |
2211 | G | - | 388.81 | - | - |
2212 | I | - | 1219.65 | - | - |
2213 | L | - | 1136.88 | - | - |
2214 | E | - | 334.49 | - | - |
2215 | D | - | 14.57 | - | - |
2216 | M | - | 1046.99 | - | - |
2217 | P | - | -0.08 | - | - |
2218 | V | - | 29.7 | - | - |
2219 | D | - | 24.32 | - | - |
2220 | P | - | 71.51 | - | - |
2221 | D | - | 1.2 | - | - |
2222 | N | - | 36.24 | - | - |
2223 | E | - | 2.7 | - | - |
2224 | A | - | 5.19 | - | - |
2225 | Y | - | 677.81 | - | - |
2226 | E | - | 6.15 | - | - |
2227 | M | - | 6.69 | - | - |
2228 | P | - | 3.16 | - | - |
2229 | S | - | 40.76 | - | - |
2230 | E | - | 1420.51 | - | - |
2231 | E | - | 774.16 | - | - |
2232 | G | - | 731.35 | - | - |
2233 | Y | - | 1428.74 | - | - |
2234 | Q | - | 9.57 | - | - |
2235 | D | - | 153.96 | - | - |
2236 | Y | - | 1785.48 | - | - |
2237 | E | - | 7.66 | - | - |
2238 | P | - | -1.04 | - | - |
2239 | E | - | -0.33 | - | - |
2240 | A | - | 2.61 | - | - |
2241 | M | - | 64112.4 | - | - |
2242 | D | - | 67880.31 | - | - |
2243 | V | - | 76453.69 | - | - |
2244 | F | - | 94036.73 | - | - |
2245 | M | - | 81718.39 | - | - |
2246 | K | - | 91770.81 | - | - |
2247 | G | - | 55425.39 | - | - |
2248 | L | - | 89222.2 | - | - |
2249 | S | - | 73019.07 | - | - |
2250 | K | - | 102761.27 | - | - |
2251 | A | - | 65595.77 | - | - |
2252 | K | - | 93285.23 | - | - |
2253 | E | - | 88516.22 | - | - |
2254 | G | - | 51484.59 | - | - |
2255 | V | - | 83838.83 | - | - |
2256 | V | - | 85684.54 | - | - |
2257 | A | - | 65713.8 | - | - |
2258 | A | - | 56252.52 | - | - |
2259 | A | - | 50704.55 | - | - |
2260 | E | - | 89478.12 | - | - |
2261 | K | - | 87771.63 | - | - |
2262 | T | - | 72532.43 | - | - |
2263 | K | - | 88160.81 | - | - |
2264 | Q | - | 90316.67 | - | - |
2265 | G | - | 52986.11 | - | - |
2266 | V | - | 82275.82 | - | - |
2267 | A | - | 65613.79 | - | - |
2268 | E | - | 83582.06 | - | - |
2269 | A | - | 59152.23 | - | - |
2270 | A | - | 62264.35 | - | - |
2271 | G | - | 22488.16 | - | - |
2272 | K | - | 49054.0 | - | - |
2273 | T | - | 65019.95 | - | - |
2274 | K | - | 61769.1 | - | - |
2275 | E | - | 45879.28 | - | - |
2276 | G | - | 20125.95 | - | - |
2277 | V | - | 15799.97 | - | - |
2278 | L | - | 16465.48 | - | - |
2279 | Y | - | 15766.85 | - | - |
2280 | V | - | 6118.29 | - | - |
2281 | G | - | 6102.08 | - | - |
2282 | S | - | 7533.42 | - | - |
2283 | K | - | 5408.94 | - | - |
2284 | T | - | 5205.56 | - | - |
2285 | K | - | 24935.4 | - | - |
2286 | E | - | 7754.71 | - | - |
2287 | G | - | 3821.48 | - | - |
2288 | V | - | 11255.0 | - | - |
2289 | V | - | 16472.66 | - | - |
2290 | H | - | 7334.03 | - | - |
2291 | G | - | 5030.26 | - | - |
2292 | V | - | 12794.77 | - | - |
2293 | A | - | 9450.5 | - | - |
2294 | T | - | 6447.47 | - | - |
2295 | V | - | 7997.29 | - | - |
2296 | A | - | 13004.78 | - | - |
2297 | E | - | 11546.91 | - | - |
2298 | K | - | 10956.52 | - | - |
2299 | T | - | 11213.3 | - | - |
2300 | K | - | 21089.8 | - | - |
2301 | E | - | 11117.78 | - | - |
2302 | Q | - | 12214.52 | - | - |
2303 | V | - | 14764.31 | - | - |
2304 | T | - | 16019.15 | - | - |
2305 | N | - | 10828.39 | - | - |
2306 | V | - | 8540.68 | - | - |
2307 | G | - | 10819.29 | - | - |
2308 | G | - | 9120.79 | - | - |
2309 | A | - | 6773.33 | - | - |
2310 | V | - | 9109.69 | - | - |
2311 | V | - | 22198.33 | - | - |
2312 | T | - | 11350.46 | - | - |
2313 | G | - | 4925.42 | - | - |
2314 | V | - | 9631.17 | - | - |
2315 | T | - | 17513.43 | - | - |
2316 | A | - | 7804.96 | - | - |
2317 | V | - | 6871.62 | - | - |
2318 | A | - | 12880.41 | - | - |
2319 | Q | - | 19205.29 | - | - |
2320 | K | - | 11489.98 | - | - |
2321 | T | - | 5825.22 | - | - |
2322 | V | - | 21155.99 | - | - |
2323 | E | - | 17552.0 | - | - |
2324 | G | - | 5461.44 | - | - |
2325 | A | - | 6033.2 | - | - |
2326 | G | - | 9933.68 | - | - |
2327 | S | - | 9336.21 | - | - |
2328 | I | - | 7814.96 | - | - |
2329 | A | - | 11336.01 | - | - |
2330 | A | - | 11340.95 | - | - |
2331 | A | - | 7135.67 | - | - |
2332 | T | - | 4742.57 | - | - |
2333 | G | - | 8869.93 | - | - |
2334 | F | - | 8287.54 | - | - |
2335 | V | - | 8156.54 | - | - |
2336 | K | - | 8655.9 | - | - |
2337 | K | - | 7119.53 | - | - |
2338 | D | - | 7602.51 | - | - |
2339 | Q | - | 4838.4 | - | - |
2340 | L | - | 1697.34 | - | - |
2341 | G | - | 207.27 | - | - |
2342 | K | - | 405.13 | - | - |
2343 | N | - | 1769.97 | - | - |
2344 | E | - | 947.95 | - | - |
2345 | E | - | 997.93 | - | - |
2346 | G | - | -0.78 | - | - |
2347 | A | - | 162.76 | - | - |
2348 | P | - | 1611.44 | - | - |
2349 | Q | - | 84.79 | - | - |
2350 | E | - | 381.93 | - | - |
2351 | G | - | 4.75 | - | - |
2352 | I | - | 4.06 | - | - |
2353 | L | - | 2.05 | - | - |
2354 | E | - | 3.25 | - | - |
2355 | D | - | 1.34 | - | - |
2356 | M | - | 29.34 | - | - |
2357 | P | - | 202.52 | - | - |
2358 | V | - | 406.62 | - | - |
2359 | D | - | 218.22 | - | - |
2360 | P | - | -0.18 | - | - |
2361 | D | - | 8.4 | - | - |
2362 | N | - | 544.41 | - | - |
2363 | E | - | 2.55 | - | - |
2364 | A | - | 142.2 | - | - |
2365 | Y | - | 1036.97 | - | - |
2366 | E | - | 1157.6 | - | - |
2367 | M | - | 176.61 | - | - |
2368 | P | - | 789.04 | - | - |
2369 | S | - | 1213.33 | - | - |
2370 | E | - | 737.6 | - | - |
2371 | E | - | 2794.22 | - | - |
2372 | G | - | 819.81 | - | - |
2373 | Y | - | 1957.52 | - | - |
2374 | Q | - | 1936.54 | - | - |
2375 | D | - | 214.92 | - | - |
2376 | Y | - | 315.86 | - | - |
2377 | E | - | 12.0 | - | - |
2378 | P | - | -2.3 | - | - |
2379 | E | - | 0.46 | - | - |
2380 | A | - | 0.96 | - | - |
2381 | M | - | 71927.8 | - | - |
2382 | D | - | 82387.04 | - | - |
2383 | V | - | 82761.93 | - | - |
2384 | F | - | 93511.72 | - | - |
2385 | M | - | 91583.58 | - | - |
2386 | K | - | 88675.05 | - | - |
2387 | G | - | 55268.0 | - | - |
2388 | L | - | 91181.48 | - | - |
2389 | S | - | 72276.6 | - | - |
2390 | K | - | 106968.78 | - | - |
2391 | A | - | 66924.42 | - | - |
2392 | K | - | 92196.68 | - | - |
2393 | E | - | 86895.21 | - | - |
2394 | G | - | 54592.75 | - | - |
2395 | V | - | 91505.95 | - | - |
2396 | V | - | 90868.47 | - | - |
2397 | A | - | 64461.89 | - | - |
2398 | A | - | 64869.53 | - | - |
2399 | A | - | 66292.39 | - | - |
2400 | E | - | 87355.88 | - | - |
2401 | K | - | 90580.93 | - | - |
2402 | T | - | 84681.45 | - | - |
2403 | K | - | 87407.74 | - | - |
2404 | Q | - | 96016.72 | - | - |
2405 | G | - | 53204.79 | - | - |
2406 | V | - | 87685.2 | - | - |
2407 | A | - | 67356.27 | - | - |
2408 | E | - | 83950.65 | - | - |
2409 | A | - | 63208.06 | - | - |
2410 | A | - | 57665.32 | - | - |
2411 | G | - | 46909.37 | - | - |
2412 | K | - | 75436.04 | - | - |
2413 | T | - | 64312.25 | - | - |
2414 | K | - | 55154.43 | - | - |
2415 | E | - | 24819.1 | - | - |
2416 | G | - | 18769.52 | - | - |
2417 | V | - | 44929.18 | - | - |
2418 | L | - | 24730.25 | - | - |
2419 | Y | - | 17030.0 | - | - |
2420 | V | - | 17193.97 | - | - |
2421 | G | - | 10384.31 | - | - |
2422 | S | - | 16477.6 | - | - |
2423 | K | - | 13388.57 | - | - |
2424 | T | - | 5838.72 | - | - |
2425 | K | - | 27590.92 | - | - |
2426 | E | - | 16509.88 | - | - |
2427 | G | - | 4826.83 | - | - |
2428 | V | - | 11498.31 | - | - |
2429 | V | - | 26823.62 | - | - |
2430 | H | - | 15388.17 | - | - |
2431 | G | - | 6744.23 | - | - |
2432 | V | - | 23867.56 | - | - |
2433 | A | - | 13047.7 | - | - |
2434 | T | - | 13149.23 | - | - |
2435 | V | - | 12982.75 | - | - |
2436 | A | - | 17135.19 | - | - |
2437 | E | - | 15704.38 | - | - |
2438 | K | - | 12949.81 | - | - |
2439 | T | - | 15523.41 | - | - |
2440 | K | - | 15735.8 | - | - |
2441 | E | - | 17090.31 | - | - |
2442 | Q | - | 10825.1 | - | - |
2443 | V | - | 22272.41 | - | - |
2444 | T | - | 11716.63 | - | - |
2445 | N | - | 10677.96 | - | - |
2446 | V | - | 10519.13 | - | - |
2447 | G | - | 9436.39 | - | - |
2448 | G | - | 8768.58 | - | - |
2449 | A | - | 6048.05 | - | - |
2450 | V | - | 16736.55 | - | - |
2451 | V | - | 16473.43 | - | - |
2452 | T | - | 12334.88 | - | - |
2453 | G | - | 5201.69 | - | - |
2454 | V | - | 18358.3 | - | - |
2455 | T | - | 13839.5 | - | - |
2456 | A | - | 10470.23 | - | - |
2457 | V | - | 9909.03 | - | - |
2458 | A | - | 12769.04 | - | - |
2459 | Q | - | 16140.3 | - | - |
2460 | K | - | 5345.29 | - | - |
2461 | T | - | 8285.98 | - | - |
2462 | V | - | 15457.74 | - | - |
2463 | E | - | 12723.95 | - | - |
2464 | G | - | 3477.84 | - | - |
2465 | A | - | 10019.32 | - | - |
2466 | G | - | 7660.29 | - | - |
2467 | S | - | 5998.72 | - | - |
2468 | I | - | 4992.52 | - | - |
2469 | A | - | 8778.33 | - | - |
2470 | A | - | 7991.28 | - | - |
2471 | A | - | 946.5 | - | - |
2472 | T | - | 2632.04 | - | - |
2473 | G | - | 1706.85 | - | - |
2474 | F | - | 1381.84 | - | - |
2475 | V | - | 1188.11 | - | - |
2476 | K | - | 9871.19 | - | - |
2477 | K | - | 9956.83 | - | - |
2478 | D | - | 4756.4 | - | - |
2479 | Q | - | 3810.55 | - | - |
2480 | L | - | 2021.17 | - | - |
2481 | G | - | 104.51 | - | - |
2482 | K | - | 1081.72 | - | - |
2483 | N | - | 187.05 | - | - |
2484 | E | - | 888.05 | - | - |
2485 | E | - | 2374.2 | - | - |
2486 | G | - | 1633.0 | - | - |
2487 | A | - | 621.85 | - | - |
2488 | P | - | 774.71 | - | - |
2489 | Q | - | 2943.57 | - | - |
2490 | E | - | 2662.69 | - | - |
2491 | G | - | 71.16 | - | - |
2492 | I | - | 602.91 | - | - |
2493 | L | - | 1354.76 | - | - |
2494 | E | - | 7.21 | - | - |
2495 | D | - | 0.4 | - | - |
2496 | M | - | 10.74 | - | - |
2497 | P | - | -1.73 | - | - |
2498 | V | - | 1.27 | - | - |
2499 | D | - | 2.01 | - | - |
2500 | P | - | -0.24 | - | - |
2501 | D | - | 0.17 | - | - |
2502 | N | - | 1.43 | - | - |
2503 | E | - | 1.23 | - | - |
2504 | A | - | 0.97 | - | - |
2505 | Y | - | 2.38 | - | - |
2506 | E | - | -0.09 | - | - |
2507 | M | - | 16.02 | - | - |
2508 | P | - | -2.26 | - | - |
2509 | S | - | 0.87 | - | - |
2510 | E | - | -0.26 | - | - |
2511 | E | - | 0.15 | - | - |
2512 | G | - | 2.24 | - | - |
2513 | Y | - | 6.78 | - | - |
2514 | Q | - | 1.76 | - | - |
2515 | D | - | 3.5 | - | - |
2516 | Y | - | 3.09 | - | - |
2517 | E | - | 13.46 | - | - |
2518 | P | - | -1.91 | - | - |
2519 | E | - | 0.22 | - | - |
2520 | A | - | 1.65 | - | - |
2521 | M | - | 51763.87 | - | - |
2522 | D | - | 79154.17 | - | - |
2523 | V | - | 73879.08 | - | - |
2524 | F | - | 78801.03 | - | - |
2525 | M | - | 93386.91 | - | - |
2526 | K | - | 91375.9 | - | - |
2527 | G | - | 50717.37 | - | - |
2528 | L | - | 95668.48 | - | - |
2529 | S | - | 70581.5 | - | - |
2530 | K | - | 78209.9 | - | - |
2531 | A | - | 68538.68 | - | - |
2532 | K | - | 87970.2 | - | - |
2533 | E | - | 85333.13 | - | - |
2534 | G | - | 55213.69 | - | - |
2535 | V | - | 86685.46 | - | - |
2536 | V | - | 82871.08 | - | - |
2537 | A | - | 62333.65 | - | - |
2538 | A | - | 66302.51 | - | - |
2539 | A | - | 58920.55 | - | - |
2540 | E | - | 81601.92 | - | - |
2541 | K | - | 93593.07 | - | - |
2542 | T | - | 80737.29 | - | - |
2543 | K | - | 83044.99 | - | - |
2544 | Q | - | 85463.78 | - | - |
2545 | G | - | 54665.55 | - | - |
2546 | V | - | 84595.79 | - | - |
2547 | A | - | 67099.51 | - | - |
2548 | E | - | 87575.33 | - | - |
2549 | A | - | 53482.69 | - | - |
2550 | A | - | 61675.86 | - | - |
2551 | G | - | 46460.1 | - | - |
2552 | K | - | 76670.67 | - | - |
2553 | T | - | 61576.2 | - | - |
2554 | K | - | 56019.64 | - | - |
2555 | E | - | 34423.01 | - | - |
2556 | G | - | 20108.08 | - | - |
2557 | V | - | 46406.07 | - | - |
2558 | L | - | 27993.15 | - | - |
2559 | Y | - | 23862.37 | - | - |
2560 | V | - | 21482.31 | - | - |
2561 | G | - | 8046.46 | - | - |
2562 | S | - | 18234.8 | - | - |
2563 | K | - | 18617.78 | - | - |
2564 | T | - | 6839.61 | - | - |
2565 | K | - | 22585.55 | - | - |
2566 | E | - | 23356.29 | - | - |
2567 | G | - | 6271.64 | - | - |
2568 | V | - | 10150.87 | - | - |
2569 | V | - | 25635.12 | - | - |
2570 | H | - | 19356.52 | - | - |
2571 | G | - | 6328.82 | - | - |
2572 | V | - | 23303.12 | - | - |
2573 | A | - | 14241.97 | - | - |
2574 | T | - | 13476.08 | - | - |
2575 | V | - | 12950.69 | - | - |
2576 | A | - | 17576.96 | - | - |
2577 | E | - | 13731.32 | - | - |
