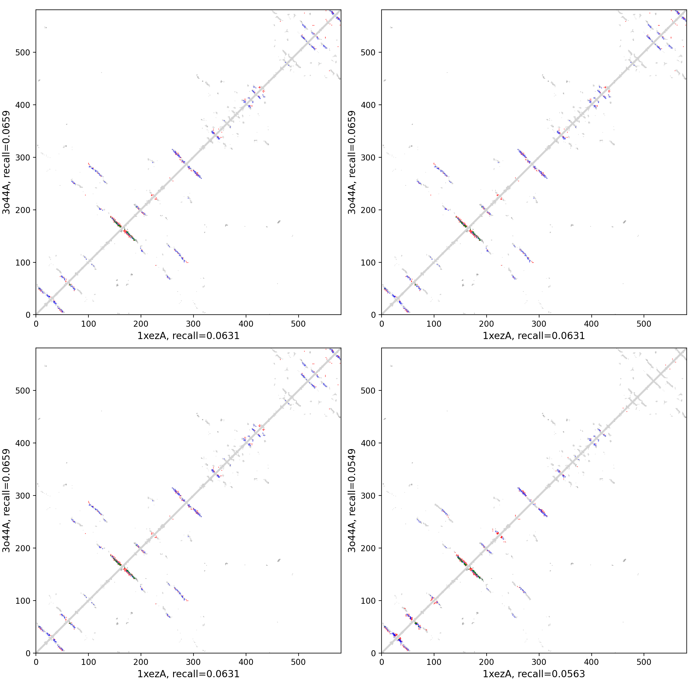
Analysis of pair 1xezA_3o44A
1xezA vs 3o44A
Missing: Fold1 vs best ESM2
Missing: Fold2 vs best ESM2
Missing: Fold1 vs best ESM3
Missing: Fold2 vs best ESM3
[missing] 1xezA vs. 3o44A (unaligned) — interactive
[missing] 1xezA vs. 3o44A (aligned) — interactive
Per-cluster contact maps
Cluster metrics table
cluster | n | neff | AF2_TM1 | AF2_TM2 | AF3_TM1 | AF3_TM2 | RE-MSAT-COM | RE-MSAT1 | RE-MSAT2 | ESM_SEQIDS | ESM_TM1_LIST | ESM_TM2_LIST |
---|
Deep | - | - | 0.64 | 0.68 | 0.62 | 0.88 | 0.19 | 0.17 | 0.19 | - | - | - |
000 | - | - | 0.63 | 0.87 | 0.62 | 0.87 | 0.18 | 0.19 | 0.19 | 002; 006; 001; 010; 008; 004; 005; 007; 003; 009 | 0.55; 0.52; 0.51; 0.50; 0.39; 0.39; 0.26; 0.25; 0.24; 0.18 | 0.50; 0.56; 0.67; 0.49; 0.41; 0.46; 0.23; 0.27; 0.27; 0.21 |
Aligned per-residue ΔΔG
aln_pos | aa1 | aa2 | E1 | E2 | dEdiff |
---|
1 | - | T | - | 8.48 | - |
2 | - | N | - | 0.69 | - |
3 | - | T | - | 0.88 | - |
4 | - | L | - | 1.26 | - |
5 | - | P | - | 21.95 | - |
6 | - | H | - | 0.89 | - |
7 | - | V | - | -1.13 | - |
8 | A | A | 0.8 | -2.96 | 3.75 |
9 | - | F | - | -4.83 | - |
10 | - | Y | - | -2.94 | - |
11 | I | I | -1.12 | -2.88 | 1.77 |
12 | - | S | - | -1.94 | - |
13 | - | V | - | -0.24 | - |
14 | - | N | - | 0.57 | - |
15 | - | R | - | 1.93 | - |
16 | - | A | - | 1.07 | - |
17 | - | I | - | -3.47 | - |
18 | - | S | - | -0.82 | - |
19 | - | D | - | 0.67 | - |
20 | - | E | - | 0.35 | - |
21 | - | E | - | -3.61 | - |
22 | - | C | - | 16.64 | - |
23 | - | T | - | 0.53 | - |
24 | - | F | - | -3.11 | - |
25 | - | N | - | -1.34 | - |
26 | - | N | - | -1.22 | - |
27 | - | S | - | -0.4 | - |
28 | - | W | - | 0.59 | - |
29 | - | L | - | -3.83 | - |
30 | - | W | - | -0.18 | - |
31 | K | K | 0.54 | 7.63 | -7.09 |
32 | - | N | - | 3.46 | - |
33 | - | E | - | 3.87 | - |
34 | - | K | - | -0.56 | - |
35 | - | G | - | -1.77 | - |
36 | - | S | - | -1.29 | - |
37 | - | R | - | 2.07 | - |
38 | - | P | - | 1.61 | - |
39 | - | F | - | -2.73 | - |
40 | - | C | - | 14.73 | - |
41 | - | K | - | 9.15 | - |
42 | - | D | - | -0.7 | - |
43 | - | A | - | -2.68 | - |
44 | - | N | - | 0.33 | - |
45 | - | I | - | -3.73 | - |
46 | - | S | - | 0.58 | - |
47 | - | L | - | -4.2 | - |
48 | - | I | - | -1.16 | - |
49 | Y | Y | 1.95 | -5.7 | 7.65 |
50 | - | R | - | -0.49 | - |
51 | - | V | - | -4.81 | - |
52 | - | N | - | 0.84 | - |
53 | - | L | - | -2.45 | - |
54 | - | E | - | 3.67 | - |
55 | - | R | - | 0.3 | - |
56 | - | S | - | -0.66 | - |
57 | - | L | - | -0.03 | - |
58 | - | Q | - | -0.83 | - |
59 | Y | Y | 1.2 | -0.34 | 1.54 |
60 | - | G | - | -1.13 | - |
61 | - | I | - | 5.55 | - |
62 | - | V | - | 9.83 | - |
63 | - | G | - | -2.68 | - |
64 | - | S | - | 1.71 | - |
65 | - | A | - | -0.29 | - |
66 | - | T | - | -0.02 | - |
67 | - | P | - | -4.52 | - |
68 | - | D | - | -2.55 | - |
69 | - | A | - | -2.23 | - |
70 | - | K | - | -2.74 | - |
71 | - | I | - | -2.64 | - |
72 | - | V | - | -5.01 | - |
73 | - | R | - | 1.48 | - |
74 | - | I | - | -5.1 | - |
75 | - | S | - | 2.06 | - |
76 | - | L | - | -2.39 | - |
77 | - | D | - | -2.29 | - |
78 | - | D | - | 2.7 | - |
79 | - | D | - | -0.73 | - |
80 | - | S | - | 15.43 | - |
81 | - | T | - | -0.29 | - |
82 | - | G | - | -1.24 | - |
83 | - | A | - | -2.54 | - |
84 | - | G | - | -2.83 | - |
85 | - | I | - | -3.9 | - |
86 | - | H | - | -0.19 | - |
87 | - | L | - | -4.54 | - |
88 | N | N | 6.36 | 8.11 | -1.75 |
89 | - | D | - | 2.53 | - |
90 | - | Q | - | 5.33 | - |
91 | - | L | - | -2.88 | - |
92 | - | G | - | -2.28 | - |
93 | - | Y | - | -2.57 | - |
94 | - | R | - | 0.39 | - |
95 | - | Q | - | 2.75 | - |
96 | - | F | - | 1.32 | - |
97 | - | G | - | 0.0 | - |
98 | A | A | -2.51 | -0.41 | -2.1 |
99 | - | S | - | 1.44 | - |
100 | - | Y | - | 2.65 | - |
101 | - | T | - | 12.68 | - |
102 | - | T | - | 4.28 | - |
103 | - | L | - | 2.7 | - |
104 | - | D | - | 5.04 | - |
105 | A | A | -0.24 | 0.51 | -0.75 |
106 | - | Y | - | -2.35 | - |
107 | - | F | - | 1.47 | - |
108 | - | R | - | 8.44 | - |
109 | - | E | - | -2.49 | - |
110 | - | W | - | -1.74 | - |
111 | - | S | - | 2.47 | - |
112 | - | T | - | 3.1 | - |
113 | D | D | 1.57 | -2.42 | 4.0 |
114 | - | A | - | -3.31 | - |
115 | - | I | - | -4.43 | - |
116 | - | A | - | -2.84 | - |
117 | - | Q | - | -0.83 | - |
118 | - | D | - | -2.07 | - |
119 | - | Y | - | -5.18 | - |
120 | - | R | - | 0.13 | - |
121 | - | F | - | -2.55 | - |
122 | - | V | - | -0.08 | - |
123 | - | F | - | -4.97 | - |
124 | - | N | - | 4.71 | - |
125 | - | A | - | -1.34 | - |
126 | - | S | - | -0.65 | - |
127 | - | N | - | -0.16 | - |
128 | - | N | - | 1.14 | - |
129 | - | K | - | -0.66 | - |
130 | - | A | - | -1.94 | - |
131 | - | Q | - | -2.22 | - |
132 | - | I | - | -1.88 | - |
133 | - | L | - | 1.71 | - |
134 | - | K | - | 7.37 | - |
135 | - | T | - | -2.78 | - |
136 | - | F | - | 4.05 | - |
137 | - | P | - | -3.02 | - |
138 | - | V | - | 6.65 | - |
139 | - | D | - | -0.14 | - |
140 | - | N | - | -3.59 | - |
141 | - | I | - | 15.16 | - |
142 | - | N | - | -2.84 | - |
143 | - | E | - | 0.67 | - |
144 | - | K | - | -0.85 | - |
145 | - | F | - | -3.95 | - |
146 | - | E | - | -0.53 | - |
147 | - | R | - | 15.37 | - |
148 | - | K | - | 15.39 | - |
149 | - | E | - | -0.8 | - |
150 | - | V | - | 0.13 | - |
151 | - | S | - | -0.84 | - |
152 | - | G | - | -1.92 | - |
153 | - | F | - | -0.71 | - |
154 | - | E | - | 0.72 | - |
155 | - | L | - | 3.96 | - |
156 | - | G | - | 1.44 | - |
157 | - | V | - | 1.29 | - |
158 | - | T | - | -0.65 | - |
159 | - | G | - | 1.35 | - |
160 | - | G | - | 2.02 | - |
161 | - | V | - | 8.46 | - |
162 | - | E | - | -1.28 | - |
163 | - | V | - | 3.88 | - |
164 | - | S | - | 0.8 | - |
165 | - | G | - | 2.49 | - |
166 | - | D | - | -0.49 | - |
167 | - | G | - | 6.49 | - |
168 | - | P | - | 7.63 | - |
169 | - | K | - | 0.63 | - |
170 | - | A | - | -0.59 | - |
171 | - | K | - | 0.46 | - |