2578 | K | - | 8896.57 | - | - |
2579 | T | - | 13880.14 | - | - |
2580 | K | - | 17254.52 | - | - |
2581 | E | - | 13497.05 | - | - |
2582 | Q | - | 8977.22 | - | - |
2583 | V | - | 21642.86 | - | - |
2584 | T | - | 10663.56 | - | - |
2585 | N | - | 4897.88 | - | - |
2586 | V | - | 6409.11 | - | - |
2587 | G | - | 8545.53 | - | - |
2588 | G | - | 4904.44 | - | - |
2589 | A | - | 1237.69 | - | - |
2590 | V | - | 10716.76 | - | - |
2591 | V | - | 15045.03 | - | - |
2592 | T | - | 6189.61 | - | - |
2593 | G | - | 2364.77 | - | - |
2594 | V | - | 17190.74 | - | - |
2595 | T | - | 9048.95 | - | - |
2596 | A | - | 3469.81 | - | - |
2597 | V | - | 9599.15 | - | - |
2598 | A | - | 12165.2 | - | - |
2599 | Q | - | 9854.21 | - | - |
2600 | K | - | 2200.56 | - | - |
2601 | T | - | 6873.72 | - | - |
2602 | V | - | 14190.74 | - | - |
2603 | E | - | 8198.87 | - | - |
2604 | G | - | 2009.0 | - | - |
2605 | A | - | 8333.15 | - | - |
2606 | G | - | 5497.13 | - | - |
2607 | S | - | 3234.18 | - | - |
2608 | I | - | 4242.56 | - | - |
2609 | A | - | 9559.17 | - | - |
2610 | A | - | 4461.31 | - | - |
2611 | A | - | 1037.49 | - | - |
2612 | T | - | 4389.09 | - | - |
2613 | G | - | 3175.23 | - | - |
2614 | F | - | 162.43 | - | - |
2615 | V | - | 495.24 | - | - |
2616 | K | - | 970.58 | - | - |
2617 | K | - | 1881.32 | - | - |
2618 | D | - | 1191.79 | - | - |
2619 | Q | - | 3928.39 | - | - |
2620 | L | - | 473.08 | - | - |
2621 | G | - | 192.23 | - | - |
2622 | K | - | 417.43 | - | - |
2623 | N | - | 1686.9 | - | - |
2624 | E | - | 1473.46 | - | - |
2625 | E | - | 101.21 | - | - |
2626 | G | - | 1209.68 | - | - |
2627 | A | - | 200.64 | - | - |
2628 | P | - | 1048.51 | - | - |
2629 | Q | - | 2199.69 | - | - |
2630 | E | - | 305.41 | - | - |
2631 | G | - | 215.66 | - | - |
2632 | I | - | 132.93 | - | - |
2633 | L | - | 609.36 | - | - |
2634 | E | - | 5.91 | - | - |
2635 | D | - | 3.41 | - | - |
2636 | M | - | 12.35 | - | - |
2637 | P | - | -3.44 | - | - |
2638 | V | - | 3.14 | - | - |
2639 | D | - | 11.71 | - | - |
2640 | P | - | 263.74 | - | - |
2641 | D | - | 263.04 | - | - |
2642 | N | - | 556.8 | - | - |
2643 | E | - | 8.9 | - | - |
2644 | A | - | 5.09 | - | - |
2645 | Y | - | 367.02 | - | - |
2646 | E | - | 496.21 | - | - |
2647 | M | - | 1686.8 | - | - |
2648 | P | - | 931.82 | - | - |
2649 | S | - | 115.66 | - | - |
2650 | E | - | 1908.0 | - | - |
2651 | E | - | 188.12 | - | - |
2652 | G | - | 362.11 | - | - |
2653 | Y | - | 1460.68 | - | - |
2654 | Q | - | 1402.48 | - | - |
2655 | D | - | 362.99 | - | - |
2656 | Y | - | 1191.66 | - | - |
2657 | E | - | 2609.16 | - | - |
2658 | P | - | 886.2 | - | - |
2659 | E | - | 2.68 | - | - |
2660 | A | - | 2.49 | - | - |
2661 | M | - | 63430.55 | - | - |
2662 | D | - | 81512.58 | - | - |
2663 | V | - | 79121.99 | - | - |
2664 | F | - | 91571.23 | - | - |
2665 | M | - | 92586.5 | - | - |
2666 | K | - | 95503.63 | - | - |
2667 | G | - | 53056.71 | - | - |
2668 | L | - | 93096.99 | - | - |
2669 | S | - | 73708.1 | - | - |
2670 | K | - | 101841.46 | - | - |
2671 | A | - | 68357.23 | - | - |
2672 | K | - | 94226.75 | - | - |
2673 | E | - | 89000.84 | - | - |
2674 | G | - | 55329.85 | - | - |
2675 | V | - | 90348.98 | - | - |
2676 | V | - | 87865.23 | - | - |
2677 | A | - | 64701.5 | - | - |
2678 | A | - | 66793.65 | - | - |
2679 | A | - | 62606.58 | - | - |
2680 | E | - | 83428.59 | - | - |
2681 | K | - | 92560.45 | - | - |
2682 | T | - | 84663.64 | - | - |
2683 | K | - | 84088.22 | - | - |
2684 | Q | - | 87639.43 | - | - |
2685 | G | - | 55233.85 | - | - |
2686 | V | - | 89180.19 | - | - |
2687 | A | - | 66268.05 | - | - |
2688 | E | - | 83544.16 | - | - |
2689 | A | - | 56054.54 | - | - |
2690 | A | - | 58348.21 | - | - |
2691 | G | - | 50378.98 | - | - |
2692 | K | - | 67574.47 | - | - |
2693 | T | - | 39289.34 | - | - |
2694 | K | - | 73561.9 | - | - |
2695 | E | - | 27313.83 | - | - |
2696 | G | - | 3370.12 | - | - |
2697 | V | - | 10251.85 | - | - |
2698 | L | - | 28759.83 | - | - |
2699 | Y | - | 27139.24 | - | - |
2700 | V | - | 7661.17 | - | - |
2701 | G | - | 9449.68 | - | - |
2702 | S | - | 19853.44 | - | - |
2703 | K | - | 18429.55 | - | - |
2704 | T | - | 8411.09 | - | - |
2705 | K | - | 24746.8 | - | - |
2706 | E | - | 22284.25 | - | - |
2707 | G | - | 7466.89 | - | - |
2708 | V | - | 20827.92 | - | - |
2709 | V | - | 18037.5 | - | - |
2710 | H | - | 13834.4 | - | - |
2711 | G | - | 11630.78 | - | - |
2712 | V | - | 23175.92 | - | - |
2713 | A | - | 7838.25 | - | - |
2714 | T | - | 8624.46 | - | - |
2715 | V | - | 16537.13 | - | - |
2716 | A | - | 11448.93 | - | - |
2717 | E | - | 8424.37 | - | - |
2718 | K | - | 9074.57 | - | - |
2719 | T | - | 18071.67 | - | - |
2720 | K | - | 7384.7 | - | - |
2721 | E | - | 7995.71 | - | - |
2722 | Q | - | 8262.48 | - | - |
2723 | V | - | 12863.45 | - | - |
2724 | T | - | 5554.77 | - | - |
2725 | N | - | 4713.52 | - | - |
2726 | V | - | 10854.27 | - | - |
2727 | G | - | 3991.83 | - | - |
2728 | G | - | 3054.13 | - | - |
2729 | A | - | 3003.26 | - | - |
2730 | V | - | 16419.48 | - | - |
2731 | V | - | 4935.29 | - | - |
2732 | T | - | 4257.49 | - | - |
2733 | G | - | 4036.49 | - | - |
2734 | V | - | 11258.86 | - | - |
2735 | T | - | 5536.61 | - | - |
2736 | A | - | 3211.6 | - | - |
2737 | V | - | 12131.93 | - | - |
2738 | A | - | 7495.94 | - | - |
2739 | Q | - | 3748.95 | - | - |
2740 | K | - | 4028.63 | - | - |
2741 | T | - | 15557.53 | - | - |
2742 | V | - | 4162.76 | - | - |
2743 | E | - | 3164.69 | - | - |
2744 | G | - | 4318.62 | - | - |
2745 | A | - | 6361.48 | - | - |
2746 | G | - | 1869.68 | - | - |
2747 | S | - | 3604.07 | - | - |
2748 | I | - | 10531.52 | - | - |
2749 | A | - | 5748.26 | - | - |
2750 | A | - | 3753.42 | - | - |
2751 | A | - | 2348.94 | - | - |
2752 | T | - | 8276.42 | - | - |
2753 | G | - | 4135.55 | - | - |
2754 | F | - | 4173.55 | - | - |
2755 | V | - | 5308.53 | - | - |
2756 | K | - | 6284.01 | - | - |
2757 | K | - | 4348.75 | - | - |
2758 | D | - | 1087.38 | - | - |
2759 | Q | - | 2517.22 | - | - |
2760 | L | - | 456.57 | - | - |
2761 | G | - | 7.43 | - | - |
2762 | K | - | 90.59 | - | - |
2763 | N | - | 65.32 | - | - |
2764 | E | - | 42.48 | - | - |
2765 | E | - | 0.64 | - | - |
2766 | G | - | 0.22 | - | - |
2767 | A | - | 3.16 | - | - |
2768 | P | - | 2.61 | - | - |
2769 | Q | - | 3.82 | - | - |
2770 | E | - | 546.8 | - | - |
2771 | G | - | 1.49 | - | - |
2772 | I | - | 3.88 | - | - |
2773 | L | - | 19.22 | - | - |
2774 | E | - | 10.16 | - | - |
2775 | D | - | 4.15 | - | - |
2776 | M | - | 31.45 | - | - |
2777 | P | - | 6.34 | - | - |
2778 | V | - | 2.85 | - | - |
2779 | D | - | 22.18 | - | - |
2780 | P | - | 2.11 | - | - |
2781 | D | - | 1.38 | - | - |
2782 | N | - | 273.2 | - | - |
2783 | E | - | 991.18 | - | - |
2784 | A | - | 1191.16 | - | - |
2785 | Y | - | 1967.4 | - | - |
2786 | E | - | 121.61 | - | - |
2787 | M | - | 2189.89 | - | - |
2788 | P | - | 1529.18 | - | - |
2789 | S | - | 6.33 | - | - |
2790 | E | - | 3.74 | - | - |
2791 | E | - | 2.82 | - | - |
2792 | G | - | 0.77 | - | - |
2793 | Y | - | 4.9 | - | - |
2794 | Q | - | 3.65 | - | - |
2795 | D | - | 0.77 | - | - |
2796 | Y | - | 2.58 | - | - |
2797 | E | - | 21.53 | - | - |
2798 | P | - | 545.85 | - | - |
2799 | E | - | 24.13 | - | - |
2800 | A | - | 1593.27 | - | - |
2801 | M | - | 46977.19 | - | - |
2802 | D | - | 79387.37 | - | - |
2803 | V | - | 79917.37 | - | - |
2804 | F | - | 85085.15 | - | - |
2805 | M | - | 92365.15 | - | - |
2806 | K | - | 97893.2 | - | - |
2807 | G | - | 53811.5 | - | - |
2808 | L | - | 93259.69 | - | - |
2809 | S | - | 70958.29 | - | - |
2810 | K | - | 92880.42 | - | - |
2811 | A | - | 67965.47 | - | - |
2812 | K | - | 95261.17 | - | - |
2813 | E | - | 80895.48 | - | - |
2814 | G | - | 53062.45 | - | - |
2815 | V | - | 92507.79 | - | - |
2816 | V | - | 89839.86 | - | - |
2817 | A | - | 62198.62 | - | - |
2818 | A | - | 66326.98 | - | - |
2819 | A | - | 65953.72 | - | - |
2820 | E | - | 87239.72 | - | - |
2821 | K | - | 88849.71 | - | - |
2822 | T | - | 82590.9 | - | - |
2823 | K | - | 98163.99 | - | - |
2824 | Q | - | 96073.22 | - | - |
2825 | G | - | 55650.36 | - | - |
2826 | V | - | 86417.78 | - | - |
2827 | A | - | 65953.18 | - | - |
2828 | E | - | 89228.96 | - | - |
2829 | A | - | 59905.74 | - | - |
2830 | A | - | 59166.28 | - | - |
2831 | G | - | 50121.85 | - | - |
2832 | K | - | 60512.08 | - | - |
2833 | T | - | 50882.53 | - | - |
2834 | K | - | 32678.05 | - | - |
2835 | E | - | 43812.29 | - | - |
2836 | G | - | 16071.11 | - | - |
2837 | V | - | 33823.7 | - | - |
2838 | L | - | 21232.8 | - | - |
2839 | Y | - | 13192.07 | - | - |
2840 | V | - | 3521.66 | - | - |
2841 | G | - | 4682.98 | - | - |
2842 | S | - | 10507.23 | - | - |
2843 | K | - | 6122.58 | - | - |
2844 | T | - | 2790.2 | - | - |
2845 | K | - | 25212.3 | - | - |
2846 | E | - | 7559.67 | - | - |
2847 | G | - | 1591.06 | - | - |
2848 | V | - | 9503.88 | - | - |
2849 | V | - | 20554.23 | - | - |
2850 | H | - | 8044.86 | - | - |
2851 | G | - | 4351.65 | - | - |
2852 | V | - | 24398.83 | - | - |
2853 | A | - | 10082.79 | - | - |
2854 | T | - | 5059.32 | - | - |
2855 | V | - | 9306.49 | - | - |
2856 | A | - | 14456.03 | - | - |
2857 | E | - | 11732.76 | - | - |
2858 | K | - | 8535.3 | - | - |
2859 | T | - | 13209.79 | - | - |
2860 | K | - | 15060.44 | - | - |
2861 | E | - | 11340.62 | - | - |
2862 | Q | - | 10200.34 | - | - |
2863 | V | - | 20404.07 | - | - |
2864 | T | - | 9028.07 | - | - |
2865 | N | - | 6557.62 | - | - |
2866 | V | - | 12101.93 | - | - |
2867 | G | - | 6844.2 | - | - |
2868 | G | - | 5028.92 | - | - |
2869 | A | - | 5911.79 | - | - |
2870 | V | - | 20467.26 | - | - |
2871 | V | - | 8460.99 | - | - |
2872 | T | - | 8393.14 | - | - |
2873 | G | - | 7445.47 | - | - |
2874 | V | - | 16678.46 | - | - |
2875 | T | - | 7491.38 | - | - |
2876 | A | - | 6613.44 | - | - |
2877 | V | - | 17158.09 | - | - |
2878 | A | - | 6886.05 | - | - |
2879 | Q | - | 7187.03 | - | - |
2880 | K | - | 11802.82 | - | - |
2881 | T | - | 18437.74 | - | - |
2882 | V | - | 3633.96 | - | - |
2883 | E | - | 10152.8 | - | - |
2884 | G | - | 6967.54 | - | - |
2885 | A | - | 4178.62 | - | - |
2886 | G | - | 1268.35 | - | - |
2887 | S | - | 7828.26 | - | - |
2888 | I | - | 16874.34 | - | - |
2889 | A | - | 4260.82 | - | - |
2890 | A | - | 4824.14 | - | - |
2891 | A | - | 5684.44 | - | - |
2892 | T | - | 6673.03 | - | - |
2893 | G | - | 3782.48 | - | - |
2894 | F | - | 3837.78 | - | - |
2895 | V | - | 3108.05 | - | - |
2896 | K | - | 3070.87 | - | - |
2897 | K | - | 7328.04 | - | - |
2898 | D | - | 1641.21 | - | - |
2899 | Q | - | 2043.58 | - | - |
2900 | L | - | 378.49 | - | - |
2901 | G | - | 2.9 | - | - |
2902 | K | - | 26.86 | - | - |
2903 | N | - | 20.68 | - | - |
2904 | E | - | 2268.27 | - | - |
2905 | E | - | 155.4 | - | - |
2906 | G | - | 299.09 | - | - |
2907 | A | - | 1139.17 | - | - |
2908 | P | - | 225.72 | - | - |
2909 | Q | - | 1819.05 | - | - |
2910 | E | - | 1176.96 | - | - |
2911 | G | - | 1654.56 | - | - |
2912 | I | - | 582.49 | - | - |
2913 | L | - | 353.61 | - | - |
2914 | E | - | 834.84 | - | - |
2915 | D | - | 1.49 | - | - |
2916 | M | - | 1007.07 | - | - |
2917 | P | - | 2768.18 | - | - |
2918 | V | - | 1726.55 | - | - |
2919 | D | - | 2248.24 | - | - |
2920 | P | - | 937.13 | - | - |
2921 | D | - | 583.68 | - | - |
2922 | N | - | 37.35 | - | - |
2923 | E | - | 100.57 | - | - |
2924 | A | - | 2.31 | - | - |
2925 | Y | - | 4.09 | - | - |
2926 | E | - | 944.73 | - | - |
2927 | M | - | 1435.81 | - | - |
2928 | P | - | 290.73 | - | - |
2929 | S | - | 133.89 | - | - |
2930 | E | - | 432.38 | - | - |
2931 | E | - | 1287.64 | - | - |
2932 | G | - | 742.38 | - | - |
2933 | Y | - | 486.91 | - | - |
2934 | Q | - | 2847.94 | - | - |
2935 | D | - | 2176.27 | - | - |
2936 | Y | - | 3521.31 | - | - |
2937 | E | - | 1964.18 | - | - |
2938 | P | - | 277.73 | - | - |
2939 | E | - | 727.91 | - | - |
2940 | A | - | 5.26 | - | - |
2941 | M | - | 64411.32 | - | - |
2942 | D | - | 78246.12 | - | - |
2943 | V | - | 84474.63 | - | - |
2944 | F | - | 89345.44 | - | - |
2945 | M | - | 91579.61 | - | - |
2946 | K | - | 95386.23 | - | - |
2947 | G | - | 55047.42 | - | - |
2948 | L | - | 85535.25 | - | - |
2949 | S | - | 71102.68 | - | - |
2950 | K | - | 106475.12 | - | - |
2951 | A | - | 64640.21 | - | - |
2952 | K | - | 91329.01 | - | - |
2953 | E | - | 86542.06 | - | - |
2954 | G | - | 52789.88 | - | - |
2955 | V | - | 90518.16 | - | - |
2956 | V | - | 89911.92 | - | - |
2957 | A | - | 59872.53 | - | - |
2958 | A | - | 59787.49 | - | - |
2959 | A | - | 65263.34 | - | - |
2960 | E | - | 79601.77 | - | - |
2961 | K | - | 78964.37 | - | - |
2962 | T | - | 76058.26 | - | - |
2963 | K | - | 86549.36 | - | - |
2964 | Q | - | 87171.64 | - | - |
2965 | G | - | 44834.69 | - | - |
2966 | V | - | 85318.35 | - | - |
2967 | A | - | 64306.04 | - | - |
2968 | E | - | 81073.67 | - | - |
2969 | A | - | 66191.32 | - | - |
2970 | A | - | 45569.9 | - | - |
2971 | G | - | 32908.37 | - | - |
2972 | K | - | 80592.2 | - | - |
2973 | T | - | 55174.84 | - | - |
2974 | K | - | 34028.41 | - | - |
2975 | E | - | 34035.41 | - | - |
2976 | G | - | 33010.6 | - | - |
2977 | V | - | 46691.55 | - | - |
2978 | L | - | 26667.58 | - | - |
2979 | Y | - | 20563.85 | - | - |
2980 | V | - | 18034.14 | - | - |
2981 | G | - | 8904.79 | - | - |
2982 | S | - | 11397.74 | - | - |
2983 | K | - | 11508.05 | - | - |
2984 | T | - | 16198.68 | - | - |
2985 | K | - | 28813.79 | - | - |
2986 | E | - | 16881.17 | - | - |
2987 | G | - | 12193.2 | - | - |
2988 | V | - | 22336.69 | - | - |
2989 | V | - | 12966.17 | - | - |
2990 | H | - | 16910.83 | - | - |
2991 | G | - | 14274.08 | - | - |
2992 | V | - | 13818.5 | - | - |
2993 | A | - | 4657.54 | - | - |
2994 | T | - | 14745.84 | - | - |
2995 | V | - | 20521.08 | - | - |
2996 | A | - | 4455.51 | - | - |
2997 | E | - | 4294.71 | - | - |
2998 | K | - | 27208.47 | - | - |
2999 | T | - | 10232.8 | - | - |
3000 | K | - | 6076.96 | - | - |
3001 | E | - | 9693.62 | - | - |
3002 | Q | - | 21403.8 | - | - |
3003 | V | - | 6947.59 | - | - |
3004 | T | - | 3705.48 | - | - |
3005 | N | - | 20320.25 | - | - |
3006 | V | - | 10453.87 | - | - |
3007 | G | - | 3063.89 | - | - |
3008 | G | - | 6426.06 | - | - |
3009 | A | - | 13908.19 | - | - |
3010 | V | - | 10651.23 | - | - |
3011 | V | - | 7893.17 | - | - |
3012 | T | - | 19401.07 | - | - |
3013 | G | - | 4531.1 | - | - |
3014 | V | - | 7751.8 | - | - |
3015 | T | - | 12902.71 | - | - |
3016 | A | - | 12790.14 | - | - |
3017 | V | - | 7830.8 | - | - |
3018 | A | - | 5367.31 | - | - |
3019 | Q | - | 18721.06 | - | - |
3020 | K | - | 12666.94 | - | - |
3021 | T | - | 4516.45 | - | - |
3022 | V | - | 10411.74 | - | - |
3023 | E | - | 19741.86 | - | - |
3024 | G | - | 1935.14 | - | - |
3025 | A | - | 4910.68 | - | - |
3026 | G | - | 6414.77 | - | - |
3027 | S | - | 1183.1 | - | - |
3028 | I | - | 160.44 | - | - |
3029 | A | - | 2085.72 | - | - |
3030 | A | - | 1257.63 | - | - |
3031 | A | - | 0.29 | - | - |
3032 | T | - | 3.67 | - | - |
3033 | G | - | 873.4 | - | - |
3034 | F | - | 4923.56 | - | - |
3035 | V | - | 503.43 | - | - |
3036 | K | - | 988.76 | - | - |
3037 | K | - | 365.89 | - | - |
3038 | D | - | 1910.85 | - | - |
3039 | Q | - | 5161.1 | - | - |
3040 | L | - | 3476.58 | - | - |
3041 | G | - | 1202.28 | - | - |
3042 | K | - | 4266.87 | - | - |
3043 | N | - | 1163.71 | - | - |
3044 | E | - | 439.87 | - | - |
3045 | E | - | 1436.14 | - | - |
3046 | G | - | 177.32 | - | - |
3047 | A | - | 36.71 | - | - |
3048 | P | - | 374.02 | - | - |
3049 | Q | - | 1770.06 | - | - |
3050 | E | - | 1118.59 | - | - |
3051 | G | - | 202.16 | - | - |
3052 | I | - | 1858.77 | - | - |
3053 | L | - | 128.27 | - | - |
3054 | E | - | 1372.88 | - | - |
3055 | D | - | 1291.4 | - | - |
3056 | M | - | 2951.02 | - | - |
3057 | P | - | 2461.36 | - | - |
3058 | V | - | 5286.05 | - | - |
3059 | D | - | 1762.45 | - | - |
3060 | P | - | 377.8 | - | - |
3061 | D | - | 1616.34 | - | - |
3062 | N | - | 1397.77 | - | - |
3063 | E | - | 1550.48 | - | - |
3064 | A | - | 4.08 | - | - |
3065 | Y | - | 391.09 | - | - |
3066 | E | - | 825.03 | - | - |
3067 | M | - | 508.14 | - | - |
3068 | P | - | 1226.39 | - | - |
3069 | S | - | 9.05 | - | - |
3070 | E | - | 2.01 | - | - |
3071 | E | - | 398.59 | - | - |
3072 | G | - | -0.76 | - | - |
3073 | Y | - | 2.94 | - | - |
3074 | Q | - | 1397.05 | - | - |
3075 | D | - | 83.61 | - | - |
3076 | Y | - | 106.58 | - | - |
3077 | E | - | 88.87 | - | - |
3078 | P | - | 6.03 | - | - |
3079 | E | - | 1.24 | - | - |
3080 | A | - | 1.14 | - | - |
3081 | M | - | 40659.88 | - | - |
3082 | D | - | 69590.68 | - | - |
3083 | V | - | 75676.14 | - | - |
3084 | F | - | 78893.88 | - | - |
3085 | M | - | 89664.05 | - | - |
3086 | K | - | 96219.5 | - | - |
3087 | G | - | 51021.8 | - | - |
3088 | L | - | 89677.1 | - | - |
3089 | S | - | 73916.01 | - | - |
3090 | K | - | 76204.89 | - | - |
3091 | A | - | 64761.55 | - | - |
3092 | K | - | 96117.45 | - | - |
3093 | E | - | 78856.85 | - | - |
3094 | G | - | 48545.61 | - | - |
3095 | V | - | 92460.16 | - | - |
3096 | V | - | 85825.73 | - | - |
3097 | A | - | 56912.08 | - | - |
3098 | A | - | 64980.27 | - | - |
3099 | A | - | 63588.02 | - | - |
3100 | E | - | 76685.68 | - | - |
3101 | K | - | 86591.78 | - | - |
3102 | T | - | 85671.08 | - | - |
3103 | K | - | 92400.67 | - | - |
3104 | Q | - | 90206.08 | - | - |
3105 | G | - | 56260.48 | - | - |
3106 | V | - | 82417.48 | - | - |
3107 | A | - | 62717.28 | - | - |
3108 | E | - | 88042.27 | - | - |
3109 | A | - | 53585.8 | - | - |
3110 | A | - | 53119.19 | - | - |
3111 | G | - | 53062.84 | - | - |
3112 | K | - | 53127.02 | - | - |
3113 | T | - | 46369.04 | - | - |
3114 | K | - | 24672.71 | - | - |
3115 | E | - | 53581.84 | - | - |
3116 | G | - | 15347.35 | - | - |
3117 | V | - | 21867.59 | - | - |
3118 | L | - | 16375.75 | - | - |
3119 | Y | - | 9768.92 | - | - |
3120 | V | - | 6125.64 | - | - |
3121 | G | - | 6984.69 | - | - |
3122 | S | - | 7647.43 | - | - |
3123 | K | - | 3282.99 | - | - |
3124 | T | - | 4289.98 | - | - |
3125 | K | - | 23847.25 | - | - |
3126 | E | - | 2014.2 | - | - |
3127 | G | - | 103.79 | - | - |
3128 | V | - | 4835.61 | - | - |
3129 | V | - | 10969.57 | - | - |
3130 | H | - | 957.58 | - | - |
3131 | G | - | 1194.71 | - | - |
3132 | V | - | 13326.48 | - | - |
3133 | A | - | 3185.98 | - | - |
3134 | T | - | 1732.8 | - | - |
3135 | V | - | 4782.7 | - | - |
3136 | A | - | 5424.22 | - | - |
3137 | E | - | 1690.28 | - | - |
3138 | K | - | 524.33 | - | - |
3139 | T | - | 9543.49 | - | - |
3140 | K | - | 4169.05 | - | - |
3141 | E | - | 2822.14 | - | - |
3142 | Q | - | 5912.89 | - | - |
3143 | V | - | 10780.32 | - | - |
3144 | T | - | 2514.19 | - | - |
3145 | N | - | 3170.48 | - | - |
3146 | V | - | 10140.64 | - | - |
3147 | G | - | 3041.78 | - | - |
3148 | G | - | 2029.08 | - | - |
3149 | A | - | 3903.98 | - | - |
3150 | V | - | 8410.68 | - | - |
3151 | V | - | 1571.33 | - | - |
3152 | T | - | 1899.25 | - | - |
3153 | G | - | 3912.76 | - | - |
3154 | V | - | 5752.89 | - | - |
3155 | T | - | 1867.18 | - | - |
3156 | A | - | 3489.34 | - | - |
3157 | V | - | 10971.43 | - | - |
3158 | A | - | 4212.64 | - | - |
3159 | Q | - | 4113.83 | - | - |
3160 | K | - | 3818.1 | - | - |
3161 | T | - | 9579.99 | - | - |
3162 | V | - | 3904.88 | - | - |
3163 | E | - | 2910.53 | - | - |
3164 | G | - | 5513.12 | - | - |
3165 | A | - | 5737.54 | - | - |
3166 | G | - | 1625.27 | - | - |
3167 | S | - | 5003.77 | - | - |
3168 | I | - | 11845.15 | - | - |
3169 | A | - | 2962.65 | - | - |
3170 | A | - | 1561.87 | - | - |
3171 | A | - | 4416.99 | - | - |
3172 | T | - | 10788.36 | - | - |
3173 | G | - | 1957.76 | - | - |
3174 | F | - | 2721.11 | - | - |
3175 | V | - | 16.01 | - | - |
3176 | K | - | 1592.31 | - | - |
3177 | K | - | 1338.46 | - | - |
3178 | D | - | 1331.88 | - | - |
3179 | Q | - | 1679.84 | - | - |
3180 | L | - | 199.95 | - | - |
3181 | G | - | 1.19 | - | - |
3182 | K | - | 265.47 | - | - |
3183 | N | - | 585.06 | - | - |
3184 | E | - | 2912.84 | - | - |
3185 | E | - | 2055.08 | - | - |
3186 | G | - | 55.27 | - | - |
3187 | A | - | 393.48 | - | - |
3188 | P | - | 760.28 | - | - |
3189 | Q | - | 1.54 | - | - |
3190 | E | - | 5.27 | - | - |
3191 | G | - | -0.71 | - | - |
3192 | I | - | 31.32 | - | - |
3193 | L | - | 50.65 | - | - |
3194 | E | - | 103.7 | - | - |
3195 | D | - | 54.75 | - | - |
3196 | M | - | 1348.36 | - | - |
3197 | P | - | 2431.01 | - | - |
3198 | V | - | 1865.24 | - | - |
3199 | D | - | 43.75 | - | - |
3200 | P | - | 316.42 | - | - |
3201 | D | - | 2.07 | - | - |
3202 | N | - | 3.16 | - | - |
3203 | E | - | 1.34 | - | - |
3204 | A | - | -0.09 | - | - |
3205 | Y | - | 3.42 | - | - |
3206 | E | - | 0.91 | - | - |
3207 | M | - | 9.45 | - | - |
3208 | P | - | 7.44 | - | - |
3209 | S | - | 1.08 | - | - |
3210 | E | - | 3.02 | - | - |
3211 | E | - | 3.54 | - | - |
3212 | G | - | 1.64 | - | - |
3213 | Y | - | 5.55 | - | - |
3214 | Q | - | 2.42 | - | - |
3215 | D | - | 4.61 | - | - |
3216 | Y | - | 3.85 | - | - |
3217 | E | - | 7.03 | - | - |
3218 | P | - | -0.77 | - | - |
3219 | E | - | 2.75 | - | - |
3220 | A | - | 1.7 | - | - |
3221 | M | - | 61697.17 | - | - |
3222 | D | - | 81966.99 | - | - |
3223 | V | - | 81305.8 | - | - |
3224 | F | - | 90902.71 | - | - |
3225 | M | - | 88258.61 | - | - |
3226 | K | - | 98736.37 | - | - |
3227 | G | - | 55088.39 | - | - |
3228 | L | - | 91844.92 | - | - |
3229 | S | - | 72052.39 | - | - |
3230 | K | - | 107280.11 | - | - |
3231 | A | - | 67874.8 | - | - |
3232 | K | - | 92120.71 | - | - |
3233 | E | - | 86635.15 | - | - |
3234 | G | - | 54828.26 | - | - |
3235 | V | - | 92098.1 | - | - |
3236 | V | - | 90345.49 | - | - |
3237 | A | - | 64556.2 | - | - |
3238 | A | - | 66081.29 | - | - |
3239 | A | - | 65886.68 | - | - |
3240 | E | - | 87385.7 | - | - |
3241 | K | - | 90554.29 | - | - |
3242 | T | - | 85012.39 | - | - |
3243 | K | - | 88287.36 | - | - |
3244 | Q | - | 94185.88 | - | - |
3245 | G | - | 52805.12 | - | - |
3246 | V | - | 90295.36 | - | - |
3247 | A | - | 66618.53 | - | - |
3248 | E | - | 83201.81 | - | - |
3249 | A | - | 62948.14 | - | - |
3250 | A | - | 60525.28 | - | - |
3251 | G | - | 46189.85 | - | - |
3252 | K | - | 88539.75 | - | - |
3253 | T | - | 51508.71 | - | - |
3254 | K | - | 43423.58 | - | - |
3255 | E | - | 35572.49 | - | - |
3256 | G | - | 11972.83 | - | - |
3257 | V | - | 36348.28 | - | - |
3258 | L | - | 32575.01 | - | - |
3259 | Y | - | 13597.85 | - | - |
3260 | V | - | 18548.81 | - | - |
3261 | G | - | 11749.88 | - | - |
3262 | S | - | 14320.08 | - | - |
3263 | K | - | 12035.45 | - | - |
3264 | T | - | 13910.5 | - | - |
3265 | K | - | 26184.07 | - | - |
3266 | E | - | 16936.56 | - | - |
3267 | G | - | 11588.38 | - | - |
3268 | V | - | 18526.66 | - | - |
3269 | V | - | 20060.76 | - | - |
3270 | H | - | 24379.73 | - | - |
3271 | G | - | 13403.22 | - | - |
3272 | V | - | 18575.3 | - | - |
3273 | A | - | 11783.52 | - | - |
3274 | T | - | 23909.4 | - | - |
3275 | V | - | 13501.77 | - | - |
3276 | A | - | 10320.04 | - | - |
3277 | E | - | 15144.74 | - | - |
3278 | K | - | 25810.69 | - | - |
3279 | T | - | 10549.78 | - | - |
3280 | K | - | 10993.01 | - | - |
3281 | E | - | 23317.72 | - | - |
3282 | Q | - | 14419.93 | - | - |
3283 | V | - | 8747.51 | - | - |
3284 | T | - | 7618.6 | - | - |
3285 | N | - | 20367.29 | - | - |
3286 | V | - | 10795.56 | - | - |
3287 | G | - | 4143.76 | - | - |
3288 | G | - | 8201.32 | - | - |
3289 | A | - | 13572.28 | - | - |
3290 | V | - | 10010.58 | - | - |
3291 | V | - | 6487.06 | - | - |
3292 | T | - | 17920.86 | - | - |
3293 | G | - | 6069.47 | - | - |
3294 | V | - | 6250.98 | - | - |
3295 | T | - | 7511.71 | - | - |
3296 | A | - | 11846.54 | - | - |
3297 | V | - | 8798.92 | - | - |
3298 | A | - | 2765.49 | - | - |
3299 | Q | - | 10082.12 | - | - |
3300 | K | - | 15946.33 | - | - |
3301 | T | - | 7802.1 | - | - |
3302 | V | - | 3603.66 | - | - |
3303 | E | - | 18198.62 | - | - |
3304 | G | - | 5959.57 | - | - |
3305 | A | - | 3073.4 | - | - |
3306 | G | - | 3871.73 | - | - |
3307 | S | - | 10202.93 | - | - |
3308 | I | - | 10306.32 | - | - |
3309 | A | - | 3722.75 | - | - |
3310 | A | - | 7879.66 | - | - |