172 | - | L | - | 0.52 | - |
173 | - | E | - | -0.38 | - |
174 | - | A | - | -0.87 | - |
175 | - | R | - | 2.96 | - |
176 | - | A | - | 0.55 | - |
177 | - | S | - | 2.27 | - |
178 | - | Y | - | 2.17 | - |
179 | - | T | - | 5.2 | - |
180 | - | Q | - | 4.33 | - |
181 | - | S | - | 2.07 | - |
182 | - | R | - | 0.4 | - |
183 | W | W | 1.94 | 13.43 | -11.5 |
184 | - | L | - | -2.67 | - |
185 | - | T | - | 1.83 | - |
186 | - | Y | - | -2.31 | - |
187 | - | N | - | 0.76 | - |
188 | - | T | - | -1.95 | - |
189 | Q | Q | 1.11 | -1.84 | 2.95 |
190 | - | D | - | 3.22 | - |
191 | - | Y | - | -6.1 | - |
192 | - | R | - | -0.96 | - |
193 | - | I | - | -1.11 | - |
194 | - | E | - | -1.32 | - |
195 | - | R | - | -4.69 | - |
196 | - | N | - | 0.32 | - |
197 | A | A | 19.18 | 0.27 | 18.9 |
198 | - | K | - | 5.71 | - |
199 | - | N | - | -0.82 | - |
200 | - | A | - | -1.74 | - |
201 | - | Q | - | -2.29 | - |
202 | - | A | - | -1.71 | - |
203 | - | V | - | -1.57 | - |
204 | - | S | - | 0.14 | - |
205 | - | F | - | -4.81 | - |
206 | - | T | - | -1.66 | - |
207 | - | W | - | 0.12 | - |
208 | - | N | - | 0.82 | - |
209 | - | R | - | -3.67 | - |
210 | - | Q | - | 0.64 | - |
211 | - | Q | - | 10.4 | - |
212 | - | Y | - | 0.44 | - |
213 | - | A | - | -0.36 | - |
214 | - | T | - | -0.05 | - |
215 | - | A | - | -2.9 | - |
216 | - | E | - | 4.2 | - |
217 | - | S | - | -0.61 | - |
218 | L | L | 5.03 | -3.41 | 8.44 |
219 | - | L | - | -1.26 | - |
220 | - | N | - | 0.75 | - |
221 | - | R | - | 1.51 | - |
222 | - | S | - | 0.8 | - |
223 | - | T | - | 3.33 | - |
224 | - | D | - | 0.78 | - |
225 | - | A | - | -0.2 | - |
226 | - | L | - | 10.13 | - |
227 | - | W | - | 4.25 | - |
228 | - | V | - | 0.34 | - |
229 | - | N | - | 4.31 | - |
230 | - | T | - | 0.29 | - |
231 | - | Y | - | 2.98 | - |
232 | P | P | 2.81 | 37.78 | -34.97 |
233 | - | V | - | -1.93 | - |
234 | - | D | - | -2.09 | - |
235 | - | V | - | 2.17 | - |
236 | - | N | - | 0.3 | - |
237 | - | R | - | 0.17 | - |
238 | - | I | - | -2.31 | - |
239 | S | S | 0.29 | 5.56 | -5.26 |
240 | - | P | - | -2.27 | - |
241 | L | L | -0.64 | 0.15 | -0.79 |
242 | - | S | - | -0.26 | - |
243 | - | Y | - | -4.58 | - |
244 | A | A | -0.35 | 0.55 | -0.9 |
245 | - | S | - | 2.3 | - |
246 | - | F | - | -3.95 | - |
247 | - | V | - | 2.86 | - |
248 | - | P | - | 23.17 | - |
249 | - | K | - | 14.55 | - |
250 | - | M | - | 12.25 | - |
251 | - | D | - | 3.21 | - |
252 | - | V | - | -5.41 | - |
253 | - | I | - | 5.39 | - |
254 | - | Y | - | -5.47 | - |
255 | - | K | - | 10.35 | - |
256 | - | A | - | -2.32 | - |
257 | - | S | - | 3.76 | - |
258 | - | A | - | -0.99 | - |
259 | - | T | - | 2.77 | - |
260 | E | E | 3.25 | 1.07 | 2.18 |
261 | - | T | - | 0.28 | - |
262 | - | G | - | -2.07 | - |
263 | - | S | - | 0.45 | - |
264 | - | T | - | -2.29 | - |
265 | - | D | - | 2.01 | - |
266 | - | F | - | -5.24 | - |
267 | - | I | - | -2.64 | - |
268 | - | I | - | -4.0 | - |
269 | - | D | - | 3.29 | - |
270 | - | S | - | 2.18 | - |
271 | - | S | - | -2.03 | - |
272 | - | V | - | -3.51 | - |
273 | - | N | - | -2.77 | - |
274 | - | I | - | -4.42 | - |
275 | - | R | - | 6.22 | - |
276 | - | P | - | -3.42 | - |
277 | - | I | - | -0.27 | - |
278 | - | Y | - | -1.04 | - |
279 | - | N | - | 0.71 | - |
280 | - | G | - | -0.1 | - |
281 | - | A | - | -2.59 | - |
282 | - | Y | - | -1.54 | - |
283 | - | K | - | 0.64 | - |
284 | - | H | - | 1.02 | - |
285 | - | Y | - | -0.36 | - |
286 | - | Y | - | 8.42 | - |
287 | - | V | - | 3.43 | - |
288 | - | V | - | 3.25 | - |
289 | - | G | - | 1.03 | - |
290 | - | A | - | -0.0 | - |
291 | - | H | - | 0.92 | - |
292 | - | Q | - | 0.31 | - |
293 | - | S | - | 2.36 | - |
294 | - | Y | - | -4.52 | - |
295 | - | H | - | 0.25 | - |
296 | - | G | - | 1.2 | - |
297 | - | F | - | 1.94 | - |
298 | - | E | - | 1.57 | - |
299 | - | D | - | 0.56 | - |
300 | - | T | - | 3.92 | - |
301 | - | P | - | -1.82 | - |
302 | - | R | - | 8.08 | - |
303 | - | R | - | -0.04 | - |
304 | - | R | - | 0.97 | - |
305 | - | I | - | -1.49 | - |
306 | - | T | - | -0.9 | - |
307 | - | K | - | 0.11 | - |
308 | - | S | - | 0.34 | - |
309 | - | A | - | -2.02 | - |
310 | - | S | - | 7.27 | - |
311 | - | F | - | -5.35 | - |
312 | - | T | - | 0.11 | - |
313 | - | V | - | -4.82 | - |
314 | - | D | - | 3.8 | - |
315 | - | W | - | -5.89 | - |
316 | - | D | - | 0.34 | - |
317 | - | H | - | 0.01 | - |
318 | - | P | - | -1.66 | - |
319 | - | V | - | -3.15 | - |
320 | - | F | - | -2.66 | - |
321 | - | T | - | -2.21 | - |
322 | - | G | - | -3.33 | - |
323 | - | G | - | -0.06 | - |
324 | - | R | - | 5.57 | - |
325 | - | P | - | 1.25 | - |
326 | - | V | - | -2.77 | - |
327 | - | N | - | 0.17 | - |
328 | L | L | -4.07 | -4.03 | -0.04 |
329 | - | Q | - | -3.19 | - |
330 | - | L | - | 0.67 | - |
331 | - | A | - | -0.9 | - |
332 | - | S | - | 2.71 | - |
333 | - | F | - | 1.64 | - |
334 | - | N | - | 0.5 | - |
335 | - | N | - | -1.7 | - |
336 | R | R | 2.01 | 3.67 | -1.67 |
337 | - | C | - | -0.49 | - |
338 | - | I | - | -4.45 | - |
339 | - | Q | - | -2.71 | - |
340 | - | V | - | 0.23 | - |
341 | D | D | 7.71 | -1.8 | 9.51 |
342 | - | A | - | 1.41 | - |
343 | - | Q | - | 3.58 | - |
344 | - | G | - | -2.75 | - |
345 | - | R | - | -1.2 | - |
346 | L | L | 0.2 | -4.33 | 4.54 |
347 | - | T | - | -0.07 | - |
348 | - | A | - | -0.07 | - |
349 | - | N | - | 3.25 | - |
350 | - | M | - | 6.08 | - |
351 | - | C | - | 1.42 | - |
352 | - | D | - | -1.87 | - |
353 | - | S | - | -0.56 | - |
354 | - | Q | - | 1.26 | - |
355 | - | Q | - | 1.93 | - |
356 | - | S | - | -1.17 | - |
357 | - | A | - | -1.82 | - |
358 | - | Q | - | -5.54 | - |
359 | - | S | - | -1.23 | - |
360 | - | F | - | -5.64 | - |
361 | - | I | - | -4.64 | - |
362 | - | Y | - | 0.53 | - |
363 | - | D | - | -5.11 | - |
364 | - | Q | - | 2.66 | - |
365 | - | L | - | -1.77 | - |
366 | - | G | - | -3.83 | - |
367 | - | R | - | -3.73 | - |