3311 | A | - | 5983.86 | - | - |
3312 | T | - | 6379.94 | - | - |
3313 | G | - | 4511.12 | - | - |
3314 | F | - | 10693.06 | - | - |
3315 | V | - | 4166.9 | - | - |
3316 | K | - | 2735.09 | - | - |
3317 | K | - | 3920.18 | - | - |
3318 | D | - | 1475.91 | - | - |
3319 | Q | - | 1172.35 | - | - |
3320 | L | - | 110.14 | - | - |
3321 | G | - | 364.39 | - | - |
3322 | K | - | 596.86 | - | - |
3323 | N | - | 406.02 | - | - |
3324 | E | - | 764.67 | - | - |
3325 | E | - | 433.85 | - | - |
3326 | G | - | 1289.12 | - | - |
3327 | A | - | 3358.71 | - | - |
3328 | P | - | 1374.38 | - | - |
3329 | Q | - | 1023.82 | - | - |
3330 | E | - | 7.42 | - | - |
3331 | G | - | 3.86 | - | - |
3332 | I | - | 2.99 | - | - |
3333 | L | - | 102.97 | - | - |
3334 | E | - | 1.43 | - | - |
3335 | D | - | 0.4 | - | - |
3336 | M | - | 25.22 | - | - |
3337 | P | - | 5.74 | - | - |
3338 | V | - | 2.12 | - | - |
3339 | D | - | 9.7 | - | - |
3340 | P | - | 0.06 | - | - |
3341 | D | - | 0.08 | - | - |
3342 | N | - | 1.2 | - | - |
3343 | E | - | 0.25 | - | - |
3344 | A | - | 0.23 | - | - |
3345 | Y | - | 1.77 | - | - |
3346 | E | - | -0.09 | - | - |
3347 | M | - | 12.79 | - | - |
3348 | P | - | 4.85 | - | - |
3349 | S | - | 2.41 | - | - |
3350 | E | - | 131.44 | - | - |
3351 | E | - | 84.32 | - | - |
3352 | G | - | 702.84 | - | - |
3353 | Y | - | 1815.32 | - | - |
3354 | Q | - | 1834.39 | - | - |
3355 | D | - | 2944.75 | - | - |
3356 | Y | - | 3974.25 | - | - |
3357 | E | - | 3287.13 | - | - |
3358 | P | - | 950.13 | - | - |
3359 | E | - | 282.73 | - | - |
3360 | A | - | 179.71 | - | - |
3361 | M | M | 55063.88 | 7.01 | 55056.87 |
3362 | D | D | 65803.75 | -0.61 | 65804.36 |
3363 | V | V | 73389.95 | 4.23 | 73385.72 |
3364 | F | F | 94113.3 | 8.48 | 94104.82 |
3365 | M | M | 94728.81 | 4.57 | 94724.25 |
3366 | K | K | 93825.83 | 3.26 | 93822.57 |
3367 | G | G | 54734.89 | 0.97 | 54733.92 |
3368 | L | L | 84041.86 | 5.7 | 84036.15 |
3369 | S | S | 71727.54 | 1.86 | 71725.68 |
3370 | K | K | 104766.99 | 4.41 | 104762.58 |
3371 | A | A | 66212.91 | 0.82 | 66212.1 |
3372 | K | K | 88061.6 | 1.15 | 88060.45 |
3373 | E | E | 91354.24 | 1.21 | 91353.03 |
3374 | G | G | 54553.55 | 0.77 | 54552.78 |
3375 | V | V | 89040.53 | 3.22 | 89037.31 |
3376 | V | V | 88325.01 | 2.67 | 88322.34 |
3377 | A | A | 66110.48 | 2.06 | 66108.42 |
3378 | A | A | 65465.18 | 0.05 | 65465.12 |
3379 | A | A | 62850.03 | -0.39 | 62850.43 |
3380 | E | E | 90163.23 | 1.1 | 90162.13 |
3381 | K | K | 91655.99 | 0.99 | 91655.0 |
3382 | T | T | 80361.42 | 2.6 | 80358.82 |
3383 | K | K | 96851.46 | 1.95 | 96849.51 |
3384 | Q | Q | 86343.92 | 8.49 | 86335.42 |
3385 | G | G | 54855.03 | 0.89 | 54854.14 |
3386 | V | V | 86093.38 | 3.26 | 86090.12 |
3387 | A | A | 65979.32 | 2.58 | 65976.74 |
3388 | E | E | 88210.87 | 1.87 | 88209.0 |
3389 | A | A | 56886.78 | 3.51 | 56883.27 |
3390 | A | A | 53461.74 | 5.7 | 53456.04 |
3391 | G | G | 32425.46 | 1.87 | 32423.59 |
3392 | K | K | 67045.47 | 0.85 | 67044.61 |
3393 | T | T | 63848.59 | 10.23 | 63838.36 |
3394 | K | K | 45016.16 | 2.32 | 45013.84 |
3395 | E | E | 43380.89 | 5.26 | 43375.64 |
3396 | G | G | 21475.43 | 2.43 | 21473.0 |
3397 | V | V | 28042.78 | 2.13 | 28040.65 |
3398 | L | L | 23142.17 | -0.08 | 23142.25 |
3399 | Y | Y | 9846.24 | 1.12 | 9845.12 |
3400 | V | V | 7779.07 | 1.2 | 7777.87 |
3401 | G | G | 5202.76 | 1.46 | 5201.31 |
3402 | S | S | 7580.55 | 1.89 | 7578.67 |
3403 | K | K | 2545.23 | 4.43 | 2540.8 |
3404 | T | T | 5500.99 | 0.23 | 5500.76 |
3405 | K | K | 27565.01 | 2.48 | 27562.53 |
3406 | E | E | 7734.69 | 0.94 | 7733.75 |
3407 | G | G | 4117.69 | 1.0 | 4116.69 |
3408 | V | V | 10040.1 | 0.4 | 10039.7 |
3409 | V | V | 24364.27 | 0.72 | 24363.54 |
3410 | H | H | 15344.58 | 2.15 | 15342.44 |
3411 | G | G | 8094.34 | 2.55 | 8091.79 |
3412 | V | V | 24814.98 | 1.24 | 24813.74 |
3413 | A | A | 13545.88 | 0.34 | 13545.54 |
3414 | T | T | 15161.8 | -0.23 | 15162.03 |
3415 | V | V | 14193.73 | -0.38 | 14194.11 |
3416 | A | A | 16507.59 | 3.25 | 16504.34 |
3417 | E | E | 15094.89 | 11.79 | 15083.1 |
3418 | K | K | 17260.38 | 7.2 | 17253.18 |
3419 | T | T | 16108.66 | 1.97 | 16106.69 |
3420 | K | K | 13636.03 | 11.31 | 13624.72 |
3421 | E | E | 18250.23 | 4.17 | 18246.07 |
3422 | Q | Q | 16292.06 | 3.2 | 16288.86 |
3423 | V | V | 21392.92 | 2.04 | 21390.88 |
3424 | T | T | 10259.4 | -0.56 | 10259.95 |
3425 | N | N | 16311.11 | 0.99 | 16310.12 |
3426 | V | V | 17229.59 | -2.57 | 17232.16 |
3427 | G | G | 8407.98 | 1.72 | 8406.25 |
3428 | G | G | 5495.46 | 1.27 | 5494.19 |
3429 | A | A | 14208.14 | -0.13 | 14208.27 |
3430 | V | V | 19836.48 | 0.64 | 19835.85 |
3431 | V | V | 5857.04 | -1.65 | 5858.69 |
3432 | T | T | 14969.13 | -0.73 | 14969.87 |
3433 | G | G | 10539.98 | 0.19 | 10539.79 |
3434 | V | V | 12432.6 | 3.69 | 12428.91 |
3435 | T | T | 4833.82 | -0.81 | 4834.64 |
3436 | A | A | 12263.64 | -1.38 | 12265.02 |
3437 | V | V | 17147.62 | 0.63 | 17146.99 |
3438 | A | A | 7425.89 | -1.52 | 7427.41 |
3439 | Q | Q | 5231.65 | 2.25 | 5229.4 |
3440 | K | K | 25353.29 | 0.03 | 25353.26 |
3441 | T | T | 14220.61 | 1.67 | 14218.94 |
3442 | V | V | 3679.56 | 1.17 | 3678.39 |
3443 | E | E | 11521.83 | 1.71 | 11520.12 |
3444 | G | G | 9553.8 | -0.62 | 9554.42 |
3445 | A | A | 5268.33 | 2.28 | 5266.05 |
3446 | G | G | 1550.45 | -1.81 | 1552.26 |
3447 | S | S | 10880.92 | 0.66 | 10880.26 |
3448 | I | I | 14397.91 | 5.78 | 14392.13 |
3449 | A | A | 2711.71 | 0.54 | 2711.17 |
3450 | A | A | 5460.21 | 1.05 | 5459.16 |
3451 | A | A | 8979.62 | 0.07 | 8979.54 |
3452 | T | T | 6158.28 | 5.77 | 6152.51 |
3453 | G | G | 4424.11 | 1.2 | 4422.91 |
3454 | F | F | 6000.3 | 1.73 | 5998.57 |
3455 | V | V | 3479.32 | 1.3 | 3478.02 |
3456 | K | K | 94.3 | 1.25 | 93.04 |
3457 | K | K | 2617.99 | 0.13 | 2617.85 |
3458 | D | D | 502.95 | 5.42 | 497.53 |
3459 | Q | Q | 1449.15 | 3.59 | 1445.56 |
3460 | L | L | 652.74 | 4.69 | 648.05 |
3461 | G | G | 612.71 | 1.51 | 611.2 |
3462 | K | K | 3357.47 | 2.1 | 3355.36 |
3463 | N | N | 251.13 | 3.18 | 247.95 |
3464 | E | E | 120.53 | 5.77 | 114.75 |
3465 | E | E | 2171.32 | 3.95 | 2167.37 |
3466 | G | G | 1.1 | -0.26 | 1.36 |
3467 | A | A | 3.57 | 1.36 | 2.21 |
3468 | P | P | -1.61 | -2.74 | 1.13 |
3469 | Q | Q | 2.76 | 1.33 | 1.43 |
3470 | E | E | 4.65 | 1.07 | 3.58 |
3471 | G | G | 4.57 | 1.24 | 3.33 |
3472 | I | I | 1.3 | 1.52 | -0.22 |
3473 | L | L | 0.54 | 16.74 | -16.19 |
3474 | E | E | 2.79 | 3.4 | -0.61 |
3475 | D | D | 1.05 | 1.97 | -0.92 |
3476 | M | M | 9.13 | 20.85 | -11.72 |
3477 | P | P | -1.8 | 2.32 | -4.11 |
3478 | V | V | 3.19 | 2.44 | 0.76 |
3479 | D | D | 14.18 | 4.03 | 10.16 |
3480 | P | P | 2.71 | -3.06 | 5.77 |
3481 | D | D | 0.35 | 5.04 | -4.69 |
3482 | N | N | 2.95 | 3.73 | -0.78 |
3483 | E | E | 0.95 | 0.68 | 0.27 |
3484 | A | A | 0.71 | -0.02 | 0.73 |
3485 | Y | Y | 1.48 | 3.69 | -2.21 |
3486 | E | E | -0.15 | 0.62 | -0.77 |
3487 | M | M | 4.17 | 3.73 | 0.44 |
3488 | P | P | -1.11 | -3.19 | 2.08 |
3489 | S | S | 1.43 | 0.06 | 1.37 |
3490 | E | E | 1.13 | 0.15 | 0.98 |
3491 | E | E | 1.59 | 11.2 | -9.62 |
3492 | G | G | 0.14 | 7.93 | -7.79 |
3493 | Y | Y | 5.13 | 3.76 | 1.38 |
3494 | Q | Q | 2.28 | 4.0 | -1.72 |
3495 | D | D | 0.73 | 4.34 | -3.62 |
3496 | Y | Y | 2.6 | 3.97 | -1.37 |
3497 | E | E | 6.59 | 2.0 | 4.59 |
3498 | P | P | -2.03 | -0.42 | -1.61 |
3499 | E | E | 1.78 | 2.53 | -0.75 |
3500 | A | A | 1.0 | 2.04 | -1.05 |
3501 | M | M | 41873.66 | 7.25 | 41866.41 |
3502 | D | D | 72108.55 | 2.54 | 72106.01 |
3503 | V | V | 75484.0 | 1.63 | 75482.37 |
3504 | F | F | 79645.98 | 3.8 | 79642.19 |
3505 | M | M | 90668.08 | 2.33 | 90665.76 |
3506 | K | K | 80875.63 | 6.16 | 80869.48 |
3507 | G | G | 53298.48 | 1.13 | 53297.36 |
3508 | L | L | 90381.18 | 2.86 | 90378.32 |
3509 | S | S | 70144.79 | 4.58 | 70140.21 |
3510 | K | K | 77179.78 | 1.89 | 77177.89 |
3511 | A | A | 67565.64 | 1.33 | 67564.31 |
3512 | K | K | 93413.88 | 3.97 | 93409.91 |
3513 | E | E | 83205.97 | 2.58 | 83203.39 |
3514 | G | G | 50872.38 | 1.7 | 50870.68 |
3515 | V | V | 92127.72 | 2.34 | 92125.37 |
3516 | V | V | 85786.86 | 1.0 | 85785.87 |
3517 | A | A | 56183.15 | 0.1 | 56183.06 |
3518 | A | A | 64158.45 | 1.35 | 64157.1 |
3519 | A | A | 65513.23 | 2.28 | 65510.95 |
3520 | E | E | 83347.71 | 4.11 | 83343.61 |
3521 | K | K | 82335.35 | 4.76 | 82330.59 |
3522 | T | T | 86313.33 | 4.54 | 86308.79 |
3523 | K | K | 98219.04 | 1.46 | 98217.58 |
3524 | Q | Q | 78162.63 | 2.04 | 78160.59 |
3525 | G | G | 55370.2 | 2.45 | 55367.75 |
3526 | V | V | 88338.92 | 3.98 | 88334.94 |
3527 | A | A | 65175.28 | 1.02 | 65174.26 |
3528 | E | E | 87001.18 | 4.44 | 86996.74 |
3529 | A | A | 55301.38 | -0.89 | 55302.27 |
3530 | A | A | 48645.85 | 0.72 | 48645.13 |
3531 | G | G | 50763.52 | 0.81 | 50762.71 |
3532 | K | K | 61344.26 | 0.77 | 61343.49 |
3533 | T | T | 43472.31 | 11.87 | 43460.44 |
3534 | K | K | 68797.13 | 1.99 | 68795.14 |
3535 | E | E | 33701.59 | 5.5 | 33696.09 |
3536 | G | G | 8431.81 | 0.95 | 8430.86 |
3537 | V | V | 28573.85 | 0.87 | 28572.97 |
3538 | L | L | 33130.62 | -1.67 | 33132.29 |
3539 | Y | Y | 22408.37 | -1.08 | 22409.45 |
3540 | V | V | 15542.93 | -0.3 | 15543.22 |
3541 | G | G | 3440.25 | 0.6 | 3439.65 |
3542 | S | S | 5436.24 | 1.31 | 5434.93 |
3543 | K | K | 19029.54 | 6.48 | 19023.06 |
3544 | T | T | 18367.42 | -0.79 | 18368.21 |
3545 | K | K | 9803.02 | 4.07 | 9798.95 |
3546 | E | E | 12777.39 | -0.7 | 12778.09 |
3547 | G | G | 15235.66 | -1.0 | 15236.66 |
3548 | V | V | 16238.07 | -1.46 | 16239.54 |
3549 | V | V | 13522.52 | -2.91 | 13525.43 |
3550 | H | H | 25255.3 | 1.75 | 25253.55 |
3551 | G | G | 14105.33 | 1.72 | 14103.6 |
3552 | V | V | 16633.14 | 0.01 | 16633.13 |
3553 | A | A | 11666.37 | -0.88 | 11667.25 |
3554 | T | T | 23717.12 | -1.08 | 23718.2 |
3555 | V | V | 16147.12 | -2.2 | 16149.32 |
3556 | A | A | 14659.62 | 2.36 | 14657.25 |
3557 | E | E | 15682.19 | 11.65 | 15670.54 |
3558 | K | K | 21597.5 | 8.1 | 21589.4 |
3559 | T | T | 15187.65 | 2.59 | 15185.06 |
3560 | K | K | 17150.53 | 10.67 | 17139.86 |
3561 | E | E | 21121.38 | 6.66 | 21114.71 |
3562 | Q | Q | 17867.99 | 2.86 | 17865.12 |
3563 | V | V | 20152.18 | 0.99 | 20151.18 |
3564 | T | T | 13334.1 | -1.82 | 13335.92 |
3565 | N | N | 18242.45 | 0.52 | 18241.93 |
3566 | V | V | 16381.03 | -4.41 | 16385.44 |
3567 | G | G | 9345.4 | 0.62 | 9344.78 |
3568 | G | G | 7461.69 | 0.42 | 7461.27 |
3569 | A | A | 10686.71 | -1.3 | 10688.02 |
3570 | V | V | 21547.49 | -1.35 | 21548.85 |
3571 | V | V | 12968.34 | -3.3 | 12971.64 |
3572 | T | T | 14752.34 | -1.11 | 14753.45 |
3573 | G | G | 7715.34 | -0.31 | 7715.65 |
3574 | V | V | 20208.12 | 1.8 | 20206.32 |
3575 | T | T | 12152.17 | -2.02 | 12154.19 |
3576 | A | A | 10220.68 | -2.18 | 10222.86 |
3577 | V | V | 13099.57 | -1.22 | 13100.79 |
3578 | A | A | 12253.02 | -0.96 | 12253.98 |
3579 | Q | Q | 13428.49 | 0.3 | 13428.19 |
3580 | K | K | 16455.21 | -0.26 | 16455.48 |
3581 | T | T | 17143.33 | 1.08 | 17142.25 |
3582 | V | V | 13656.69 | -0.26 | 13656.95 |
3583 | E | E | 19710.67 | 2.78 | 19707.89 |
3584 | G | G | 5900.61 | -1.32 | 5901.93 |
3585 | A | A | 12706.17 | 1.06 | 12705.12 |
3586 | G | G | 5867.38 | -1.99 | 5869.37 |
3587 | S | S | 9845.44 | 0.72 | 9844.72 |
3588 | I | I | 12532.97 | 2.99 | 12529.98 |
3589 | A | A | 9708.27 | -0.37 | 9708.64 |
3590 | A | A | 9720.02 | 0.3 | 9719.72 |
3591 | A | A | 7276.86 | -0.76 | 7277.62 |
3592 | T | T | 10921.32 | 4.92 | 10916.41 |
3593 | G | G | 6086.73 | 0.45 | 6086.29 |
3594 | F | F | 10725.08 | -0.61 | 10725.69 |
3595 | V | V | 6130.65 | -0.57 | 6131.22 |
3596 | K | K | 6807.7 | -0.99 | 6808.7 |
3597 | K | K | 2499.38 | 0.1 | 2499.28 |
3598 | D | D | 3322.21 | 6.11 | 3316.1 |
3599 | Q | Q | 1418.9 | 3.28 | 1415.62 |
3600 | L | L | 4337.85 | 7.09 | 4330.76 |
3601 | G | G | 560.55 | 0.7 | 559.84 |
3602 | K | K | 4286.63 | 1.96 | 4284.67 |
3603 | N | N | 3902.36 | 2.41 | 3899.96 |
3604 | E | E | 837.12 | 4.12 | 832.99 |
3605 | E | E | 3116.91 | 2.82 | 3114.08 |
3606 | G | G | 803.3 | 2.06 | 801.25 |
3607 | A | A | 386.49 | 1.6 | 384.89 |
3608 | P | P | 0.2 | -1.2 | 1.4 |