368 | - | Y | - | -4.3 | - |
369 | V | V | -3.62 | -5.07 | 1.44 |
370 | - | S | - | -1.99 | - |
371 | - | A | - | -1.71 | - |
372 | - | S | - | 4.46 | - |
373 | - | N | - | 0.33 | - |
374 | - | T | - | 0.89 | - |
375 | - | K | - | 2.08 | - |
376 | - | L | - | -3.63 | - |
377 | - | C | - | 3.03 | - |
378 | - | L | - | -4.58 | - |
379 | - | D | - | -3.01 | - |
380 | - | G | - | -0.23 | - |
381 | - | A | - | -0.98 | - |
382 | - | A | - | 2.08 | - |
383 | - | L | - | -0.44 | - |
384 | - | D | - | 1.36 | - |
385 | - | A | - | -0.34 | - |
386 | - | L | - | -3.37 | - |
387 | - | Q | - | -1.0 | - |
388 | - | P | - | -5.3 | - |
389 | - | C | - | 4.55 | - |
390 | - | N | - | -1.55 | - |
391 | - | Q | - | 1.09 | - |
392 | - | N | - | -2.08 | - |
393 | - | L | - | -3.99 | - |
394 | - | T | - | 0.67 | - |
395 | - | Q | - | -4.06 | - |
396 | - | R | - | -3.39 | - |
397 | - | W | - | -5.41 | - |
398 | - | E | - | -0.95 | - |
399 | - | W | - | -1.64 | - |
400 | - | R | - | 2.9 | - |
401 | - | K | - | 0.9 | - |
402 | - | G | - | -0.66 | - |
403 | - | T | - | -0.32 | - |
404 | - | D | - | -1.54 | - |
405 | - | E | - | -2.14 | - |
406 | - | L | - | -4.65 | - |
407 | - | T | - | -1.1 | - |
408 | - | N | - | -0.81 | - |
409 | - | V | - | -1.37 | - |
410 | - | Y | - | 1.31 | - |
411 | - | S | - | 1.89 | - |
412 | - | G | - | -1.71 | - |
413 | - | E | - | -0.09 | - |
414 | - | S | - | -0.76 | - |
415 | - | L | - | -3.58 | - |
416 | - | G | - | -1.41 | - |
417 | - | H | - | 1.72 | - |
418 | - | D | - | -3.26 | - |
419 | - | K | - | -2.28 | - |
420 | - | Q | - | 0.56 | - |
421 | - | T | - | 0.51 | - |
422 | - | G | - | -2.33 | - |
423 | - | E | - | 1.75 | - |
424 | - | L | - | -4.65 | - |
425 | - | G | - | -1.04 | - |
426 | - | L | - | -3.23 | - |
427 | - | Y | - | -2.62 | - |
428 | - | A | - | 1.71 | - |
429 | - | S | - | -1.1 | - |
430 | - | S | - | -1.8 | - |
431 | - | N | - | -0.98 | - |
432 | - | D | - | 0.79 | - |
433 | - | A | - | -0.79 | - |
434 | - | V | - | -2.32 | - |
435 | - | S | - | -0.64 | - |
436 | - | L | - | -1.18 | - |
437 | - | R | - | -2.23 | - |
438 | - | T | - | 0.18 | - |
439 | I | I | -1.93 | -0.25 | -1.67 |
440 | - | T | - | -0.03 | - |
441 | - | A | - | -0.82 | - |
442 | - | Y | - | -1.68 | - |
443 | - | T | - | -1.88 | - |
444 | - | D | - | -1.57 | - |
445 | - | V | - | 1.55 | - |
446 | - | F | - | -2.39 | - |
447 | N | N | 9.45 | 11.72 | -2.27 |
448 | - | A | - | 0.46 | - |
449 | Q | Q | -0.6 | 1.12 | -1.72 |
450 | - | E | - | 5.93 | - |
451 | - | S | - | 6.15 | - |
452 | - | S | - | 3.05 | - |
453 | - | P | - | -2.26 | - |
454 | - | I | - | 0.68 | - |
455 | - | L | - | -3.11 | - |
456 | - | G | - | -2.57 | - |
457 | - | Y | - | 1.06 | - |
458 | - | T | - | 1.6 | - |
459 | Q | Q | -0.27 | 1.99 | -2.26 |
460 | - | G | - | -1.29 | - |
461 | K | K | 1.28 | -0.18 | 1.46 |
462 | - | M | - | 8.37 | - |
463 | - | N | - | 1.37 | - |
464 | - | Q | - | 2.73 | - |
465 | - | Q | - | -0.37 | - |
466 | R | R | 0.2 | 10.95 | -10.75 |
467 | V | V | -2.73 | -2.87 | 0.15 |
468 | - | G | - | -0.17 | - |
469 | - | Q | - | 7.9 | - |
470 | - | D | - | 1.95 | - |
471 | - | N | - | -0.56 | - |
472 | - | R | - | 7.18 | - |
473 | L | L | 0.16 | -1.71 | 1.87 |
474 | - | Y | - | -1.34 | - |
475 | V | V | -1.98 | 1.15 | -3.13 |
476 | - | R | - | 3.95 | - |
477 | - | A | - | -2.01 | - |
478 | - | G | - | 1.25 | - |
479 | - | A | - | 0.27 | - |
480 | - | A | - | -1.44 | - |
481 | - | I | - | 1.17 | - |
482 | D | D | -1.1 | 1.47 | -2.57 |
483 | - | A | - | -3.81 | - |
484 | - | L | - | -4.96 | - |
485 | - | G | - | -2.24 | - |
486 | - | S | - | -0.76 | - |
487 | - | A | - | -0.21 | - |
488 | - | S | - | 1.11 | - |
489 | - | D | - | 1.39 | - |
490 | - | L | - | 3.22 | - |
491 | - | L | - | -4.03 | - |
492 | - | V | - | 1.91 | - |
493 | - | G | - | -2.46 | - |
494 | - | G | - | 0.37 | - |
495 | - | N | - | 10.43 | - |
496 | - | G | - | 5.16 | - |
497 | - | G | - | 1.1 | - |
498 | - | S | - | 0.0 | - |
499 | - | L | - | 1.15 | - |
500 | - | S | - | 0.42 | - |
501 | - | S | - | -0.09 | - |
502 | - | V | - | 0.14 | - |
503 | - | D | - | 2.34 | - |
504 | - | L | - | 2.65 | - |
505 | - | S | - | 2.64 | - |
506 | - | G | - | -0.91 | - |
507 | - | V | - | -3.91 | - |
508 | - | K | - | -1.5 | - |
509 | - | S | - | -1.02 | - |
510 | - | I | - | -5.35 | - |
511 | - | T | - | 4.23 | - |
512 | - | A | - | -0.08 | - |
513 | - | T | - | -3.12 | - |
514 | - | S | - | 0.94 | - |
515 | - | G | - | -3.1 | - |
516 | - | D | - | -1.26 | - |
517 | F | F | -1.37 | -0.37 | -1.01 |
518 | - | Q | - | 1.61 | - |
519 | - | Y | - | 1.47 | - |
520 | - | G | - | -0.78 | - |
521 | - | G | - | -0.58 | - |
522 | - | Q | - | 2.98 | - |
523 | - | Q | - | 2.45 | - |
524 | - | L | - | -5.32 | - |
525 | - | V | - | -2.71 | - |
526 | - | A | - | -2.3 | - |
527 | - | L | - | -3.43 | - |
528 | - | T | - | 0.4 | - |
529 | - | F | - | -4.71 | - |
530 | - | T | - | 0.16 | - |
531 | - | Y | - | -1.51 | - |
532 | - | Q | - | 1.56 | - |
533 | - | D | - | 1.71 | - |
534 | - | G | - | -0.5 | - |
535 | - | R | - | -1.13 | - |
536 | - | Q | - | 0.03 | - |
537 | - | Q | - | 2.31 | - |
538 | - | T | - | 3.34 | - |
539 | - | V | - | 0.94 | - |
540 | - | G | - | -3.2 | - |
541 | S | S | -0.42 | 1.33 | -1.75 |
542 | - | K | - | 6.51 | - |
543 | - | A | - | 1.54 | - |
544 | - | Y | - | 2.59 | - |
545 | - | V | - | -0.05 | - |
546 | - | T | - | 0.94 | - |
547 | - | N | - | -1.49 | - |
548 | - | A | - | 0.64 | - |
549 | - | H | - | -0.14 | - |
550 | - | E | - | 1.25 | - |
551 | - | D | - | -1.73 | - |
552 | - | R | - | 1.88 | - |
553 | - | F | - | -0.98 | - |
554 | - | D | - | -0.27 | - |
555 | - | L | - | -2.28 | - |
556 | - | P | - | -1.72 | - |
557 | - | D | - | -1.05 | - |
558 | - | A | - | 1.3 | - |
559 | - | A | - | -0.95 | - |
560 | - | K | - | 0.37 | - |
561 | - | I | - | -2.85 | - |
562 | - | T | - | -2.29 | - |
563 | Q | Q | 6.24 | 8.52 | -2.28 |
564 | - | L | - | -1.58 | - |
565 | - | K | - | 6.64 | - |
566 | I | I | -0.49 | -1.78 | 1.29 |
567 | - | W | - | -5.01 | - |
568 | - | A | - | -0.71 | - |
569 | - | D | - | -1.22 | - |
570 | - | D | - | 1.81 | - |
571 | - | W | - | 3.8 | - |
572 | - | L | - | -0.85 | - |
573 | - | V | - | -3.55 | - |
574 | - | K | - | -0.33 | - |
575 | - | G | - | -2.65 | - |
576 | - | V | - | -3.06 | - |
577 | - | Q | - | -1.53 | - |
578 | - | F | - | -4.52 | - |
579 | - | D | - | 2.53 | - |
580 | - | L | - | -0.12 | - |
581 | - | N | - | 15.95 | - |
582 | - | T | - | 8.31 | - |
583 | - | N | - | 0.7 | - |
584 | - | T | - | 0.94 | - |
585 | - | L | - | 1.11 | - |
586 | - | P | - | 25.63 | - |
587 | - | H | - | 0.49 | - |
588 | - | V | - | -1.45 | - |
589 | - | A | - | -2.92 | - |
590 | - | F | - | -4.27 | - |
591 | - | Y | - | -2.96 | - |
592 | - | I | - | -2.51 | - |
593 | S | S | 0.77 | -1.87 | 2.64 |
594 | - | V | - | -0.89 | - |
595 | - | N | - | 0.63 | - |
596 | - | R | - | 1.43 | - |
597 | - | A | - | 1.08 | - |
598 | - | I | - | -3.59 | - |
599 | - | S | - | -0.91 | - |
600 | D | D | 2.12 | 0.68 | 1.45 |
601 | - | E | - | 1.6 | - |
602 | - | E | - | -3.97 | - |
603 | - | C | - | 16.77 | - |
604 | - | T | - | 0.06 | - |
605 | - | F | - | -2.96 | - |
606 | - | N | - | -1.29 | - |
607 | - | N | - | -1.06 | - |
608 | - | S | - | -0.81 | - |
609 | - | W | - | 0.32 | - |
610 | - | L | - | -3.72 | - |
611 | - | W | - | -0.62 | - |
612 | - | K | - | 6.74 | - |
613 | - | N | - | 3.81 | - |
614 | - | E | - | 0.53 | - |
615 | - | K | - | -2.07 | - |
616 | - | G | - | -2.97 | - |
617 | - | S | - | -0.17 | - |
618 | - | R | - | 1.39 | - |
619 | - | P | - | 0.87 | - |
620 | - | F | - | -2.38 | - |
621 | - | C | - | 14.71 | - |
622 | - | K | - | 2.73 | - |
623 | - | D | - | -1.24 | - |
624 | A | A | 0.86 | -2.3 | 3.16 |
625 | - | N | - | 0.21 | - |
626 | - | I | - | -3.8 | - |
627 | - | S | - | -0.16 | - |
628 | - | L | - | -4.09 | - |
629 | - | I | - | -1.57 | - |
630 | - | Y | - | -5.91 | - |
631 | - | R | - | -0.74 | - |
632 | - | V | - | -4.77 | - |
633 | - | N | - | 0.73 | - |
634 | - | L | - | -3.16 | - |
635 | E | E | -0.39 | 4.03 | -4.43 |
636 | - | R | - | 1.03 | - |
637 | - | S | - | -0.54 | - |
638 | - | L | - | 0.05 | - |
639 | - | Q | - | -0.6 | - |
640 | - | Y | - | -1.06 | - |
641 | G | G | -0.68 | -1.14 | 0.46 |
642 | - | I | - | 6.52 | - |
643 | - | V | - | 6.24 | - |
644 | - | G | - | -2.32 | - |
645 | - | S | - | 0.95 | - |
646 | - | A | - | -0.76 | - |
647 | - | T | - | -0.07 | - |
648 | - | P | - | -3.83 | - |
649 | - | D | - | -2.85 | - |
650 | - | A | - | -2.23 | - |
651 | - | K | - | -2.47 | - |
652 | - | I | - | -3.04 | - |
653 | - | V | - | -5.51 | - |
654 | - | R | - | 0.83 | - |
655 | - | I | - | -5.0 | - |
656 | - | S | - | 1.89 | - |
657 | - | L | - | -3.2 | - |
658 | - | D | - | -2.45 | - |
659 | - | D | - | 1.54 | - |
660 | - | D | - | -0.88 | - |
661 | - | S | - | 17.33 | - |
662 | - | T | - | -0.23 | - |
663 | - | G | - | -1.43 | - |
664 | - | A | - | -2.63 | - |
665 | - | G | - | -2.93 | - |
666 | - | I | - | -3.97 | - |
667 | - | H | - | -0.62 | - |
668 | - | L | - | -5.07 | - |
669 | - | N | - | 8.4 | - |
670 | - | D | - | 1.99 | - |
671 | Q | Q | 3.55 | 5.44 | -1.9 |
672 | - | L | - | -3.29 | - |
673 | - | G | - | -2.28 | - |
674 | - | Y | - | -2.56 | - |
675 | - | R | - | 0.31 | - |
676 | - | Q | - | 3.49 | - |
677 | - | F | - | 2.17 | - |
678 | - | G | - | 0.03 | - |
679 | A | A | -1.64 | -0.59 | -1.05 |
680 | - | S | - | 1.07 | - |
681 | - | Y | - | 2.65 | - |
682 | - | T | - | 12.21 | - |
683 | - | T | - | 4.02 | - |
684 | - | L | - | 2.11 | - |
685 | - | D | - | 5.73 | - |
686 | - | A | - | 0.57 | - |
687 | - | Y | - | -2.09 | - |
688 | - | F | - | 0.64 | - |
689 | - | R | - | 7.58 | - |
690 | E | E | -0.68 | -3.13 | 2.45 |
691 | - | W | - | -1.9 | - |
692 | - | S | - | 2.15 | - |
693 | - | T | - | 1.43 | - |
694 | - | D | - | -2.76 | - |
695 | - | A | - | -3.5 | - |
696 | - | I | - | -4.13 | - |
697 | - | A | - | -2.72 | - |
698 | - | Q | - | -0.75 | - |
699 | - | D | - | -2.28 | - |
700 | - | Y | - | -5.59 | - |
701 | - | R | - | 0.08 | - |
702 | - | F | - | -2.38 | - |
703 | - | V | - | 0.41 | - |
704 | - | F | - | -4.95 | - |
705 | - | N | - | 4.85 | - |
706 | - | A | - | -1.41 | - |
707 | - | S | - | -0.67 | - |
708 | - | N | - | 0.21 | - |
709 | - | N | - | 1.11 | - |
710 | - | K | - | -0.8 | - |
711 | - | A | - | -1.93 | - |
712 | - | Q | - | -2.13 | - |
713 | - | I | - | -1.8 | - |
714 | - | L | - | 1.04 | - |
715 | - | K | - | 8.92 | - |
716 | - | T | - | -2.84 | - |
717 | - | F | - | 4.53 | - |
718 | - | P | - | -2.32 | - |
719 | - | V | - | 6.05 | - |
720 | - | D | - | 0.25 | - |
721 | - | N | - | -2.69 | - |
722 | - | I | - | 15.39 | - |
723 | - | N | - | -2.58 | - |
724 | - | E | - | 1.02 | - |
725 | - | K | - | -0.72 | - |
726 | - | F | - | -4.02 | - |
727 | - | E | - | -0.41 | - |
728 | - | R | - | 16.83 | - |
729 | - | K | - | 15.48 | - |
730 | - | E | - | -0.35 | - |
731 | - | V | - | 0.04 | - |
732 | - | S | - | -1.15 | - |
733 | - | G | - | -2.21 | - |
734 | - | F | - | -0.49 | - |
735 | - | E | - | 1.24 | - |
736 | - | L | - | 4.63 | - |
737 | - | G | - | 1.11 | - |
738 | - | V | - | 1.35 | - |
739 | - | T | - | -0.74 | - |
740 | - | G | - | 1.29 | - |
741 | - | G | - | 1.86 | - |
742 | - | V | - | 8.67 | - |
743 | - | E | - | 0.11 | - |
744 | - | V | - | 3.96 | - |
745 | - | S | - | 7.73 | - |
746 | - | G | - | 2.64 | - |
747 | - | D | - | -0.33 | - |
748 | - | G | - | 6.78 | - |
749 | - | P | - | 7.19 | - |
750 | - | K | - | 0.45 | - |
751 | - | A | - | -0.57 | - |
752 | - | K | - | 0.56 | - |
753 | - | L | - | 0.34 | - |
754 | - | E | - | -0.71 | - |
755 | - | A | - | -0.61 | - |
756 | - | R | - | 3.29 | - |
757 | - | A | - | 0.33 | - |
758 | - | S | - | 1.82 | - |