3609 | Q | Q | 169.92 | 3.52 | 166.4 |
3610 | E | E | 0.0 | 3.24 | -3.24 |
3611 | G | G | -1.4 | 3.99 | -5.39 |
3612 | I | I | 0.1 | 4.82 | -4.72 |
3613 | L | L | 1557.93 | 3.66 | 1554.27 |
3614 | E | E | 49.46 | 2.11 | 47.35 |
3615 | D | D | 464.22 | 2.85 | 461.37 |
3616 | M | M | 411.75 | 5.32 | 406.43 |
3617 | P | P | 167.85 | -0.5 | 168.35 |
3618 | V | V | 1310.16 | 2.84 | 1307.32 |
3619 | D | D | 2282.45 | 3.93 | 2278.51 |
3620 | P | P | 3464.97 | -1.58 | 3466.55 |
3621 | D | D | 1274.55 | 0.94 | 1273.6 |
3622 | N | N | 252.24 | 1.19 | 251.05 |
3623 | E | E | 670.68 | 2.14 | 668.53 |
3624 | A | A | 44.1 | 2.04 | 42.06 |
3625 | Y | Y | 2286.63 | 9.03 | 2277.6 |
3626 | E | E | 1020.05 | 3.8 | 1016.26 |
3627 | M | M | 187.58 | 8.12 | 179.46 |
3628 | P | P | -2.17 | -0.65 | -1.52 |
3629 | S | S | -0.84 | -0.73 | -0.11 |
3630 | E | E | 0.99 | 2.45 | -1.46 |
3631 | E | E | 7.36 | 3.18 | 4.18 |
3632 | G | G | 12.39 | -0.76 | 13.15 |
3633 | Y | Y | 7.27 | 3.93 | 3.33 |
3634 | Q | Q | 4.48 | 2.4 | 2.08 |
3635 | D | D | 6.1 | -0.37 | 6.46 |
3636 | Y | Y | 3.71 | 3.26 | 0.44 |
3637 | E | E | 14.18 | 4.62 | 9.56 |
3638 | P | P | -2.43 | -2.01 | -0.42 |
3639 | E | E | 1.45 | 1.04 | 0.41 |
3640 | A | A | 2.05 | 1.17 | 0.88 |
3641 | M | M | 58466.14 | 7.56 | 58458.58 |
3642 | D | D | 67551.56 | 1.2 | 67550.36 |
3643 | V | V | 85048.94 | 12.23 | 85036.71 |
3644 | F | F | 90836.54 | 8.06 | 90828.48 |
3645 | M | M | 86661.16 | 8.02 | 86653.13 |
3646 | K | K | 99089.25 | 2.73 | 99086.52 |
3647 | G | G | 54426.56 | -0.79 | 54427.35 |
3648 | L | L | 86740.03 | 1.83 | 86738.2 |
3649 | S | S | 75055.97 | 0.53 | 75055.45 |
3650 | K | K | 106577.38 | 5.91 | 106571.46 |
3651 | A | A | 65553.27 | 7.42 | 65545.85 |
3652 | K | K | 97448.15 | 8.24 | 97439.91 |
3653 | E | E | 87665.55 | 0.77 | 87664.78 |
3654 | G | G | 52206.36 | 1.61 | 52204.74 |
3655 | V | V | 92250.18 | 1.46 | 92248.72 |
3656 | V | V | 91354.35 | 3.3 | 91351.05 |
3657 | A | A | 61568.27 | 0.67 | 61567.61 |
3658 | A | A | 64029.9 | 1.29 | 64028.61 |
3659 | A | A | 67044.03 | 1.34 | 67042.69 |
3660 | E | E | 77907.37 | 5.59 | 77901.78 |
3661 | K | K | 77570.19 | 5.75 | 77564.43 |
3662 | T | T | 86460.17 | 0.32 | 86459.84 |
3663 | K | K | 96846.71 | 1.74 | 96844.97 |
3664 | Q | Q | 77677.33 | 7.47 | 77669.86 |
3665 | G | G | 54981.25 | 1.81 | 54979.44 |
3666 | V | V | 87617.9 | 2.64 | 87615.26 |
3667 | A | A | 63987.22 | 3.27 | 63983.95 |
3668 | E | E | 91059.42 | 0.71 | 91058.7 |
3669 | A | A | 60988.87 | -1.11 | 60989.98 |
3670 | A | A | 54149.01 | 0.45 | 54148.56 |
3671 | G | G | 49859.88 | 0.8 | 49859.08 |
3672 | K | K | 70609.06 | 1.92 | 70607.14 |
3673 | T | T | 54880.1 | 11.83 | 54868.27 |
3674 | K | K | 62049.1 | 1.97 | 62047.12 |
3675 | E | E | 41599.69 | 5.51 | 41594.19 |
3676 | G | G | 13732.06 | 0.96 | 13731.1 |
3677 | V | V | 12212.68 | 0.89 | 12211.79 |
3678 | L | L | 15509.97 | -1.66 | 15511.63 |
3679 | Y | Y | 12802.19 | -1.07 | 12803.25 |
3680 | V | V | 11749.16 | -0.34 | 11749.49 |
3681 | G | G | 13577.66 | 0.63 | 13577.03 |
3682 | S | S | 8704.97 | 1.33 | 8703.63 |
3683 | K | K | 12026.93 | 6.47 | 12020.47 |
3684 | T | T | 18051.77 | -0.79 | 18052.56 |
3685 | K | K | 27693.99 | 4.07 | 27689.92 |
3686 | E | E | 7954.65 | -0.74 | 7955.39 |
3687 | G | G | 5309.48 | -0.97 | 5310.44 |
3688 | V | V | 24090.09 | -1.37 | 24091.46 |
3689 | V | V | 11968.53 | -2.91 | 11971.44 |
3690 | H | H | 6702.86 | 1.74 | 6701.11 |
3691 | G | G | 7680.76 | 1.71 | 7679.05 |
3692 | V | V | 18665.9 | 0.0 | 18665.9 |
3693 | A | A | 1582.64 | -0.87 | 1583.51 |
3694 | T | T | 4237.03 | -1.08 | 4238.11 |
3695 | V | V | 18062.24 | -2.22 | 18064.46 |
3696 | A | A | 7034.08 | 2.41 | 7031.68 |
3697 | E | E | 3836.23 | 11.66 | 3824.57 |
3698 | K | K | 3205.35 | 8.12 | 3197.23 |
3699 | T | T | 16053.35 | 2.61 | 16050.74 |
3700 | K | K | 4725.21 | 10.75 | 4714.46 |
3701 | E | E | 5085.28 | 6.7 | 5078.58 |
3702 | Q | Q | 11449.9 | 2.91 | 11446.99 |
3703 | V | V | 15411.25 | 1.0 | 15410.26 |
3704 | T | T | 3693.4 | -1.85 | 3695.24 |
3705 | N | N | 4087.67 | 0.47 | 4087.2 |
3706 | V | V | 13476.59 | -4.41 | 13481.0 |
3707 | G | G | 4818.11 | 0.57 | 4817.54 |
3708 | G | G | 2449.22 | 0.47 | 2448.75 |
3709 | A | A | 3058.28 | -1.29 | 3059.57 |
3710 | V | V | 10770.38 | -1.36 | 10771.74 |
3711 | V | V | 4220.5 | -3.29 | 4223.78 |
3712 | T | T | 3129.75 | -1.12 | 3130.87 |
3713 | G | G | 4856.06 | -0.31 | 4856.37 |
3714 | V | V | 14163.18 | 1.8 | 14161.38 |
3715 | T | T | 3999.27 | -2.03 | 4001.3 |
3716 | A | A | 2779.91 | -2.18 | 2782.09 |
3717 | V | V | 8427.96 | -1.27 | 8429.23 |
3718 | A | A | 7519.74 | -0.99 | 7520.73 |
3719 | Q | Q | 6527.21 | 0.29 | 6526.92 |
3720 | K | K | 2890.92 | -0.25 | 2891.17 |
3721 | T | T | 13206.83 | 1.06 | 13205.77 |
3722 | V | V | 8240.09 | -0.26 | 8240.35 |
3723 | E | E | 4620.92 | 2.78 | 4618.13 |
3724 | G | G | 3842.17 | -1.33 | 3843.5 |
3725 | A | A | 13096.77 | 1.04 | 13095.74 |
3726 | G | G | 5049.01 | -1.97 | 5050.98 |
3727 | S | S | 4679.18 | 0.72 | 4678.46 |
3728 | I | I | 7011.63 | 3.03 | 7008.6 |
3729 | A | A | 7034.75 | -0.36 | 7035.12 |
3730 | A | A | 5343.84 | 0.32 | 5343.51 |
3731 | A | A | 3584.2 | -0.76 | 3584.96 |
3732 | T | T | 10168.52 | 4.91 | 10163.61 |
3733 | G | G | 5593.16 | 0.44 | 5592.71 |
3734 | F | F | 7540.22 | -0.62 | 7540.84 |
3735 | V | V | 908.45 | -0.46 | 908.91 |
3736 | K | K | 502.66 | -0.73 | 503.39 |
3737 | K | K | 41.98 | 0.41 | 41.56 |
3738 | D | D | 2.29 | 7.01 | -4.72 |
3739 | Q | Q | 101.23 | 6.21 | 95.02 |
3740 | L | L | 2.55 | 3.88 | -1.34 |
3741 | G | G | 174.67 | 2.16 | 172.51 |
3742 | K | K | 1882.82 | 12.98 | 1869.84 |
3743 | N | N | 117.04 | 7.26 | 109.78 |
3744 | E | E | 1580.65 | 1.24 | 1579.4 |
3745 | E | E | 769.01 | 3.1 | 765.91 |
3746 | G | G | 100.02 | -0.16 | 100.18 |
3747 | A | A | 2.0 | 1.38 | 0.62 |
3748 | P | P | -0.32 | -3.13 | 2.81 |
3749 | Q | Q | 7.87 | 3.4 | 4.47 |
3750 | E | E | 10.64 | 4.18 | 6.46 |
3751 | G | G | 0.45 | 1.82 | -1.37 |
3752 | I | I | 1.35 | 7.15 | -5.8 |
3753 | L | L | 4.28 | 3.32 | 0.96 |
3754 | E | E | 32.32 | 1.39 | 30.93 |
3755 | D | D | 56.16 | 7.0 | 49.17 |
3756 | M | M | 1259.81 | 4.18 | 1255.63 |
3757 | P | P | 1045.61 | -2.78 | 1048.38 |
3758 | V | V | 1321.61 | 1.88 | 1319.74 |
3759 | D | D | 3171.29 | 7.97 | 3163.32 |
3760 | P | P | 2968.95 | -0.16 | 2969.11 |
3761 | D | D | 1958.86 | 1.79 | 1957.07 |
3762 | N | N | 1050.94 | 6.71 | 1044.22 |
3763 | E | E | 10.49 | 6.93 | 3.56 |
3764 | A | A | 1.47 | 4.12 | -2.65 |
3765 | Y | Y | 29.22 | 2.78 | 26.44 |
3766 | E | E | -0.43 | 0.75 | -1.17 |
3767 | M | M | 7.8 | 9.63 | -1.83 |
3768 | P | P | 1.62 | 3.41 | -1.78 |
3769 | S | S | 0.71 | -0.08 | 0.79 |
3770 | E | E | 2.33 | 5.47 | -3.14 |
3771 | E | E | 0.06 | 7.0 | -6.94 |
3772 | G | G | -0.22 | 1.24 | -1.46 |
3773 | Y | Y | 1.05 | 1.36 | -0.3 |
3774 | Q | Q | 3.36 | 6.22 | -2.86 |
3775 | D | D | 2.26 | 0.83 | 1.43 |
3776 | Y | Y | 1.89 | 3.24 | -1.35 |
3777 | E | E | 8.71 | 5.53 | 3.18 |
3778 | P | P | 6.23 | -2.08 | 8.31 |
3779 | E | E | 2.46 | 1.1 | 1.37 |
3780 | A | A | 1.49 | 1.12 | 0.37 |
3781 | M | M | 67057.23 | 9.47 | 67047.77 |
3782 | D | D | 73458.22 | -0.16 | 73458.38 |
3783 | V | V | 74399.44 | 15.54 | 74383.9 |
3784 | F | F | 86702.03 | 8.59 | 86693.45 |
3785 | M | M | 90284.69 | 14.39 | 90270.3 |
3786 | K | K | 96896.27 | 6.52 | 96889.75 |
3787 | G | G | 54736.66 | -1.02 | 54737.68 |
3788 | L | L | 93378.02 | 19.16 | 93358.86 |
3789 | S | S | 69249.24 | 5.37 | 69243.87 |
3790 | K | K | 104940.43 | 3.41 | 104937.02 |
3791 | A | A | 68164.18 | 4.51 | 68159.67 |
3792 | K | K | 90413.27 | 6.33 | 90406.93 |
3793 | E | E | 76690.99 | 1.56 | 76689.43 |
3794 | G | G | 55434.07 | 0.94 | 55433.12 |
3795 | V | V | 91250.14 | 11.07 | 91239.07 |
3796 | V | V | 87879.33 | 6.51 | 87872.82 |
3797 | A | A | 64519.44 | 1.06 | 64518.38 |
3798 | A | A | 66865.82 | 4.14 | 66861.69 |
3799 | A | A | 64527.88 | 4.24 | 64523.64 |
3800 | E | E | 86308.7 | 3.66 | 86305.04 |
3801 | K | K | 91215.96 | 0.64 | 91215.32 |
3802 | T | T | 82200.03 | 0.87 | 82199.17 |
3803 | K | K | 99558.08 | 5.07 | 99553.01 |
3804 | Q | Q | 87761.93 | 7.0 | 87754.93 |
3805 | G | G | 54667.13 | 4.24 | 54662.89 |
3806 | V | V | 88353.74 | 4.76 | 88348.97 |
3807 | A | A | 67731.08 | 2.99 | 67728.1 |
3808 | E | E | 88334.18 | 2.63 | 88331.55 |
3809 | A | A | 60082.11 | 1.71 | 60080.41 |
3810 | A | A | 62697.95 | 1.33 | 62696.62 |
3811 | G | G | 46840.69 | 0.81 | 46839.88 |
3812 | K | K | 83669.3 | 0.53 | 83668.77 |
3813 | T | T | 64721.52 | 11.86 | 64709.66 |
3814 | K | K | 62887.43 | 1.97 | 62885.46 |
3815 | E | E | 38209.57 | 5.5 | 38204.07 |
3816 | G | G | 4232.31 | 0.94 | 4231.36 |
3817 | V | V | 826.39 | 0.88 | 825.51 |
3818 | L | L | 238.14 | -1.64 | 239.78 |
3819 | Y | Y | 5467.0 | -1.09 | 5468.09 |
3820 | V | V | 5117.78 | -0.36 | 5118.14 |
3821 | G | G | 163.78 | 0.67 | 163.11 |
3822 | S | S | 4118.96 | 1.36 | 4117.6 |
3823 | K | K | 25543.71 | 6.48 | 25537.23 |
3824 | T | T | 5846.26 | -0.78 | 5847.04 |
3825 | K | K | 3870.95 | 4.06 | 3866.88 |
3826 | E | E | 15210.7 | -0.75 | 15211.45 |
3827 | G | G | 12367.16 | -0.95 | 12368.11 |
3828 | V | V | 6441.18 | -1.32 | 6442.5 |
3829 | V | V | 8740.26 | -2.86 | 8743.12 |
3830 | H | H | 29831.94 | 1.76 | 29830.18 |
3831 | G | G | 12841.41 | 1.7 | 12839.71 |
3832 | V | V | 8560.75 | 0.0 | 8560.75 |
3833 | A | A | 9064.21 | -0.86 | 9065.07 |
3834 | T | T | 24135.95 | -1.07 | 24137.03 |
3835 | V | V | 15971.81 | -2.23 | 15974.04 |
3836 | A | A | 10421.08 | 2.43 | 10418.65 |
3837 | E | E | 13263.2 | 11.63 | 13251.56 |
3838 | K | K | 27256.31 | 8.12 | 27248.19 |
3839 | T | T | 15257.6 | 2.59 | 15255.01 |
3840 | K | K | 13201.25 | 10.75 | 13190.51 |
3841 | E | E | 21244.62 | 6.73 | 21237.9 |
3842 | Q | Q | 19215.03 | 2.95 | 19212.08 |
3843 | V | V | 18555.76 | 1.02 | 18554.74 |
3844 | T | T | 10213.38 | -1.85 | 10215.23 |
3845 | N | N | 20035.17 | 0.44 | 20034.74 |
3846 | V | V | 18999.68 | -4.4 | 19004.08 |
3847 | G | G | 8453.46 | 0.61 | 8452.85 |
3848 | G | G | 7862.45 | 0.47 | 7861.98 |
3849 | A | A | 11815.6 | -1.29 | 11816.89 |
3850 | V | V | 21597.03 | -1.36 | 21598.39 |
3851 | V | V | 13860.45 | -3.29 | 13863.74 |
3852 | T | T | 15877.17 | -1.11 | 15878.28 |
3853 | G | G | 8370.41 | -0.3 | 8370.71 |
3854 | V | V | 19280.03 | 1.81 | 19278.22 |
3855 | T | T | 13983.72 | -2.03 | 13985.75 |
3856 | A | A | 10880.76 | -2.19 | 10882.95 |
3857 | V | V | 14577.82 | -1.3 | 14579.11 |
3858 | A | A | 12133.43 | -1.01 | 12134.44 |
3859 | Q | Q | 14930.86 | 0.31 | 14930.56 |
3860 | K | K | 16686.73 | -0.25 | 16686.99 |
3861 | T | T | 14936.52 | 1.03 | 14935.49 |
3862 | V | V | 16138.33 | -0.3 | 16138.62 |
3863 | E | E | 20718.59 | 2.77 | 20715.81 |
3864 | G | G | 5720.38 | -1.34 | 5721.72 |
3865 | A | A | 12455.57 | 1.02 | 12454.55 |
3866 | G | G | 5840.92 | -1.96 | 5842.88 |
3867 | S | S | 9552.98 | 0.71 | 9552.26 |
3868 | I | I | 11433.04 | 3.05 | 11429.99 |
3869 | A | A | 9591.64 | -0.37 | 9592.01 |
3870 | A | A | 9713.3 | 0.31 | 9712.99 |
3871 | A | A | 6169.49 | -0.76 | 6170.25 |
3872 | T | T | 9273.24 | 4.86 | 9268.37 |
3873 | G | G | 3498.7 | 0.44 | 3498.26 |
3874 | F | F | 11191.47 | -0.62 | 11192.08 |
3875 | V | V | 3498.66 | -0.39 | 3499.06 |
3876 | K | K | 1844.51 | -0.79 | 1845.3 |
3877 | K | K | 97.56 | 1.86 | 95.7 |
3878 | D | D | 1424.55 | 7.15 | 1417.4 |
3879 | Q | Q | 1382.17 | 7.25 | 1374.92 |
3880 | L | L | 3.21 | 7.26 | -4.05 |
3881 | G | G | 0.93 | 1.53 | -0.6 |
3882 | K | K | 40.84 | 4.7 | 36.14 |
3883 | N | N | 828.05 | 0.87 | 827.17 |
3884 | E | E | 1285.94 | 1.68 | 1284.26 |
3885 | E | E | 172.9 | 0.72 | 172.18 |
3886 | G | G | -1.07 | -0.66 | -0.4 |
3887 | A | A | 11.72 | 1.91 | 9.81 |
3888 | P | P | 1511.05 | -2.42 | 1513.47 |
3889 | Q | Q | 1920.71 | 5.18 | 1915.53 |
3890 | E | E | 859.3 | 5.41 | 853.89 |
3891 | G | G | 975.41 | 3.43 | 971.98 |
3892 | I | I | 51.78 | 9.6 | 42.18 |
3893 | L | L | 1440.6 | 7.66 | 1432.94 |
3894 | E | E | 2.89 | 0.98 | 1.91 |
3895 | D | D | 0.91 | 1.7 | -0.79 |
3896 | M | M | 14.69 | 4.51 | 10.19 |
3897 | P | P | -2.25 | 0.63 | -2.87 |
3898 | V | V | 79.2 | 3.81 | 75.39 |
3899 | D | D | 2359.78 | 1.23 | 2358.55 |
3900 | P | P | 2467.49 | -1.45 | 2468.94 |
3901 | D | D | 371.22 | 1.77 | 369.45 |
3902 | N | N | 185.01 | 4.32 | 180.69 |
3903 | E | E | 94.85 | 0.59 | 94.26 |
3904 | A | A | 557.82 | 2.53 | 555.29 |
3905 | Y | Y | 2917.94 | 2.92 | 2915.02 |
3906 | E | E | 1519.47 | 0.42 | 1519.04 |
3907 | M | M | 1103.9 | 3.12 | 1100.78 |
3908 | P | P | 1.34 | -2.71 | 4.05 |
3909 | S | S | 2.39 | 0.75 | 1.64 |
3910 | E | E | 0.46 | 0.18 | 0.28 |
3911 | E | E | 4.4 | 0.33 | 4.07 |
3912 | G | G | 2.11 | 3.56 | -1.45 |
3913 | Y | Y | 4.52 | 5.93 | -1.41 |
3914 | Q | Q | 3.89 | 4.39 | -0.51 |
3915 | D | D | 2.24 | 1.84 | 0.4 |
3916 | Y | Y | 3.2 | 5.5 | -2.3 |
3917 | E | E | 7.04 | 17.5 | -10.46 |
3918 | P | P | -2.37 | 15.05 | -17.42 |
3919 | E | E | -0.5 | 4.62 | -5.12 |
3920 | A | A | 0.91 | 4.41 | -3.5 |
3921 | M | M | 65749.33 | 3.69 | 65745.64 |
3922 | D | D | 81799.73 | 2.38 | 81797.34 |
3923 | V | V | 80304.11 | 1.32 | 80302.79 |
3924 | F | F | 93129.22 | 3.2 | 93126.02 |
3925 | M | M | 88121.27 | 4.64 | 88116.63 |
3926 | K | K | 87884.56 | 3.36 | 87881.2 |
3927 | G | G | 54698.21 | -1.27 | 54699.47 |
3928 | L | L | 87586.44 | 2.88 | 87583.56 |
3929 | S | S | 74152.42 | 2.77 | 74149.65 |
3930 | K | K | 106366.55 | 6.31 | 106360.24 |
3931 | A | A | 67464.96 | 1.32 | 67463.64 |
3932 | K | K | 94787.35 | 1.99 | 94785.36 |
3933 | E | E | 90939.49 | 3.66 | 90935.84 |
3934 | G | G | 54688.9 | 3.08 | 54685.83 |
3935 | V | V | 92332.86 | 1.44 | 92331.41 |
3936 | V | V | 89904.57 | 2.58 | 89901.98 |
3937 | A | A | 64742.7 | 1.9 | 64740.8 |
3938 | A | A | 66763.4 | 5.97 | 66757.42 |
3939 | A | A | 64533.09 | 2.65 | 64530.44 |
3940 | E | E | 87300.3 | 0.07 | 87300.24 |
3941 | K | K | 92149.69 | 5.41 | 92144.27 |
3942 | T | T | 84581.52 | 5.73 | 84575.79 |
3943 | K | K | 86407.0 | 8.73 | 86398.26 |
3944 | Q | Q | 86563.12 | 5.24 | 86557.88 |
3945 | G | G | 53674.11 | 3.57 | 53670.54 |
3946 | V | V | 90132.38 | 6.92 | 90125.46 |
3947 | A | A | 66368.93 | 5.84 | 66363.09 |
3948 | E | E | 86616.39 | 5.37 | 86611.02 |
3949 | A | A | 63394.23 | 2.07 | 63392.17 |
3950 | A | A | 61502.2 | 2.05 | 61500.16 |
3951 | G | G | 46350.75 | 0.79 | 46349.96 |
3952 | K | K | 86521.5 | 1.15 | 86520.35 |
3953 | T | T | 56170.0 | 11.85 | 56158.15 |
3954 | K | K | 63415.5 | 1.95 | 63413.54 |
3955 | E | E | 40838.14 | 5.52 | 40832.62 |
3956 | G | G | 18897.95 | 0.94 | 18897.01 |
3957 | V | V | 37781.82 | 0.89 | 37780.93 |
3958 | L | L | 24877.55 | -1.65 | 24879.2 |
3959 | Y | Y | 9896.71 | -1.09 | 9897.8 |
3960 | V | V | 15032.43 | -0.38 | 15032.81 |
3961 | G | G | 9954.44 | 0.7 | 9953.75 |
3962 | S | S | 8649.1 | 1.36 | 8647.74 |
3963 | K | K | 15622.14 | 6.5 | 15615.64 |
3964 | T | T | 19441.37 | -0.78 | 19442.15 |
3965 | K | K | 19174.12 | 4.07 | 19170.05 |
3966 | E | E | 19143.0 | -0.75 | 19143.75 |
3967 | G | G | 11497.94 | -0.92 | 11498.86 |
3968 | V | V | 18220.18 | -1.24 | 18221.41 |
3969 | V | V | 21591.08 | -2.87 | 21593.95 |
3970 | H | H | 24033.87 | 1.77 | 24032.1 |
3971 | G | G | 9918.57 | 1.69 | 9916.88 |
3972 | V | V | 19750.26 | -0.0 | 19750.26 |
3973 | A | A | 16164.36 | -0.85 | 16165.21 |
3974 | T | T | 21378.85 | -1.07 | 21379.92 |
3975 | V | V | 9258.03 | -2.24 | 9260.27 |
3976 | A | A | 15700.49 | 2.44 | 15698.05 |
3977 | E | E | 20643.02 | 11.64 | 20631.38 |
3978 | K | K | 16039.59 | 8.17 | 16031.42 |
3979 | T | T | 12361.74 | 2.56 | 12359.18 |
3980 | K | K | 18309.37 | 10.76 | 18298.61 |
3981 | E | E | 24006.75 | 6.69 | 24000.06 |
3982 | Q | Q | 13284.41 | 3.0 | 13281.41 |
3983 | V | V | 17289.45 | 1.05 | 17288.39 |
3984 | T | T | 15274.25 | -1.85 | 15276.09 |
3985 | N | N | 20296.38 | 0.42 | 20295.96 |
3986 | V | V | 14054.43 | -4.39 | 14058.82 |
3987 | G | G | 8931.83 | 0.63 | 8931.19 |
3988 | G | G | 8663.05 | 0.47 | 8662.58 |
3989 | A | A | 10535.35 | -1.29 | 10536.64 |
3990 | V | V | 17061.1 | -1.34 | 17062.44 |
3991 | V | V | 13410.96 | -3.28 | 13414.24 |
3992 | T | T | 18679.54 | -1.1 | 18680.64 |
3993 | G | G | 7350.0 | -0.3 | 7350.3 |
3994 | V | V | 15451.99 | 1.81 | 15450.18 |
3995 | T | T | 12046.86 | -2.02 | 12048.87 |
3996 | A | A | 11378.98 | -2.2 | 11381.18 |
3997 | V | V | 13578.03 | -1.27 | 13579.3 |
3998 | A | A | 10575.32 | -0.99 | 10576.31 |
3999 | Q | Q | 13480.08 | 0.33 | 13479.75 |
4000 | K | K | 19465.35 | -0.25 | 19465.6 |
4001 | T | T | 14052.47 | 1.0 | 14051.47 |
4002 | V | V | 10332.8 | -0.29 | 10333.09 |
4003 | E | E | 21740.16 | 2.77 | 21737.39 |
4004 | G | G | 8273.32 | -1.33 | 8274.65 |
4005 | A | A | 7543.88 | 1.01 | 7542.87 |
4006 | G | G | 3580.63 | -1.96 | 3582.59 |
4007 | S | S | 11585.59 | 0.7 | 11584.89 |
4008 | I | I | 15719.4 | 3.14 | 15716.25 |
4009 | A | A | 5100.15 | -0.39 | 5100.53 |
4010 | A | A | 5604.43 | 0.3 | 5604.13 |
4011 | A | A | 8810.05 | -0.77 | 8810.82 |
4012 | T | T | 9601.23 | 4.83 | 9596.4 |
4013 | G | G | 4008.58 | 0.44 | 4008.15 |
4014 | F | F | 8972.3 | -0.62 | 8972.92 |
4015 | V | V | 8087.89 | -0.16 | 8088.05 |
4016 | K | K | 3012.31 | -0.58 | 3012.89 |
4017 | K | K | 1580.63 | 5.23 | 1575.4 |
4018 | D | D | 2755.15 | 1.5 | 2753.65 |
4019 | Q | Q | 4033.98 | 7.1 | 4026.87 |
4020 | L | L | 6095.14 | 4.26 | 6090.88 |
4021 | G | G | 2271.15 | -0.55 | 2271.7 |
4022 | K | K | 1097.83 | 1.55 | 1096.28 |
4023 | N | N | 1059.58 | 2.88 | 1056.69 |
4024 | E | E | 2991.54 | 3.12 | 2988.42 |
4025 | E | E | 1917.74 | 1.87 | 1915.87 |
4026 | G | G | 848.87 | 2.03 | 846.84 |
4027 | A | A | 4.26 | 0.06 | 4.2 |
4028 | P | P | 13.7 | -3.33 | 17.04 |
4029 | Q | Q | 1.96 | 3.89 | -1.93 |
4030 | E | E | 8.45 | 2.02 | 6.43 |
4031 | G | G | 3.47 | 2.63 | 0.84 |
4032 | I | I | 22.74 | 2.9 | 19.84 |
4033 | L | L | 246.84 | 5.09 | 241.75 |
4034 | E | E | 1.37 | 3.53 | -2.16 |
4035 | D | D | 1388.81 | 2.84 | 1385.96 |
4036 | M | M | 420.05 | 4.53 | 415.53 |
4037 | P | P | 1.79 | -3.08 | 4.87 |
4038 | V | V | 1.48 | 0.57 | 0.91 |
4039 | D | D | 747.23 | 5.57 | 741.66 |
4040 | P | P | 347.15 | 0.79 | 346.37 |
4041 | D | D | 1450.84 | 8.28 | 1442.56 |
4042 | N | N | 17.93 | 0.16 | 17.77 |
4043 | E | E | 6.68 | 3.14 | 3.54 |
4044 | A | A | 0.91 | 2.5 | -1.59 |
4045 | Y | Y | 3.21 | 3.67 | -0.45 |
4046 | E | E | 25.34 | 1.09 | 24.26 |
4047 | M | M | 22.72 | 6.97 | 15.75 |
4048 | P | P | -2.68 | -2.76 | 0.08 |
4049 | S | S | 0.27 | 1.19 | -0.92 |
4050 | E | E | 4.77 | 2.45 | 2.32 |
4051 | E | E | 1.26 | 4.84 | -3.58 |
4052 | G | G | -0.72 | 2.57 | -3.29 |
4053 | Y | Y | 703.7 | 6.01 | 697.69 |
4054 | Q | Q | 3520.04 | 2.29 | 3517.75 |
4055 | D | D | 2710.49 | 2.6 | 2707.89 |
4056 | Y | Y | 1586.05 | 4.63 | 1581.42 |
4057 | E | E | 1877.71 | 5.78 | 1871.93 |
4058 | P | P | 759.3 | 1.94 | 757.36 |
4059 | E | E | 91.36 | 0.87 | 90.49 |
4060 | A | A | 53.67 | 2.74 | 50.93 |
4061 | M | M | 52123.86 | 3.57 | 52120.3 |
4062 | D | D | 76953.65 | -0.14 | 76953.79 |
4063 | V | V | 72911.51 | 7.98 | 72903.53 |
4064 | F | F | 82261.37 | 10.04 | 82251.34 |
4065 | M | M | 87863.15 | 3.78 | 87859.37 |
4066 | K | K | 94432.47 | 15.14 | 94417.33 |
4067 | G | G | 51813.63 | 1.41 | 51812.22 |
4068 | L | L | 89166.74 | 2.47 | 89164.28 |
4069 | S | S | 72844.89 | 8.42 | 72836.47 |
4070 | K | K | 105705.77 | 2.55 | 105703.22 |
4071 | A | A | 67212.22 | 1.73 | 67210.48 |
4072 | K | K | 92173.7 | 2.14 | 92171.55 |
4073 | E | E | 85516.87 | 2.32 | 85514.55 |
4074 | G | G | 52737.93 | 2.44 | 52735.49 |
4075 | V | V | 90332.06 | 3.05 | 90329.02 |
4076 | V | V | 82457.8 | 3.25 | 82454.55 |
4077 | A | A | 55072.32 | 2.51 | 55069.81 |
4078 | A | A | 65861.74 | 3.85 | 65857.89 |
4079 | A | A | 60448.7 | 2.78 | 60445.92 |
4080 | E | E | 72069.06 | 3.4 | 72065.66 |
4081 | K | K | 65170.39 | 2.35 | 65168.03 |
4082 | T | T | 81353.75 | 1.65 | 81352.1 |
4083 | K | K | 90566.51 | 1.17 | 90565.33 |
4084 | Q | Q | 81239.34 | 6.52 | 81232.82 |
4085 | G | G | 54742.71 | 0.37 | 54742.35 |
4086 | V | V | 88014.08 | 3.47 | 88010.61 |
4087 | A | A | 63541.21 | 1.32 | 63539.88 |
4088 | E | E | 90351.0 | 3.45 | 90347.55 |
4089 | A | A | 47618.75 | -1.01 | 47619.76 |
4090 | A | A | 43107.32 | 0.8 | 43106.51 |
4091 | G | G | 51252.77 | 0.74 | 51252.03 |
4092 | K | K | 56106.33 | 1.08 | 56105.25 |
4093 | T | T | 18249.59 | 11.82 | 18237.77 |
4094 | K | K | 73156.73 | 1.95 | 73154.78 |
4095 | E | E | 27604.98 | 5.52 | 27599.46 |
4096 | G | G | 3285.87 | 0.95 | 3284.92 |
4097 | V | V | 11637.97 | 0.88 | 11637.09 |
4098 | L | L | 25698.98 | -1.63 | 25700.61 |
4099 | Y | Y | 13801.82 | -1.09 | 13802.91 |
4100 | V | V | 10000.9 | -0.4 | 10001.3 |
4101 | G | G | 9922.6 | 0.71 | 9921.89 |
4102 | S | S | 9601.26 | 1.37 | 9599.89 |
4103 | K | K | 14219.63 | 6.5 | 14213.13 |
4104 | T | T | 20171.38 | -0.77 | 20172.16 |
4105 | K | K | 15701.11 | 4.07 | 15697.04 |
4106 | E | E | 7491.81 | -0.73 | 7492.55 |
4107 | G | G | 7960.14 | -0.91 | 7961.04 |
4108 | V | V | 25844.04 | -1.19 | 25845.23 |
4109 | V | V | 9805.63 | -2.85 | 9808.48 |
4110 | H | H | 9333.37 | 1.78 | 9331.59 |
4111 | G | G | 10732.64 | 1.69 | 10730.95 |
4112 | V | V | 21622.71 | -0.0 | 21622.71 |
4113 | A | A | 4872.76 | -0.85 | 4873.61 |
4114 | T | T | 10700.38 | -1.08 | 10701.46 |
4115 | V | V | 24667.89 | -2.24 | 24670.13 |
4116 | A | A | 7036.86 | 2.46 | 7034.4 |
4117 | E | E | 3464.76 | 11.67 | 3453.09 |
4118 | K | K | 15109.5 | 8.21 | 15101.29 |
4119 | T | T | 21566.28 | 2.55 | 21563.72 |
4120 | K | K | 6795.64 | 10.8 | 6784.84 |
4121 | E | E | 10109.04 | 6.66 | 10102.38 |
4122 | Q | Q | 18104.85 | 3.06 | 18101.8 |
4123 | V | V | 20171.98 | 1.06 | 20170.92 |
4124 | T | T | 9132.28 | -1.85 | 9134.13 |
4125 | N | N | 14773.51 | 0.39 | 14773.11 |
4126 | V | V | 18917.13 | -4.4 | 18921.53 |
4127 | G | G | 11709.84 | 0.56 | 11709.29 |
4128 | G | G | 5909.97 | 0.49 | 5909.48 |
4129 | A | A | 11167.24 | -1.28 | 11168.52 |
4130 | V | V | 20386.69 | -1.36 | 20388.05 |
4131 | V | V | 7117.74 | -3.27 | 7121.0 |
4132 | T | T | 10777.12 | -1.1 | 10778.23 |
4133 | G | G | 8680.34 | -0.3 | 8680.63 |
4134 | V | V | 22094.66 | 1.83 | 22092.84 |
4135 | T | T | 11720.92 | -2.01 | 11722.93 |
4136 | A | A | 10158.48 | -2.21 | 10160.68 |
4137 | V | V | 9921.78 | -1.31 | 9923.09 |
4138 | A | A | 13703.02 | -0.98 | 13703.99 |
4139 | Q | Q | 13095.68 | 0.34 | 13095.34 |
4140 | K | K | 10812.1 | -0.23 | 10812.34 |
4141 | T | T | 14021.48 | 0.98 | 14020.5 |
4142 | V | V | 15387.55 | -0.3 | 15387.85 |
4143 | E | E | 15446.24 | 2.77 | 15443.47 |
4144 | G | G | 7272.24 | -1.33 | 7273.57 |
4145 | A | A | 14482.65 | 1.01 | 14481.64 |
4146 | G | G | 10467.47 | -1.97 | 10469.44 |
4147 | S | S | 10975.87 | 0.7 | 10975.17 |
4148 | I | I | 8592.39 | 3.16 | 8589.24 |
4149 | A | A | 11411.47 | -0.4 | 11411.87 |
4150 | A | A | 7470.71 | 0.29 | 7470.42 |
4151 | A | A | 7378.7 | -0.76 | 7379.46 |
4152 | T | T | 13443.02 | 4.78 | 13438.23 |
4153 | G | G | 7544.56 | 0.44 | 7544.12 |
4154 | F | F | 14919.49 | -0.62 | 14920.11 |
4155 | V | V | 4722.94 | -0.37 | 4723.31 |
4156 | K | K | 1367.42 | -0.88 | 1368.3 |
4157 | K | K | 1527.02 | 3.28 | 1523.74 |
4158 | D | D | 3670.37 | 11.25 | 3659.12 |
4159 | Q | Q | 4670.51 | 6.52 | 4663.98 |
4160 | L | L | 2055.09 | 8.32 | 2046.77 |
4161 | G | G | 2316.06 | -0.23 | 2316.28 |
4162 | K | K | 1932.65 | 10.86 | 1921.79 |
4163 | N | N | 2247.0 | 4.15 | 2242.84 |
4164 | E | E | 1454.69 | 1.44 | 1453.26 |
4165 | E | E | 4318.24 | 3.53 | 4314.7 |
4166 | G | G | 2153.92 | 2.51 | 2151.41 |
4167 | A | A | 1567.39 | 1.77 | 1565.62 |
4168 | P | P | 171.21 | -0.6 | 171.81 |
4169 | Q | Q | 1499.67 | 2.53 | 1497.14 |
4170 | E | E | 273.11 | -0.44 | 273.55 |
4171 | G | G | 28.0 | 0.81 | 27.18 |
4172 | I | I | 1452.86 | 7.09 | 1445.78 |
4173 | L | L | 366.19 | 6.45 | 359.73 |
4174 | E | E | 1794.57 | 3.17 | 1791.4 |
4175 | D | D | 641.0 | -0.09 | 641.09 |
4176 | M | M | 2519.13 | 3.65 | 2515.48 |
4177 | P | P | 1611.33 | -3.61 | 1614.95 |
4178 | V | V | 1442.36 | 1.86 | 1440.5 |
4179 | D | D | 332.17 | 0.07 | 332.1 |
4180 | P | P | 176.85 | 1.47 | 175.38 |
4181 | D | D | -0.05 | 2.2 | -2.24 |
4182 | N | N | 174.05 | 5.68 | 168.37 |
4183 | E | E | 1.58 | 6.67 | -5.09 |