759 | - | Y | - | 1.95 | - |
760 | - | T | - | 6.0 | - |
761 | - | Q | - | 4.52 | - |
762 | - | S | - | 3.59 | - |
763 | - | R | - | 0.34 | - |
764 | - | W | - | 13.66 | - |
765 | - | L | - | -2.57 | - |
766 | - | T | - | 2.97 | - |
767 | - | Y | - | -1.94 | - |
768 | - | N | - | 0.93 | - |
769 | - | T | - | -2.29 | - |
770 | - | Q | - | -1.97 | - |
771 | - | D | - | 2.81 | - |
772 | - | Y | - | -6.39 | - |
773 | - | R | - | -1.4 | - |
774 | - | I | - | -0.8 | - |
775 | - | E | - | -2.07 | - |
776 | - | R | - | -4.5 | - |
777 | - | N | - | 0.02 | - |
778 | - | A | - | 0.45 | - |
779 | - | K | - | 4.82 | - |
780 | - | N | - | -0.75 | - |
781 | - | A | - | -1.71 | - |
782 | - | Q | - | -2.44 | - |
783 | - | A | - | -1.84 | - |
784 | - | V | - | -1.98 | - |
785 | - | S | - | 1.14 | - |
786 | - | F | - | -4.68 | - |
787 | - | T | - | -1.64 | - |
788 | - | W | - | -0.48 | - |
789 | - | N | - | 0.84 | - |
790 | - | R | - | -3.85 | - |
791 | - | Q | - | 0.66 | - |
792 | - | Q | - | 13.03 | - |
793 | - | Y | - | 0.75 | - |
794 | - | A | - | -0.25 | - |
795 | - | T | - | -0.15 | - |
796 | - | A | - | -2.84 | - |
797 | - | E | - | 4.54 | - |
798 | - | S | - | -1.02 | - |
799 | - | L | - | -3.48 | - |
800 | - | L | - | -1.85 | - |
801 | - | N | - | 0.77 | - |
802 | - | R | - | 1.47 | - |
803 | - | S | - | 0.85 | - |
804 | - | T | - | 3.32 | - |
805 | - | D | - | 0.81 | - |
806 | - | A | - | -0.4 | - |
807 | - | L | - | 11.36 | - |
808 | - | W | - | 4.07 | - |
809 | - | V | - | -0.01 | - |
810 | - | N | - | 4.42 | - |
811 | - | T | - | 0.26 | - |
812 | - | Y | - | 3.9 | - |
813 | - | P | - | 30.88 | - |
814 | - | V | - | -2.01 | - |
815 | - | D | - | -1.94 | - |
816 | - | V | - | 1.94 | - |
817 | - | N | - | 0.25 | - |
818 | - | R | - | -1.2 | - |
819 | - | I | - | -1.91 | - |
820 | - | S | - | 4.36 | - |
821 | - | P | - | -3.64 | - |
822 | - | L | - | 0.75 | - |
823 | - | S | - | -0.23 | - |
824 | - | Y | - | -4.67 | - |
825 | - | A | - | 0.78 | - |
826 | - | S | - | 0.45 | - |
827 | - | F | - | -3.52 | - |
828 | - | V | - | 1.46 | - |
829 | - | P | - | 24.84 | - |
830 | - | K | - | 5.97 | - |
831 | M | M | -2.02 | 14.83 | -16.85 |
832 | - | D | - | 2.88 | - |
833 | - | V | - | -5.33 | - |
834 | - | I | - | 7.05 | - |
835 | - | Y | - | -5.49 | - |
836 | - | K | - | 20.65 | - |
837 | - | A | - | -2.49 | - |
838 | - | S | - | 4.11 | - |
839 | - | A | - | -1.12 | - |
840 | - | T | - | 2.29 | - |
841 | - | E | - | 1.09 | - |
842 | - | T | - | 0.56 | - |
843 | - | G | - | -1.68 | - |
844 | - | S | - | 0.27 | - |
845 | - | T | - | -2.16 | - |
846 | - | D | - | 1.61 | - |
847 | - | F | - | -5.69 | - |
848 | - | I | - | -2.93 | - |
849 | - | I | - | -3.46 | - |
850 | - | D | - | 3.77 | - |
851 | - | S | - | 2.66 | - |
852 | - | S | - | -2.18 | - |
853 | - | V | - | -3.63 | - |
854 | - | N | - | -2.59 | - |
855 | - | I | - | -5.15 | - |
856 | - | R | - | 6.6 | - |
857 | - | P | - | -4.32 | - |
858 | - | I | - | -1.28 | - |
859 | - | Y | - | -2.55 | - |
860 | - | N | - | 0.63 | - |
861 | - | G | - | 0.06 | - |
862 | - | A | - | -2.45 | - |
863 | - | Y | - | -1.78 | - |
864 | - | K | - | 17.9 | - |
865 | - | H | - | 1.12 | - |
866 | - | Y | - | -0.53 | - |
867 | - | Y | - | 8.12 | - |
868 | - | V | - | 3.37 | - |
869 | - | V | - | 3.5 | - |
870 | - | G | - | 1.05 | - |
871 | - | A | - | 0.14 | - |
872 | - | H | - | 0.87 | - |
873 | Q | Q | 0.52 | 0.5 | 0.02 |
874 | - | S | - | 1.48 | - |
875 | - | Y | - | -4.58 | - |
876 | - | H | - | -0.34 | - |
877 | - | G | - | 1.14 | - |
878 | - | F | - | 1.89 | - |
879 | - | E | - | 1.2 | - |
880 | - | D | - | 0.66 | - |
881 | - | T | - | 2.09 | - |
882 | - | P | - | -2.45 | - |
883 | - | R | - | 8.51 | - |
884 | - | R | - | -0.31 | - |
885 | - | R | - | 0.79 | - |
886 | - | I | - | -1.76 | - |
887 | - | T | - | -0.48 | - |
888 | - | K | - | 0.55 | - |
889 | - | S | - | 0.24 | - |
890 | A | A | -0.78 | -1.98 | 1.19 |
891 | - | S | - | 11.74 | - |
892 | - | F | - | -5.18 | - |
893 | - | T | - | 0.34 | - |
894 | - | V | - | -4.35 | - |
895 | - | D | - | 4.25 | - |
896 | - | W | - | -5.8 | - |
897 | - | D | - | 0.36 | - |
898 | - | H | - | -1.46 | - |
899 | - | P | - | -2.83 | - |
900 | - | V | - | -2.65 | - |
901 | - | F | - | -1.77 | - |
902 | - | T | - | -2.34 | - |
903 | - | G | - | -3.35 | - |
904 | - | G | - | -0.26 | - |
905 | - | R | - | 7.21 | - |
906 | - | P | - | 1.24 | - |
907 | - | V | - | -2.9 | - |
908 | - | N | - | 0.14 | - |
909 | - | L | - | -3.89 | - |
910 | Q | Q | -1.0 | -2.9 | 1.91 |
911 | - | L | - | 0.11 | - |
912 | - | A | - | -0.75 | - |
913 | - | S | - | 3.26 | - |
914 | F | F | -3.53 | 1.64 | -5.17 |
915 | - | N | - | 0.35 | - |
916 | - | N | - | -1.9 | - |
917 | R | R | 0.12 | 3.59 | -3.47 |
918 | - | C | - | -0.75 | - |
919 | - | I | - | -4.32 | - |
920 | - | Q | - | -2.66 | - |
921 | - | V | - | 0.43 | - |
922 | - | D | - | -2.2 | - |
923 | - | A | - | 0.7 | - |
924 | - | Q | - | 1.54 | - |
925 | - | G | - | -2.82 | - |
926 | - | R | - | -1.51 | - |
927 | - | L | - | -4.64 | - |
928 | - | T | - | 0.5 | - |
929 | - | A | - | -0.1 | - |
930 | - | N | - | 3.05 | - |
931 | - | M | - | 6.86 | - |
932 | - | C | - | 0.92 | - |
933 | - | D | - | -1.49 | - |
934 | - | S | - | -0.57 | - |
935 | - | Q | - | 0.51 | - |
936 | - | Q | - | 1.21 | - |
937 | - | S | - | -0.56 | - |
938 | - | A | - | -1.95 | - |
939 | - | Q | - | -5.37 | - |
940 | - | S | - | -1.17 | - |
941 | - | F | - | -5.46 | - |
942 | - | I | - | -4.66 | - |
943 | - | Y | - | 0.75 | - |
944 | - | D | - | -5.15 | - |
945 | - | Q | - | 2.56 | - |
946 | - | L | - | -1.41 | - |
947 | - | G | - | -3.73 | - |
948 | - | R | - | -3.5 | - |
949 | - | Y | - | -3.76 | - |
950 | - | V | - | -5.06 | - |
951 | - | S | - | -1.53 | - |
952 | - | A | - | -1.75 | - |
953 | - | S | - | 3.81 | - |
954 | - | N | - | 0.14 | - |
955 | - | T | - | 0.68 | - |
956 | K | K | 2.39 | 0.86 | 1.53 |
957 | - | L | - | -3.77 | - |
958 | - | C | - | 2.09 | - |
959 | - | L | - | -4.43 | - |
960 | - | D | - | -2.8 | - |
961 | - | G | - | -0.19 | - |
962 | A | A | -1.84 | -0.79 | -1.05 |
963 | - | A | - | 1.9 | - |
964 | - | L | - | -0.74 | - |
965 | - | D | - | 1.51 | - |
966 | - | A | - | -0.66 | - |
967 | - | L | - | -3.63 | - |
968 | - | Q | - | -0.53 | - |
969 | - | P | - | -4.52 | - |
970 | - | C | - | 3.67 | - |
971 | - | N | - | -1.52 | - |
972 | - | Q | - | 0.79 | - |
973 | - | N | - | -1.95 | - |
974 | - | L | - | -4.3 | - |
975 | - | T | - | 0.24 | - |
976 | - | Q | - | -4.02 | - |
977 | - | R | - | -3.44 | - |
978 | - | W | - | -5.17 | - |
979 | - | E | - | -0.97 | - |
980 | - | W | - | -2.12 | - |
981 | - | R | - | 3.11 | - |
982 | - | K | - | 0.98 | - |
983 | - | G | - | -0.85 | - |
984 | - | T | - | -0.02 | - |
985 | - | D | - | -1.23 | - |
986 | - | E | - | -2.15 | - |
987 | - | L | - | -4.94 | - |
988 | - | T | - | -0.6 | - |
989 | - | N | - | -1.31 | - |
990 | - | V | - | -1.4 | - |
991 | Y | Y | -1.83 | 1.57 | -3.4 |
992 | - | S | - | 1.68 | - |
993 | G | G | -2.5 | -1.67 | -0.83 |
994 | - | E | - | -0.29 | - |
995 | - | S | - | -0.64 | - |
996 | - | L | - | -3.91 | - |
997 | - | G | - | -1.25 | - |
998 | - | H | - | 1.46 | - |
999 | - | D | - | -3.13 | - |
1000 | - | K | - | -2.22 | - |
1001 | - | Q | - | 0.78 | - |
1002 | - | T | - | 0.33 | - |
1003 | - | G | - | -2.31 | - |
1004 | - | E | - | 1.38 | - |
1005 | - | L | - | -4.9 | - |
1006 | - | G | - | -1.06 | - |
1007 | - | L | - | -3.2 | - |
1008 | - | Y | - | -1.96 | - |
1009 | - | A | - | 1.67 | - |
1010 | - | S | - | -1.15 | - |
1011 | - | S | - | -1.82 | - |
1012 | - | N | - | -0.97 | - |
1013 | - | D | - | 0.69 | - |
1014 | - | A | - | -0.81 | - |
1015 | V | V | -3.56 | -2.03 | -1.53 |
1016 | - | S | - | -0.62 | - |
1017 | - | L | - | -0.81 | - |
1018 | - | R | - | -2.35 | - |
1019 | - | T | - | -0.12 | - |
1020 | - | I | - | -0.13 | - |
1021 | - | T | - | 0.06 | - |
1022 | - | A | - | -0.77 | - |
1023 | - | Y | - | -1.34 | - |
1024 | - | T | - | -1.61 | - |
1025 | - | D | - | -1.64 | - |
1026 | - | V | - | 0.6 | - |
1027 | - | F | - | -1.5 | - |
1028 | - | N | - | 10.88 | - |
1029 | - | A | - | 0.52 | - |
1030 | - | Q | - | 0.57 | - |
1031 | - | E | - | 5.09 | - |
1032 | - | S | - | 6.84 | - |
1033 | - | S | - | 1.16 | - |
1034 | - | P | - | -2.3 | - |
1035 | - | I | - | 1.91 | - |
1036 | - | L | - | -3.89 | - |
1037 | G | G | -0.44 | -2.26 | 1.83 |
1038 | - | Y | - | -0.09 | - |
1039 | - | T | - | 1.17 | - |
1040 | - | Q | - | 1.37 | - |
1041 | - | G | - | -1.43 | - |
1042 | - | K | - | 2.44 | - |
1043 | - | M | - | 4.51 | - |
1044 | - | N | - | 1.61 | - |
1045 | - | Q | - | 0.63 | - |
1046 | - | Q | - | -1.45 | - |
1047 | - | R | - | 0.54 | - |
1048 | - | V | - | 0.42 | - |
1049 | - | G | - | 0.71 | - |
1050 | - | Q | - | 2.07 | - |
1051 | - | D | - | 0.87 | - |
1052 | - | N | - | 1.69 | - |
1053 | - | R | - | -0.36 | - |
1054 | - | L | - | -4.79 | - |
1055 | - | Y | - | -3.89 | - |
1056 | - | V | - | -2.12 | - |
1057 | - | R | - | 4.81 | - |
1058 | - | A | - | -1.98 | - |
1059 | - | G | - | 0.45 | - |
1060 | - | A | - | 0.31 | - |
1061 | - | A | - | -1.29 | - |
1062 | - | I | - | 1.03 | - |
1063 | - | D | - | 3.12 | - |
1064 | - | A | - | -3.52 | - |
1065 | - | L | - | -3.84 | - |
1066 | - | G | - | -3.18 | - |
1067 | - | S | - | 0.24 | - |
1068 | - | A | - | -0.69 | - |
1069 | - | S | - | -0.34 | - |
1070 | - | D | - | 2.13 | - |
1071 | - | L | - | 1.77 | - |
1072 | - | L | - | -1.35 | - |
1073 | - | V | - | 2.17 | - |
1074 | - | G | - | -2.36 | - |
1075 | - | G | - | 2.11 | - |
1076 | - | N | - | 11.86 | - |
1077 | - | G | - | 2.89 | - |
1078 | - | G | - | 2.06 | - |
1079 | - | S | - | -0.25 | - |
1080 | - | L | - | 3.76 | - |
1081 | - | S | - | 0.42 | - |
1082 | - | S | - | -0.73 | - |
1083 | - | V | - | -4.03 | - |
1084 | - | D | - | 1.83 | - |
1085 | - | L | - | -3.75 | - |
1086 | - | S | - | 3.37 | - |
1087 | - | G | - | -2.91 | - |
1088 | - | V | - | -2.68 | - |
1089 | - | K | - | 0.78 | - |
1090 | - | S | - | 1.06 | - |
1091 | - | I | - | -5.84 | - |
1092 | - | T | - | -0.33 | - |
1093 | - | A | - | -1.53 | - |
1094 | - | T | - | -3.13 | - |
1095 | - | S | - | -2.4 | - |
1096 | - | G | - | -2.23 | - |
1097 | - | D | - | -0.69 | - |
1098 | F | F | -1.76 | -0.64 | -1.12 |
1099 | - | Q | - | 0.16 | - |
1100 | - | Y | - | 1.18 | - |
1101 | - | G | - | -0.48 | - |
1102 | - | G | - | 0.21 | - |
1103 | - | Q | - | 0.15 | - |
1104 | - | Q | - | -0.42 | - |
1105 | - | L | - | -5.69 | - |
1106 | - | V | - | -1.75 | - |
1107 | A | A | 1.68 | -2.42 | 4.1 |
1108 | - | L | - | -5.94 | - |
1109 | - | T | - | 0.17 | - |
1110 | - | F | - | -4.33 | - |
1111 | - | T | - | -2.54 | - |
1112 | - | Y | - | -2.92 | - |
1113 | - | Q | - | -0.01 | - |
1114 | - | D | - | 1.95 | - |
1115 | - | G | - | -0.86 | - |
1116 | - | R | - | 0.53 | - |
1117 | - | Q | - | -0.24 | - |
1118 | - | Q | - | -0.62 | - |
1119 | - | T | - | 1.27 | - |
1120 | - | V | - | -1.79 | - |
1121 | - | G | - | -3.13 | - |
1122 | - | S | - | 0.57 | - |
1123 | - | K | - | 4.09 | - |
1124 | - | A | - | 0.68 | - |
1125 | - | Y | - | -2.19 | - |
1126 | - | V | - | -1.31 | - |
1127 | - | T | - | 0.53 | - |
1128 | N | N | 2.07 | -1.86 | 3.92 |
1129 | - | A | - | -0.87 | - |
1130 | - | H | - | 0.82 | - |
1131 | - | E | - | 1.15 | - |
1132 | - | D | - | -2.32 | - |
1133 | - | R | - | 0.99 | - |
1134 | - | F | - | -1.63 | - |
1135 | - | D | - | -0.95 | - |
1136 | - | L | - | -1.28 | - |
1137 | - | P | - | -3.03 | - |
1138 | - | D | - | 2.28 | - |
1139 | - | A | - | 2.2 | - |
1140 | - | A | - | -0.15 | - |
1141 | - | K | - | -0.9 | - |
1142 | - | I | - | -2.06 | - |
1143 | - | T | - | -1.12 | - |
1144 | Q | Q | -0.97 | 7.95 | -8.92 |
1145 | - | L | - | -3.45 | - |
1146 | - | K | - | 0.58 | - |
1147 | - | I | - | -4.0 | - |