4184 | A | A | 0.4 | 2.22 | -1.82 |
4185 | Y | Y | 4.36 | 2.89 | 1.46 |
4186 | E | E | 0.93 | 0.34 | 0.58 |
4187 | M | M | 5.64 | 3.88 | 1.77 |
4188 | P | P | -1.33 | -2.39 | 1.06 |
4189 | S | S | 17.99 | 3.28 | 14.72 |
4190 | E | E | 4.58 | 3.96 | 0.62 |
4191 | E | E | 1399.4 | 0.85 | 1398.55 |
4192 | G | G | 200.36 | 2.05 | 198.31 |
4193 | Y | Y | 570.29 | 3.8 | 566.49 |
4194 | Q | Q | 1478.37 | 3.41 | 1474.96 |
4195 | D | D | 40.09 | 7.48 | 32.61 |
4196 | Y | Y | 11.41 | 9.86 | 1.55 |
4197 | E | E | 12.58 | 4.14 | 8.44 |
4198 | P | P | 4.25 | -1.08 | 5.33 |
4199 | E | E | 0.92 | -0.23 | 1.14 |
4200 | A | A | 1.87 | 0.84 | 1.02 |
4201 | M | M | 70015.68 | 4.97 | 70010.71 |
4202 | D | D | 82119.4 | 1.4 | 82118.0 |
4203 | V | V | 82006.42 | 2.99 | 82003.43 |
4204 | F | F | 90456.98 | 4.88 | 90452.1 |
4205 | M | M | 94714.78 | 3.32 | 94711.46 |
4206 | K | K | 87300.61 | 6.03 | 87294.58 |
4207 | G | G | 54446.23 | 5.28 | 54440.96 |
4208 | L | L | 86726.41 | 5.7 | 86720.71 |
4209 | S | S | 72322.56 | 5.6 | 72316.96 |
4210 | K | K | 104862.1 | 3.0 | 104859.1 |
4211 | A | A | 67201.67 | 3.34 | 67198.32 |
4212 | K | K | 91757.26 | 11.4 | 91745.86 |
4213 | E | E | 90863.18 | 10.69 | 90852.49 |
4214 | G | G | 54036.51 | 4.29 | 54032.23 |
4215 | V | V | 92599.94 | 1.89 | 92598.05 |
4216 | V | V | 90877.2 | 3.2 | 90874.0 |
4217 | A | A | 63564.72 | 2.78 | 63561.94 |
4218 | A | A | 66395.4 | 2.05 | 66393.35 |
4219 | A | A | 66091.55 | 2.96 | 66088.58 |
4220 | E | E | 87238.61 | 1.89 | 87236.72 |
4221 | K | K | 90413.54 | 2.85 | 90410.69 |
4222 | T | T | 86086.28 | 3.98 | 86082.3 |
4223 | K | K | 97342.06 | 5.3 | 97336.76 |
4224 | Q | Q | 92044.04 | 2.16 | 92041.89 |
4225 | G | G | 55374.18 | 5.26 | 55368.92 |
4226 | V | V | 83498.96 | 2.72 | 83496.24 |
4227 | A | A | 65601.37 | 0.64 | 65600.74 |
4228 | E | E | 89120.81 | -0.19 | 89121.0 |
4229 | A | A | 61560.43 | 0.91 | 61559.52 |
4230 | A | A | 60310.63 | 0.97 | 60309.66 |
4231 | G | G | 49308.41 | 0.7 | 49307.71 |
4232 | K | K | 77912.13 | 0.92 | 77911.21 |
4233 | T | T | 51163.58 | 11.79 | 51151.79 |
4234 | K | K | 45614.74 | 1.97 | 45612.77 |
4235 | E | E | 59660.74 | 5.51 | 59655.23 |
4236 | G | G | 25133.41 | 0.94 | 25132.46 |
4237 | V | V | 30069.24 | 0.87 | 30068.37 |
4238 | L | L | 31121.58 | -1.65 | 31123.23 |
4239 | Y | Y | 12482.82 | -1.11 | 12483.93 |
4240 | V | V | 19742.89 | -0.41 | 19743.3 |
4241 | G | G | 5938.55 | 0.73 | 5937.81 |
4242 | S | S | 7736.91 | 1.37 | 7735.53 |
4243 | K | K | 19570.85 | 6.5 | 19564.35 |
4244 | T | T | 14251.53 | -0.78 | 14252.3 |
4245 | K | K | 13528.9 | 4.01 | 13524.9 |
4246 | E | E | 15732.09 | -0.71 | 15732.81 |
4247 | G | G | 13048.4 | -0.87 | 13049.27 |
4248 | V | V | 19442.58 | -1.08 | 19443.67 |
4249 | V | V | 11626.49 | -2.85 | 11629.34 |
4250 | H | H | 20971.87 | 1.78 | 20970.09 |
4251 | G | G | 12148.62 | 1.68 | 12146.94 |
4252 | V | V | 15724.97 | -0.01 | 15724.98 |
4253 | A | A | 7536.23 | -0.85 | 7537.08 |
4254 | T | T | 23083.58 | -1.08 | 23084.66 |
4255 | V | V | 20993.57 | -2.25 | 20995.82 |
4256 | A | A | 7874.91 | 2.49 | 7872.41 |
4257 | E | E | 9423.3 | 11.73 | 9411.57 |
4258 | K | K | 28120.08 | 8.22 | 28111.86 |
4259 | T | T | 14600.59 | 2.58 | 14598.01 |
4260 | K | K | 9790.27 | 10.87 | 9779.4 |
4261 | E | E | 16616.53 | 6.7 | 16609.83 |
4262 | Q | Q | 14822.8 | 3.11 | 14819.69 |
4263 | V | V | 14996.09 | 1.09 | 14995.0 |
4264 | T | T | 12647.28 | -1.86 | 12649.14 |
4265 | N | N | 21972.98 | 0.34 | 21972.64 |
4266 | V | V | 13073.26 | -4.4 | 13077.66 |
4267 | G | G | 8934.73 | 0.83 | 8933.9 |
4268 | G | G | 8549.24 | 0.51 | 8548.73 |
4269 | A | A | 10465.01 | -1.28 | 10466.28 |
4270 | V | V | 15387.57 | -1.33 | 15388.9 |
4271 | V | V | 14619.57 | -3.26 | 14622.83 |
4272 | T | T | 18095.62 | -1.12 | 18096.74 |
4273 | G | G | 4590.35 | -0.3 | 4590.65 |
4274 | V | V | 14336.62 | 1.81 | 14334.8 |
4275 | T | T | 15957.94 | -2.01 | 15959.95 |
4276 | A | A | 10269.27 | -2.2 | 10271.47 |
4277 | V | V | 9659.29 | -1.34 | 9660.63 |
4278 | A | A | 10009.12 | -0.99 | 10010.1 |
4279 | Q | Q | 18679.47 | 0.3 | 18679.17 |
4280 | K | K | 13053.65 | -0.2 | 13053.86 |
4281 | T | T | 11241.77 | 0.96 | 11240.81 |
4282 | V | V | 14364.11 | -0.26 | 14364.38 |
4283 | E | E | 19377.34 | 2.8 | 19374.54 |
4284 | G | G | 5158.89 | -1.32 | 5160.21 |
4285 | A | A | 8747.96 | 1.01 | 8746.95 |
4286 | G | G | 9712.15 | -1.97 | 9714.13 |
4287 | S | S | 8329.28 | 0.71 | 8328.57 |
4288 | I | I | 9419.45 | 3.18 | 9416.27 |
4289 | A | A | 9159.16 | -0.41 | 9159.57 |
4290 | A | A | 11231.29 | 0.28 | 11231.01 |
4291 | A | A | 4121.92 | -0.76 | 4122.69 |
4292 | T | T | 5710.78 | 4.81 | 5705.97 |
4293 | G | G | 7585.49 | 0.44 | 7585.05 |
4294 | F | F | 16590.52 | -0.63 | 16591.15 |
4295 | V | V | 5696.29 | -0.15 | 5696.44 |
4296 | K | K | 8007.46 | -0.41 | 8007.87 |
4297 | K | K | 4018.15 | 0.88 | 4017.27 |
4298 | D | D | 2490.81 | 8.11 | 2482.7 |
4299 | Q | Q | 1949.58 | 1.22 | 1948.36 |
4300 | L | L | 6641.05 | 2.48 | 6638.57 |
4301 | G | G | 1126.84 | 1.52 | 1125.32 |
4302 | K | K | 2969.72 | 13.71 | 2956.01 |
4303 | N | N | 1707.59 | 11.3 | 1696.3 |
4304 | E | E | 1695.91 | 2.32 | 1693.6 |
4305 | E | E | 602.66 | 3.92 | 598.74 |
4306 | G | G | 320.84 | 3.0 | 317.84 |
4307 | A | A | 1201.2 | 3.34 | 1197.87 |
4308 | P | P | 1230.6 | 0.75 | 1229.85 |
4309 | Q | Q | 31.61 | 3.94 | 27.67 |
4310 | E | E | 0.88 | 1.18 | -0.3 |
4311 | G | G | 0.25 | 0.7 | -0.45 |
4312 | I | I | 184.73 | 5.31 | 179.42 |
4313 | L | L | 1.0 | 7.89 | -6.89 |
4314 | E | E | -0.16 | 2.27 | -2.42 |
4315 | D | D | 4.0 | 2.0 | 2.0 |
4316 | M | M | 5.79 | 24.49 | -18.7 |
4317 | P | P | 0.05 | 4.44 | -4.39 |
4318 | V | V | 1.4 | 1.95 | -0.54 |
4319 | D | D | 1.64 | 1.96 | -0.32 |
4320 | P | P | 1.48 | -1.91 | 3.39 |
4321 | D | D | 4.28 | 1.32 | 2.96 |
4322 | N | N | 4.79 | 2.67 | 2.12 |
4323 | E | E | 3.82 | 6.18 | -2.36 |
4324 | A | A | 0.82 | 4.47 | -3.65 |
4325 | Y | Y | 4.27 | 2.96 | 1.31 |
4326 | E | E | 0.28 | 1.84 | -1.57 |
4327 | M | M | 14.74 | 5.91 | 8.83 |
4328 | P | P | -0.73 | 0.7 | -1.43 |
4329 | S | S | 0.78 | 0.14 | 0.64 |
4330 | E | E | 1.86 | 6.72 | -4.86 |
4331 | E | E | 1.54 | 6.36 | -4.82 |
4332 | G | G | -0.75 | 3.25 | -4.0 |
4333 | Y | Y | 2.57 | 4.34 | -1.76 |
4334 | Q | Q | 4.42 | 4.02 | 0.4 |
4335 | D | D | 5.85 | 0.21 | 5.63 |
4336 | Y | Y | 261.52 | 2.49 | 259.03 |
4337 | E | E | 546.8 | 5.0 | 541.8 |
4338 | P | P | 705.98 | -1.66 | 707.64 |
4339 | E | E | 10.3 | 1.7 | 8.6 |
4340 | A | A | 2.02 | 2.03 | -0.01 |
4341 | M | M | 60700.07 | 5.64 | 60694.44 |
4342 | D | D | 75723.65 | -0.53 | 75724.18 |
4343 | V | V | 73577.22 | 3.36 | 73573.87 |
4344 | F | F | 88753.31 | 3.07 | 88750.24 |
4345 | M | M | 92363.65 | 2.48 | 92361.16 |
4346 | K | K | 94664.77 | 1.44 | 94663.34 |
4347 | G | G | 53130.67 | 1.93 | 53128.74 |
4348 | L | L | 86677.02 | 4.28 | 86672.75 |
4349 | S | S | 72545.79 | 3.58 | 72542.21 |
4350 | K | K | 107126.79 | 3.61 | 107123.17 |
4351 | A | A | 67151.77 | 1.94 | 67149.83 |
4352 | K | K | 91670.52 | 3.97 | 91666.55 |
4353 | E | E | 81805.03 | 2.2 | 81802.83 |
4354 | G | G | 55301.45 | 5.14 | 55296.31 |
4355 | V | V | 89872.67 | 7.52 | 89865.15 |
4356 | V | V | 85779.89 | 3.41 | 85776.48 |
4357 | A | A | 63167.77 | 1.93 | 63165.84 |
4358 | A | A | 66993.18 | 0.66 | 66992.52 |
4359 | A | A | 64013.5 | 0.05 | 64013.45 |
4360 | E | E | 83326.57 | 1.41 | 83325.16 |
4361 | K | K | 89494.94 | 2.43 | 89492.5 |
4362 | T | T | 82068.93 | -0.43 | 82069.36 |
4363 | K | K | 85160.99 | 2.52 | 85158.47 |
4364 | Q | Q | 84818.93 | 2.81 | 84816.12 |
4365 | G | G | 54154.1 | 0.62 | 54153.48 |
4366 | V | V | 86789.57 | 1.89 | 86787.68 |
4367 | A | A | 67604.03 | 0.16 | 67603.87 |
4368 | E | E | 88457.42 | 2.56 | 88454.87 |
4369 | A | A | 58026.5 | 0.87 | 58025.63 |
4370 | A | A | 59970.72 | 0.82 | 59969.9 |
4371 | G | G | 49602.83 | 0.69 | 49602.14 |
4372 | K | K | 68866.12 | 0.96 | 68865.16 |
4373 | T | T | 58485.83 | 11.77 | 58474.07 |
4374 | K | K | 59880.85 | 1.97 | 59878.88 |
4375 | E | E | 26440.2 | 5.5 | 26434.71 |
4376 | G | G | 14822.8 | 0.92 | 14821.88 |
4377 | V | V | 43355.73 | 0.85 | 43354.88 |
4378 | L | L | 21760.42 | -1.64 | 21762.06 |
4379 | Y | Y | 19921.56 | -1.12 | 19922.68 |
4380 | V | V | 13981.96 | -0.42 | 13982.38 |
4381 | G | G | 10086.31 | 0.77 | 10085.54 |
4382 | S | S | 5573.89 | 1.4 | 5572.49 |
4383 | K | K | 10860.29 | 6.5 | 10853.79 |
4384 | T | T | 22224.52 | -0.76 | 22225.28 |
4385 | K | K | 13495.96 | 4.07 | 13491.89 |
4386 | E | E | 8760.56 | -0.69 | 8761.26 |
4387 | G | G | 13958.09 | -0.83 | 13958.92 |
4388 | V | V | 21224.07 | -0.97 | 21225.04 |
4389 | V | V | 9238.64 | -2.85 | 9241.5 |
4390 | H | H | 13824.79 | 1.78 | 13823.0 |
4391 | G | G | 13631.36 | 1.68 | 13629.68 |
4392 | V | V | 12057.46 | -0.01 | 12057.47 |
4393 | A | A | 5447.63 | -0.86 | 5448.49 |
4394 | T | T | 20697.04 | -1.08 | 20698.11 |
4395 | V | V | 17432.14 | -2.26 | 17434.4 |
4396 | A | A | 4289.73 | 2.54 | 4287.19 |
4397 | E | E | 8503.18 | 11.77 | 8491.41 |
4398 | K | K | 30232.29 | 8.21 | 30224.08 |
4399 | T | T | 7794.42 | 2.6 | 7791.82 |
4400 | K | K | 5361.55 | 10.92 | 5350.62 |
4401 | E | E | 15081.93 | 6.79 | 15075.15 |
4402 | Q | Q | 13214.96 | 3.2 | 13211.76 |
4403 | V | V | 5608.77 | 1.14 | 5607.63 |
4404 | T | T | 6855.7 | -1.87 | 6857.57 |
4405 | N | N | 22161.38 | 0.29 | 22161.09 |
4406 | V | V | 6073.14 | -4.41 | 6077.55 |
4407 | G | G | 2125.32 | 0.42 | 2124.9 |
4408 | G | G | 5473.87 | 0.44 | 5473.43 |
4409 | A | A | 11269.39 | -1.27 | 11270.66 |
4410 | V | V | 6689.49 | -1.31 | 6690.8 |
4411 | V | V | 5158.47 | -3.26 | 5161.72 |
4412 | T | T | 18719.71 | -1.13 | 18720.84 |
4413 | G | G | 4456.9 | -0.3 | 4457.2 |
4414 | V | V | 5688.04 | 1.82 | 5686.22 |
4415 | T | T | 9281.45 | -1.99 | 9283.44 |
4416 | A | A | 11984.23 | -2.19 | 11986.42 |
4417 | V | V | 5964.74 | -1.41 | 5966.15 |
4418 | A | A | 2449.97 | -1.01 | 2450.97 |
4419 | Q | Q | 12454.3 | 0.3 | 12454.0 |
4420 | K | K | 13650.01 | -0.17 | 13650.17 |
4421 | T | T | 5291.05 | 0.93 | 5290.12 |
4422 | V | V | 4353.85 | -0.26 | 4354.11 |
4423 | E | E | 21064.89 | 2.8 | 21062.09 |
4424 | G | G | 4842.15 | -1.33 | 4843.48 |
4425 | A | A | 2618.83 | 1.01 | 2617.82 |
4426 | G | G | 3076.41 | -1.98 | 3078.39 |
4427 | S | S | 10197.09 | 0.73 | 10196.36 |
4428 | I | I | 7912.71 | 3.19 | 7909.52 |
4429 | A | A | 2026.9 | -0.43 | 2027.33 |
4430 | A | A | 6684.96 | 0.27 | 6684.69 |
4431 | A | A | 6450.08 | -0.78 | 6450.85 |
4432 | T | T | 4733.16 | 4.76 | 4728.4 |
4433 | G | G | 4085.25 | 0.46 | 4084.79 |
4434 | F | F | 9220.63 | -0.63 | 9221.26 |
4435 | V | V | 5577.29 | -0.47 | 5577.76 |
4436 | K | K | 5283.21 | -1.21 | 5284.42 |
4437 | K | K | 13512.27 | -0.61 | 13512.88 |
4438 | D | D | 5790.79 | 4.42 | 5786.38 |
4439 | Q | Q | 2090.0 | 6.3 | 2083.71 |
4440 | L | L | 4535.72 | 2.35 | 4533.37 |
4441 | G | G | 2317.67 | -0.39 | 2318.07 |
4442 | K | K | 5119.79 | 2.69 | 5117.1 |
4443 | N | N | 6428.35 | 0.96 | 6427.39 |
4444 | E | E | 250.26 | 4.81 | 245.45 |
4445 | E | E | 1441.32 | 1.76 | 1439.56 |
4446 | G | G | 834.57 | 2.14 | 832.43 |
4447 | A | A | 667.48 | 1.86 | 665.61 |
4448 | P | P | 4599.16 | -0.24 | 4599.4 |
4449 | Q | Q | 303.6 | 3.2 | 300.41 |
4450 | E | E | 1105.41 | 6.48 | 1098.92 |
4451 | G | G | 862.99 | 1.11 | 861.89 |
4452 | I | I | 387.68 | 2.16 | 385.52 |
4453 | L | L | 219.78 | 6.28 | 213.51 |
4454 | E | E | 597.83 | 1.17 | 596.67 |
4455 | D | D | 618.95 | -0.88 | 619.83 |
4456 | M | M | 681.02 | 4.75 | 676.27 |
4457 | P | P | 176.01 | 0.53 | 175.48 |
4458 | V | V | 1207.01 | 4.33 | 1202.68 |
4459 | D | D | 1131.18 | 2.17 | 1129.02 |
4460 | P | P | 241.29 | -2.14 | 243.43 |
4461 | D | D | 233.49 | 4.78 | 228.71 |
4462 | N | N | 182.18 | 2.3 | 179.88 |
4463 | E | E | 2130.56 | 1.03 | 2129.54 |
4464 | A | A | 543.59 | 1.33 | 542.26 |
4465 | Y | Y | 1313.61 | 5.01 | 1308.6 |
4466 | E | E | 1130.74 | 4.99 | 1125.75 |
4467 | M | M | 72.27 | 18.25 | 54.03 |
4468 | P | P | 1130.02 | 5.14 | 1124.88 |
4469 | S | S | 92.42 | 0.74 | 91.68 |
4470 | E | E | 1.41 | 1.95 | -0.54 |