1148 | - | W | - | -5.41 | - |
1149 | - | A | - | -2.12 | - |
1150 | - | D | - | -0.15 | - |
1151 | - | D | - | 2.27 | - |
1152 | - | W | - | 3.44 | - |
1153 | - | L | - | -1.58 | - |
1154 | - | V | - | -3.25 | - |
1155 | - | K | - | 3.44 | - |
1156 | - | G | - | -2.95 | - |
1157 | - | V | - | -2.84 | - |
1158 | - | Q | - | -0.24 | - |
1159 | F | F | -1.97 | -4.51 | 2.54 |
1160 | - | D | - | 5.08 | - |
1161 | - | L | - | -2.27 | - |
1162 | - | N | - | 3.68 | - |
1163 | - | T | - | 9.9 | - |
1164 | - | N | - | 14.91 | - |
1165 | - | T | - | 0.8 | - |
1166 | - | L | - | 2.24 | - |
1167 | - | P | - | 24.17 | - |
1168 | - | H | - | 0.59 | - |
1169 | - | V | - | -1.64 | - |
1170 | - | A | - | -2.85 | - |
1171 | - | F | - | -4.68 | - |
1172 | - | Y | - | -2.74 | - |
1173 | I | I | -3.96 | -3.24 | -0.72 |
1174 | - | S | - | -1.92 | - |
1175 | V | V | 8.27 | -1.11 | 9.38 |
1176 | - | N | - | 0.74 | - |
1177 | - | R | - | 1.68 | - |
1178 | - | A | - | 0.94 | - |
1179 | I | I | -5.32 | -3.49 | -1.83 |
1180 | - | S | - | -1.37 | - |
1181 | - | D | - | 1.34 | - |
1182 | - | E | - | -0.37 | - |
1183 | - | E | - | -3.51 | - |
1184 | - | C | - | 16.04 | - |
1185 | T | T | -0.5 | 0.33 | -0.82 |
1186 | - | F | - | -2.72 | - |
1187 | - | N | - | -1.41 | - |
1188 | - | N | - | -1.16 | - |
1189 | - | S | - | -0.61 | - |
1190 | - | W | - | 0.62 | - |
1191 | - | L | - | -3.73 | - |
1192 | - | W | - | -0.26 | - |
1193 | - | K | - | 7.16 | - |
1194 | - | N | - | 3.64 | - |
1195 | E | E | 0.77 | 3.98 | -3.2 |
1196 | - | K | - | -2.12 | - |
1197 | - | G | - | -1.89 | - |
1198 | - | S | - | -1.29 | - |
1199 | - | R | - | 1.86 | - |
1200 | - | P | - | 1.44 | - |
1201 | - | F | - | -2.37 | - |
1202 | - | C | - | 12.97 | - |
1203 | - | K | - | 2.13 | - |
1204 | - | D | - | -2.09 | - |
1205 | - | A | - | -2.56 | - |
1206 | - | N | - | 0.54 | - |
1207 | - | I | - | -3.29 | - |
1208 | - | S | - | -0.18 | - |
1209 | - | L | - | -4.47 | - |
1210 | - | I | - | -1.34 | - |
1211 | - | Y | - | -6.42 | - |
1212 | - | R | - | -0.7 | - |
1213 | - | V | - | -4.93 | - |
1214 | - | N | - | 1.04 | - |
1215 | - | L | - | -2.86 | - |
1216 | - | E | - | 3.02 | - |
1217 | - | R | - | 0.94 | - |
1218 | - | S | - | -0.51 | - |
1219 | - | L | - | 0.39 | - |
1220 | - | Q | - | -0.54 | - |
1221 | - | Y | - | -0.61 | - |
1222 | - | G | - | -0.89 | - |
1223 | - | I | - | 5.14 | - |
1224 | - | V | - | 6.75 | - |
1225 | - | G | - | -2.41 | - |
1226 | - | S | - | 1.23 | - |
1227 | - | A | - | -0.87 | - |
1228 | - | T | - | 0.34 | - |
1229 | - | P | - | -3.58 | - |
1230 | - | D | - | -2.54 | - |
1231 | - | A | - | -2.08 | - |
1232 | - | K | - | -2.72 | - |
1233 | - | I | - | -2.93 | - |
1234 | - | V | - | -5.2 | - |
1235 | - | R | - | 1.73 | - |
1236 | - | I | - | -5.02 | - |
1237 | - | S | - | 3.02 | - |
1238 | - | L | - | -2.43 | - |
1239 | - | D | - | -2.69 | - |
1240 | - | D | - | 1.59 | - |
1241 | - | D | - | -1.06 | - |
1242 | - | S | - | 15.79 | - |
1243 | - | T | - | 0.11 | - |
1244 | - | G | - | -1.01 | - |
1245 | - | A | - | -2.67 | - |
1246 | - | G | - | -2.98 | - |
1247 | - | I | - | -3.69 | - |
1248 | H | H | -2.52 | 0.11 | -2.62 |
1249 | - | L | - | -5.56 | - |
1250 | - | N | - | 9.66 | - |
1251 | - | D | - | 2.28 | - |
1252 | - | Q | - | 5.51 | - |
1253 | - | L | - | -3.03 | - |
1254 | - | G | - | -2.32 | - |
1255 | - | Y | - | -2.59 | - |
1256 | - | R | - | 0.52 | - |
1257 | - | Q | - | 3.5 | - |
1258 | - | F | - | 2.03 | - |
1259 | - | G | - | 0.09 | - |
1260 | - | A | - | 0.78 | - |
1261 | - | S | - | 1.28 | - |
1262 | - | Y | - | 2.89 | - |
1263 | - | T | - | 3.26 | - |
1264 | - | T | - | 0.85 | - |
1265 | - | L | - | 2.32 | - |
1266 | - | D | - | 1.0 | - |
1267 | - | A | - | 0.11 | - |
1268 | - | Y | - | -2.34 | - |
1269 | - | F | - | 1.91 | - |
1270 | - | R | - | 8.17 | - |
1271 | - | E | - | -2.88 | - |
1272 | - | W | - | -2.19 | - |
1273 | - | S | - | 2.2 | - |
1274 | - | T | - | 1.89 | - |
1275 | - | D | - | -2.65 | - |
1276 | - | A | - | -3.4 | - |
1277 | - | I | - | -4.45 | - |
1278 | - | A | - | -2.82 | - |
1279 | - | Q | - | -0.79 | - |
1280 | - | D | - | -2.55 | - |
1281 | - | Y | - | -5.66 | - |
1282 | - | R | - | 0.55 | - |
1283 | - | F | - | -2.97 | - |
1284 | - | V | - | 0.29 | - |
1285 | - | F | - | -5.01 | - |
1286 | - | N | - | 5.8 | - |
1287 | - | A | - | -1.3 | - |
1288 | - | S | - | -0.44 | - |
1289 | - | N | - | 0.0 | - |
1290 | - | N | - | 1.17 | - |
1291 | K | K | 1.53 | -0.77 | 2.29 |
1292 | - | A | - | -1.94 | - |
1293 | - | Q | - | -1.92 | - |
1294 | - | I | - | -1.28 | - |
1295 | - | L | - | 0.33 | - |
1296 | - | K | - | 8.54 | - |
1297 | - | T | - | -2.88 | - |
1298 | - | F | - | 3.92 | - |
1299 | - | P | - | -2.96 | - |
1300 | - | V | - | 5.52 | - |
1301 | - | D | - | 0.2 | - |
1302 | - | N | - | -2.44 | - |
1303 | - | I | - | 16.26 | - |
1304 | - | N | - | -2.55 | - |
1305 | - | E | - | 1.23 | - |
1306 | - | K | - | -0.7 | - |
1307 | - | F | - | -4.3 | - |
1308 | - | E | - | -0.94 | - |
1309 | - | R | - | 25.48 | - |
1310 | - | K | - | 18.23 | - |
1311 | - | E | - | -0.2 | - |
1312 | - | V | - | 0.27 | - |
1313 | - | S | - | -0.94 | - |
1314 | G | G | -2.97 | -2.29 | -0.68 |
1315 | - | F | - | 0.12 | - |
1316 | E | E | -0.78 | 0.68 | -1.46 |
1317 | L | L | -6.24 | 4.35 | -10.59 |
1318 | - | G | - | 1.23 | - |
1319 | - | V | - | 1.46 | - |
1320 | - | T | - | -0.89 | - |
1321 | - | G | - | 1.47 | - |
1322 | - | G | - | 1.74 | - |
1323 | - | V | - | 9.18 | - |
1324 | - | E | - | 3.62 | - |
1325 | - | V | - | 4.11 | - |
1326 | - | S | - | 23.86 | - |
1327 | - | G | - | 2.65 | - |
1328 | - | D | - | 0.0 | - |
1329 | - | G | - | 6.23 | - |
1330 | - | P | - | 6.64 | - |
1331 | - | K | - | 10.09 | - |
1332 | - | A | - | -0.53 | - |
1333 | - | K | - | 1.2 | - |
1334 | L | L | 0.38 | 0.53 | -0.14 |
1335 | - | E | - | -0.15 | - |
1336 | - | A | - | -0.94 | - |