4471 | E | E | 8.61 | 2.21 | 6.41 |
4472 | G | G | 238.11 | 1.3 | 236.82 |
4473 | Y | Y | 503.43 | 3.63 | 499.8 |
4474 | Q | Q | 2.66 | 2.04 | 0.62 |
4475 | D | D | 1.81 | 0.06 | 1.74 |
4476 | Y | Y | 2.86 | 10.09 | -7.22 |
4477 | E | E | 16.99 | 2.49 | 14.5 |
4478 | P | P | -2.67 | -0.99 | -1.68 |
4479 | E | E | 2.6 | 1.56 | 1.04 |
4480 | A | A | 15.97 | 2.84 | 13.13 |
4481 | M | M | 68748.1 | 4.39 | 68743.71 |
4482 | D | D | 77403.29 | 0.05 | 77403.25 |
4483 | V | V | 80965.65 | 1.04 | 80964.61 |
4484 | F | F | 92656.46 | 1.96 | 92654.5 |
4485 | M | M | 88225.81 | 2.08 | 88223.73 |
4486 | K | K | 97842.45 | 2.0 | 97840.45 |
4487 | G | G | 55298.51 | 1.98 | 55296.54 |
4488 | L | L | 88126.4 | 1.8 | 88124.59 |
4489 | S | S | 72152.97 | -0.09 | 72153.06 |
4490 | K | K | 103803.16 | 1.1 | 103802.06 |
4491 | A | A | 67312.73 | 2.31 | 67310.42 |
4492 | K | K | 91126.89 | 3.85 | 91123.04 |
4493 | E | E | 81597.89 | 1.58 | 81596.31 |
4494 | G | G | 54711.14 | 0.85 | 54710.29 |
4495 | V | V | 91108.19 | 1.52 | 91106.67 |
4496 | V | V | 90271.01 | 2.64 | 90268.37 |
4497 | A | A | 65999.86 | 3.63 | 65996.23 |
4498 | A | A | 65392.42 | 2.5 | 65389.92 |
4499 | A | A | 64476.5 | 5.22 | 64471.27 |
4500 | E | E | 89173.2 | 15.66 | 89157.54 |
4501 | K | K | 92022.19 | 17.8 | 92004.39 |
4502 | T | T | 80675.57 | 13.28 | 80662.29 |
4503 | K | K | 97816.88 | 4.46 | 97812.42 |
4504 | Q | Q | 87763.9 | 6.84 | 87757.05 |
4505 | G | G | 54796.29 | -0.64 | 54796.93 |
4506 | V | V | 87961.97 | 1.56 | 87960.41 |
4507 | A | A | 67069.29 | -0.1 | 67069.39 |
4508 | E | E | 86604.1 | 4.22 | 86599.88 |
4509 | A | A | 63309.41 | -0.5 | 63309.9 |
4510 | A | A | 62483.33 | 0.71 | 62482.61 |
4511 | G | G | 42727.26 | 0.66 | 42726.61 |
4512 | K | K | 76802.59 | 1.01 | 76801.58 |
4513 | T | T | 61170.62 | 11.72 | 61158.91 |
4514 | K | K | 39200.6 | 1.98 | 39198.62 |
4515 | E | E | 47589.79 | 5.46 | 47584.33 |
4516 | G | G | 19353.93 | 0.88 | 19353.05 |
4517 | V | V | 34344.29 | 0.82 | 34343.46 |
4518 | L | L | 26580.52 | -1.64 | 26582.16 |
4519 | Y | Y | 15813.5 | -1.14 | 15814.64 |
4520 | V | V | 8949.06 | -0.52 | 8949.58 |
4521 | G | G | 7591.67 | 0.69 | 7590.98 |
4522 | S | S | 11497.64 | 1.41 | 11496.23 |
4523 | K | K | 21196.85 | 6.37 | 21190.49 |
4524 | T | T | 11934.23 | -0.76 | 11935.0 |
4525 | K | K | 12773.33 | 4.04 | 12769.29 |
4526 | E | E | 22154.57 | -0.69 | 22155.25 |
4527 | G | G | 9425.17 | -0.79 | 9425.96 |
4528 | V | V | 10658.37 | -0.9 | 10659.27 |
4529 | V | V | 15938.54 | -2.88 | 15941.42 |
4530 | H | H | 29814.05 | 1.79 | 29812.26 |
4531 | G | G | 4682.58 | 1.68 | 4680.9 |
4532 | V | V | 7468.91 | -0.02 | 7468.92 |
4533 | A | A | 13343.95 | -0.85 | 13344.8 |
4534 | T | T | 17878.97 | -1.07 | 17880.04 |
4535 | V | V | 2864.43 | -2.26 | 2866.69 |
4536 | A | A | 2338.67 | 2.58 | 2336.09 |
4537 | E | E | 22454.51 | 11.76 | 22442.75 |
4538 | K | K | 6980.6 | 8.23 | 6972.37 |
4539 | T | T | 1754.53 | 2.61 | 1751.92 |
4540 | K | K | 8477.83 | 10.92 | 8466.91 |
4541 | E | E | 21551.21 | 6.84 | 21544.37 |
4542 | Q | Q | 1854.68 | 3.26 | 1851.42 |
4543 | V | V | 1662.95 | 1.18 | 1661.77 |
4544 | T | T | 10026.29 | -1.88 | 10028.17 |
4545 | N | N | 10779.99 | 0.28 | 10779.72 |
4546 | V | V | 2286.56 | -4.4 | 2290.96 |
4547 | G | G | 904.34 | 0.59 | 903.76 |
4548 | G | G | 6170.61 | 0.47 | 6170.14 |
4549 | A | A | 3902.2 | -1.26 | 3903.46 |
4550 | V | V | 2411.2 | -1.3 | 2412.49 |
4551 | V | V | 4555.42 | -3.25 | 4558.67 |
4552 | T | T | 12961.97 | -1.12 | 12963.09 |
4553 | G | G | 856.94 | -0.29 | 857.23 |
4554 | V | V | 1294.09 | 1.83 | 1292.27 |
4555 | T | T | 8524.02 | -1.98 | 8526.0 |
4556 | A | A | 7956.89 | -2.18 | 7959.07 |
4557 | V | V | 2761.61 | -1.45 | 2763.06 |
4558 | A | A | 586.47 | -1.0 | 587.46 |
4559 | Q | Q | 11805.61 | 0.35 | 11805.25 |
4560 | K | K | 8656.95 | -0.13 | 8657.08 |
4561 | T | T | 1733.48 | 0.91 | 1732.57 |
4562 | V | V | 2731.01 | -0.26 | 2731.26 |
4563 | E | E | 15368.44 | 2.8 | 15365.65 |
4564 | G | G | 2672.97 | -1.32 | 2674.29 |
4565 | A | A | 504.13 | 1.01 | 503.12 |
4566 | G | G | 3092.48 | -1.98 | 3094.46 |
4567 | S | S | 9522.59 | 0.73 | 9521.86 |
4568 | I | I | 3132.16 | 3.24 | 3128.91 |
4569 | A | A | 1602.45 | -0.43 | 1602.88 |
4570 | A | A | 7289.77 | 0.25 | 7289.51 |
4571 | A | A | 3304.03 | -0.78 | 3304.81 |
4572 | T | T | 1874.97 | 4.72 | 1870.25 |
4573 | G | G | 2634.8 | 0.48 | 2634.32 |
4574 | F | F | 5841.62 | -0.63 | 5842.25 |
4575 | V | V | 3414.06 | -0.09 | 3414.15 |
4576 | K | K | 917.31 | -0.46 | 917.77 |
4577 | K | K | 1359.73 | 3.25 | 1356.48 |
4578 | D | D | 545.29 | 0.38 | 544.91 |
4579 | Q | Q | 5.82 | 4.85 | 0.97 |
4580 | L | L | 1357.27 | 2.95 | 1354.31 |
4581 | G | G | 72.47 | 2.86 | 69.61 |
4582 | K | K | 1385.57 | 1.95 | 1383.62 |
4583 | N | N | 4.77 | 2.94 | 1.84 |
4584 | E | E | 2078.49 | 0.19 | 2078.31 |
4585 | E | E | 273.93 | 2.27 | 271.66 |
4586 | G | G | 447.46 | 1.71 | 445.76 |
4587 | A | A | 1342.36 | 2.03 | 1340.33 |
4588 | P | P | 1254.29 | -2.55 | 1256.84 |
4589 | Q | Q | 1761.74 | 0.65 | 1761.09 |
4590 | E | E | 366.9 | 0.26 | 366.64 |
4591 | G | G | -0.15 | 4.59 | -4.74 |
4592 | I | I | 1.86 | 6.63 | -4.77 |
4593 | L | L | 475.42 | 1.43 | 473.98 |
4594 | E | E | 517.23 | 3.18 | 514.05 |
4595 | D | D | 0.63 | 1.4 | -0.77 |
4596 | M | M | 29.49 | 11.21 | 18.28 |
4597 | P | P | 317.95 | 3.66 | 314.29 |
4598 | V | V | 46.12 | 4.3 | 41.82 |
4599 | D | D | 3.78 | 7.02 | -3.25 |
4600 | P | P | -0.01 | 0.69 | -0.7 |
4601 | D | D | 871.74 | 2.74 | 869.0 |
4602 | N | N | 72.91 | 0.75 | 72.16 |
4603 | E | E | 1.17 | 2.05 | -0.88 |
4604 | A | A | -0.03 | 0.28 | -0.31 |
4605 | Y | Y | 1.9 | 2.22 | -0.32 |
4606 | E | E | 2.5 | 5.5 | -3.01 |
4607 | M | M | 7.39 | 6.36 | 1.03 |
4608 | P | P | 0.15 | -0.17 | 0.32 |
4609 | S | S | 13.52 | -0.36 | 13.88 |
4610 | E | E | 9.13 | 1.9 | 7.23 |
4611 | E | E | 8.64 | 3.06 | 5.57 |
4612 | G | G | 5.24 | 0.45 | 4.79 |
4613 | Y | Y | 6.21 | 4.21 | 2.0 |
4614 | Q | Q | 5.27 | 2.85 | 2.41 |
4615 | D | D | 3.37 | 3.36 | 0.01 |
4616 | Y | Y | 3.89 | 3.44 | 0.45 |
4617 | E | E | 5.15 | 4.69 | 0.47 |
4618 | P | P | -2.38 | -1.46 | -0.92 |
4619 | E | E | 0.15 | 0.88 | -0.73 |
4620 | A | A | 0.94 | 1.06 | -0.11 |
4621 | M | M | 48043.21 | 3.67 | 48039.55 |
4622 | D | D | 79201.54 | 1.6 | 79199.95 |
4623 | V | V | 78972.84 | 8.23 | 78964.61 |
4624 | F | F | 85839.92 | 9.19 | 85830.73 |
4625 | M | M | 84774.68 | 6.06 | 84768.62 |
4626 | K | K | 96823.47 | 2.72 | 96820.75 |
4627 | G | G | 54257.14 | 0.56 | 54256.58 |
4628 | L | L | 87677.87 | 6.42 | 87671.44 |
4629 | S | S | 70956.77 | 2.19 | 70954.58 |
4630 | K | K | 104508.99 | 1.53 | 104507.45 |
4631 | A | A | 68467.13 | 0.54 | 68466.6 |
4632 | K | K | 93654.82 | 3.95 | 93650.87 |
4633 | E | E | 81274.28 | 0.63 | 81273.65 |
4634 | G | G | 52874.48 | -0.85 | 52875.33 |
4635 | V | V | 92607.02 | 1.45 | 92605.57 |
4636 | V | V | 87763.12 | 2.81 | 87760.31 |
4637 | A | A | 59876.56 | 0.51 | 59876.04 |
4638 | A | A | 64569.76 | 0.98 | 64568.78 |
4639 | A | A | 66966.62 | 0.84 | 66965.78 |
4640 | E | E | 86338.11 | 0.97 | 86337.14 |
4641 | K | K | 86804.07 | 5.2 | 86798.87 |
4642 | T | T | 86494.14 | 1.81 | 86492.33 |
4643 | K | K | 97138.91 | 11.59 | 97127.32 |
4644 | Q | Q | 93542.74 | 10.55 | 93532.19 |
4645 | G | G | 55727.15 | 0.74 | 55726.42 |
4646 | V | V | 87420.24 | 3.26 | 87416.98 |
4647 | A | A | 64830.83 | 3.53 | 64827.29 |
4648 | E | E | 86735.2 | 6.67 | 86728.53 |
4649 | A | A | 59455.44 | 6.64 | 59448.8 |
4650 | A | A | 57172.16 | 0.86 | 57171.3 |
4651 | G | G | 50221.4 | 1.58 | 50219.82 |
4652 | K | K | 82750.5 | 1.44 | 82749.06 |
4653 | T | T | 54441.48 | 10.51 | 54430.97 |
4654 | K | K | 67829.33 | 2.46 | 67826.87 |
4655 | E | E | 23958.44 | 4.46 | 23953.98 |
4656 | G | G | 16533.0 | 1.41 | 16531.59 |
4657 | V | V | 19756.24 | 2.55 | 19753.69 |
4658 | L | L | 2044.3 | 0.29 | 2044.01 |
4659 | Y | Y | 9435.21 | 0.88 | 9434.33 |
4660 | V | V | 3290.35 | 1.16 | 3289.19 |
4661 | G | G | 1688.24 | 1.78 | 1686.47 |
4662 | S | S | 5399.89 | 1.45 | 5398.44 |
4663 | K | K | 24867.98 | 5.01 | 24862.97 |
4664 | T | T | 7299.8 | 0.03 | 7299.77 |
4665 | K | K | 6002.7 | 3.09 | 5999.62 |
4666 | E | E | 18897.68 | 0.02 | 18897.66 |
4667 | G | G | 11615.44 | 0.43 | 11615.01 |
4668 | V | V | 9879.42 | 0.75 | 9878.67 |
4669 | V | V | 11952.33 | -1.44 | 11953.77 |
4670 | H | H | 26888.36 | 2.2 | 26886.16 |
4671 | G | G | 9977.83 | 2.15 | 9975.69 |
4672 | V | V | 11289.73 | 1.75 | 11287.99 |
4673 | A | A | 10981.53 | -0.13 | 10981.66 |
4674 | T | T | 24512.42 | 0.23 | 24512.19 |
4675 | V | V | 15666.04 | -0.95 | 15666.99 |
4676 | A | A | 10643.46 | 4.09 | 10639.37 |
4677 | E | E | 16661.45 | 12.21 | 16649.24 |
4678 | K | K | 23270.04 | 7.27 | 23262.77 |
4679 | T | T | 12574.19 | 3.15 | 12571.04 |
4680 | K | K | 12601.9 | 7.58 | 12594.32 |
4681 | E | E | 20287.52 | 6.28 | 20281.24 |
4682 | Q | Q | 15854.12 | 4.11 | 15850.02 |
4683 | V | V | 15472.16 | 2.17 | 15469.99 |
4684 | T | T | 12252.59 | -1.01 | 12253.6 |
4685 | N | N | 19777.51 | 1.28 | 19776.24 |
4686 | V | V | 18006.17 | -2.21 | 18008.37 |
4687 | G | G | 7669.63 | 2.05 | 7667.58 |
4688 | G | G | 6732.65 | 1.89 | 6730.76 |
4689 | A | A | 11653.73 | -0.52 | 11654.25 |
4690 | V | V | 18303.52 | 0.03 | 18303.49 |
4691 | V | V | 10310.84 | -2.11 | 10312.95 |
4692 | T | T | 16137.66 | -0.35 | 16138.01 |
4693 | G | G | 8969.81 | 0.38 | 8969.43 |
4694 | V | V | 15969.21 | 3.3 | 15965.91 |
4695 | T | T | 10235.14 | -0.8 | 10235.93 |
4696 | A | A | 11295.35 | -0.43 | 11295.78 |
4697 | V | V | 15185.43 | 0.57 | 15184.86 |
4698 | A | A | 10137.9 | 1.04 | 10136.86 |
4699 | Q | Q | 14204.64 | 0.63 | 14204.0 |
4700 | K | K | 19024.58 | 1.71 | 19022.87 |
4701 | T | T | 14436.63 | 1.27 | 14435.37 |
4702 | V | V | 11917.96 | 1.34 | 11916.62 |
4703 | E | E | 21386.23 | 1.81 | 21384.42 |
4704 | G | G | 7510.18 | -0.85 | 7511.03 |
4705 | A | A | 9388.92 | 2.21 | 9386.72 |
4706 | G | G | 6301.31 | -1.17 | 6302.48 |
4707 | S | S | 10659.5 | 0.24 | 10659.26 |
4708 | I | I | 15358.28 | 4.73 | 15353.54 |
4709 | A | A | 6805.29 | 0.68 | 6804.61 |
4710 | A | A | 9027.57 | 1.66 | 9025.91 |
4711 | A | A | 7808.59 | 0.25 | 7808.34 |
4712 | T | T | 11022.84 | 6.19 | 11016.65 |
4713 | G | G | 5138.06 | 1.22 | 5136.84 |
4714 | F | F | 6503.4 | 1.67 | 6501.73 |
4715 | V | V | 5699.76 | 1.63 | 5698.13 |
4716 | K | K | 7384.56 | -0.46 | 7385.01 |
4717 | K | K | 2727.54 | 3.25 | 2724.29 |
4718 | D | D | 1319.78 | 2.61 | 1317.17 |
4719 | Q | Q | 415.82 | 6.89 | 408.93 |
4720 | L | L | 2479.27 | 3.24 | 2476.03 |
4721 | G | G | 945.41 | 1.39 | 944.02 |
4722 | K | K | 6976.58 | 7.26 | 6969.32 |
4723 | N | N | 4507.63 | 5.09 | 4502.54 |
4724 | E | E | 555.86 | 0.64 | 555.22 |
4725 | E | E | 595.68 | 2.34 | 593.34 |
4726 | G | G | 0.0 | -0.56 | 0.57 |
4727 | A | A | 3.93 | 1.41 | 2.52 |
4728 | P | P | -0.23 | -1.2 | 0.97 |
4729 | Q | Q | 12.06 | 1.56 | 10.5 |
4730 | E | E | 146.28 | 1.4 | 144.88 |
4731 | G | G | 53.25 | 1.85 | 51.4 |
4732 | I | I | 2780.72 | 1.69 | 2779.03 |
4733 | L | L | 602.12 | 1.89 | 600.23 |
4734 | E | E | 5.83 | -0.53 | 6.35 |
4735 | D | D | 833.27 | 4.45 | 828.82 |
4736 | M | M | 294.1 | 9.56 | 284.55 |
4737 | P | P | 433.93 | 3.79 | 430.13 |
4738 | V | V | 433.34 | 2.78 | 430.56 |
4739 | D | D | 646.05 | 3.59 | 642.46 |
4740 | P | P | 2.39 | -0.9 | 3.3 |
4741 | D | D | 112.48 | -0.53 | 113.01 |
4742 | N | N | 2.32 | 0.73 | 1.58 |
4743 | E | E | 42.41 | 1.41 | 41.0 |
4744 | A | A | 0.35 | 0.87 | -0.52 |
4745 | Y | Y | 29.85 | 2.83 | 27.02 |
4746 | E | E | 7.92 | 1.53 | 6.39 |
4747 | M | M | 12.78 | 6.05 | 6.74 |
4748 | P | P | 7.04 | -2.04 | 9.08 |
4749 | S | S | 2.33 | -0.27 | 2.59 |
4750 | E | E | 0.37 | 0.92 | -0.56 |
4751 | E | E | 3.5 | 0.91 | 2.59 |
4752 | G | G | -0.33 | -0.45 | 0.12 |
4753 | Y | Y | 359.72 | 3.23 | 356.49 |
4754 | Q | Q | 2.23 | 5.4 | -3.17 |
4755 | D | D | 4.56 | 2.84 | 1.73 |
4756 | Y | Y | 662.1 | 3.64 | 658.46 |
4757 | E | E | 11.78 | 5.96 | 5.81 |
4758 | P | P | -2.4 | -2.13 | -0.27 |
4759 | E | E | 0.62 | 1.09 | -0.47 |
4760 | A | A | 4.77 | 2.34 | 2.44 |