1337 | - | R | - | 2.77 | - |
1338 | - | A | - | 0.26 | - |
1339 | - | S | - | 1.47 | - |
1340 | - | Y | - | 1.66 | - |
1341 | - | T | - | 4.03 | - |
1342 | - | Q | - | 4.06 | - |
1343 | - | S | - | 1.84 | - |
1344 | - | R | - | 0.31 | - |
1345 | - | W | - | 16.65 | - |
1346 | - | L | - | -2.51 | - |
1347 | - | T | - | 3.27 | - |
1348 | - | Y | - | -1.69 | - |
1349 | - | N | - | 0.65 | - |
1350 | - | T | - | -2.37 | - |
1351 | - | Q | - | -1.6 | - |
1352 | - | D | - | 3.29 | - |
1353 | - | Y | - | -6.24 | - |
1354 | - | R | - | -1.26 | - |
1355 | - | I | - | -1.5 | - |
1356 | - | E | - | -2.23 | - |
1357 | - | R | - | -4.57 | - |
1358 | - | N | - | -0.23 | - |
1359 | - | A | - | 0.2 | - |
1360 | - | K | - | 4.76 | - |
1361 | - | N | - | -0.8 | - |
1362 | - | A | - | -1.66 | - |
1363 | - | Q | - | -2.15 | - |
1364 | - | A | - | -1.85 | - |
1365 | - | V | - | -1.75 | - |
1366 | - | S | - | 1.15 | - |
1367 | F | F | -6.64 | -4.83 | -1.81 |
1368 | T | T | 2.71 | -1.08 | 3.79 |
1369 | - | W | - | 0.09 | - |
1370 | - | N | - | 0.6 | - |
1371 | - | R | - | -3.88 | - |
1372 | - | Q | - | 0.53 | - |
1373 | - | Q | - | 14.46 | - |
1374 | - | Y | - | 0.53 | - |
1375 | - | A | - | -0.13 | - |
1376 | - | T | - | 0.29 | - |
1377 | - | A | - | -2.67 | - |
1378 | - | E | - | 4.01 | - |
1379 | - | S | - | -0.65 | - |
1380 | - | L | - | -3.73 | - |
1381 | - | L | - | -1.86 | - |
1382 | - | N | - | 0.39 | - |
1383 | - | R | - | 1.58 | - |
1384 | - | S | - | 1.13 | - |
1385 | - | T | - | 3.31 | - |
1386 | - | D | - | 0.59 | - |
1387 | - | A | - | -0.06 | - |
1388 | - | L | - | 10.4 | - |
1389 | - | W | - | 4.4 | - |
1390 | - | V | - | 0.8 | - |
1391 | - | N | - | 4.6 | - |
1392 | - | T | - | 0.2 | - |
1393 | - | Y | - | 2.97 | - |
1394 | P | P | -3.0 | 31.53 | -34.53 |
1395 | - | V | - | -1.96 | - |
1396 | - | D | - | -2.06 | - |
1397 | - | V | - | 2.04 | - |
1398 | - | N | - | 0.35 | - |
1399 | - | R | - | -1.23 | - |
1400 | - | I | - | -1.6 | - |
1401 | - | S | - | 3.59 | - |
1402 | - | P | - | -4.41 | - |
1403 | - | L | - | 0.2 | - |
1404 | - | S | - | -0.26 | - |
1405 | - | Y | - | -4.72 | - |
1406 | - | A | - | 0.97 | - |
1407 | - | S | - | 0.86 | - |
1408 | F | F | 7.84 | -4.14 | 11.97 |
1409 | - | V | - | 0.46 | - |
1410 | - | P | - | 20.39 | - |
1411 | - | K | - | -0.55 | - |
1412 | - | M | - | 16.68 | - |
1413 | D | D | -4.2 | 3.34 | -7.54 |
1414 | - | V | - | -5.22 | - |
1415 | - | I | - | 6.4 | - |
1416 | - | Y | - | -5.53 | - |
1417 | - | K | - | 19.16 | - |
1418 | - | A | - | -2.41 | - |
1419 | - | S | - | 3.59 | - |
1420 | - | A | - | -0.91 | - |
1421 | - | T | - | 3.18 | - |
1422 | - | E | - | 1.11 | - |
1423 | - | T | - | 0.77 | - |
1424 | - | G | - | -1.73 | - |
1425 | - | S | - | 0.22 | - |
1426 | - | T | - | -2.06 | - |
1427 | - | D | - | 1.34 | - |
1428 | - | F | - | -5.14 | - |
1429 | - | I | - | -3.02 | - |
1430 | - | I | - | -3.73 | - |
1431 | - | D | - | 3.91 | - |
1432 | - | S | - | 2.01 | - |
1433 | - | S | - | -2.5 | - |
1434 | - | V | - | -3.75 | - |
1435 | - | N | - | -2.66 | - |
1436 | - | I | - | -5.39 | - |
1437 | R | R | 1.91 | 6.78 | -4.88 |
1438 | - | P | - | -3.93 | - |
1439 | - | I | - | -1.22 | - |
1440 | - | Y | - | -2.21 | - |
1441 | - | N | - | 1.01 | - |
1442 | - | G | - | -0.0 | - |
1443 | - | A | - | -2.52 | - |
1444 | - | Y | - | -1.15 | - |
1445 | - | K | - | 0.06 | - |
1446 | - | H | - | 1.0 | - |
1447 | - | Y | - | 2.57 | - |
1448 | - | Y | - | 8.29 | - |
1449 | - | V | - | 3.25 | - |
1450 | - | V | - | 3.05 | - |
1451 | - | G | - | 1.02 | - |
1452 | - | A | - | -0.11 | - |
1453 | - | H | - | 0.98 | - |
1454 | - | Q | - | 0.53 | - |
1455 | - | S | - | 1.07 | - |
1456 | - | Y | - | -4.69 | - |
1457 | - | H | - | -0.1 | - |
1458 | - | G | - | 1.28 | - |
1459 | - | F | - | 1.89 | - |
1460 | - | E | - | 1.68 | - |
1461 | - | D | - | 0.48 | - |
1462 | T | T | 4.63 | 2.39 | 2.25 |
1463 | - | P | - | -2.79 | - |
1464 | - | R | - | 8.8 | - |
1465 | - | R | - | -0.25 | - |
1466 | - | R | - | 1.55 | - |
1467 | - | I | - | -0.85 | - |
1468 | - | T | - | -0.49 | - |
1469 | - | K | - | 0.43 | - |
1470 | - | S | - | 0.07 | - |
1471 | - | A | - | -1.93 | - |
1472 | - | S | - | 8.01 | - |
1473 | - | F | - | -5.16 | - |
1474 | - | T | - | 0.4 | - |
1475 | - | V | - | -4.57 | - |
1476 | - | D | - | 4.22 | - |
1477 | - | W | - | -5.89 | - |
1478 | - | D | - | 0.54 | - |
1479 | - | H | - | -1.78 | - |
1480 | - | P | - | -2.89 | - |
1481 | - | V | - | -2.96 | - |
1482 | - | F | - | -1.85 | - |
1483 | - | T | - | -1.97 | - |
1484 | - | G | - | -3.62 | - |
1485 | - | G | - | -0.35 | - |
1486 | - | R | - | 6.97 | - |
1487 | - | P | - | 1.29 | - |
1488 | - | V | - | -2.84 | - |
1489 | - | N | - | 0.25 | - |
1490 | - | L | - | -3.94 | - |
1491 | - | Q | - | -2.91 | - |
1492 | - | L | - | 0.72 | - |
1493 | - | A | - | 0.26 | - |
1494 | - | S | - | 2.57 | - |
1495 | - | F | - | 1.36 | - |
1496 | - | N | - | 0.17 | - |
1497 | - | N | - | -1.42 | - |
1498 | - | R | - | 1.5 | - |
1499 | - | C | - | -0.71 | - |
1500 | - | I | - | -4.31 | - |
1501 | - | Q | - | -3.11 | - |
1502 | - | V | - | -0.19 | - |
1503 | - | D | - | -1.85 | - |
1504 | - | A | - | 0.84 | - |
1505 | - | Q | - | 1.63 | - |
1506 | - | G | - | -2.86 | - |
1507 | - | R | - | -0.97 | - |
1508 | - | L | - | -4.31 | - |
1509 | - | T | - | 0.1 | - |
1510 | - | A | - | -0.21 | - |
1511 | - | N | - | 2.92 | - |
1512 | - | M | - | 6.8 | - |
1513 | - | C | - | 1.64 | - |
1514 | - | D | - | -1.75 | - |
1515 | - | S | - | -0.58 | - |
1516 | - | Q | - | 0.88 | - |
1517 | - | Q | - | 1.55 | - |
1518 | - | S | - | -0.92 | - |
1519 | - | A | - | -2.12 | - |
1520 | - | Q | - | -5.26 | - |
1521 | - | S | - | -1.42 | - |
1522 | - | F | - | -5.67 | - |
1523 | - | I | - | -4.91 | - |
1524 | - | Y | - | 0.92 | - |
1525 | - | D | - | -4.7 | - |
1526 | - | Q | - | 2.46 | - |
1527 | - | L | - | -1.54 | - |
1528 | - | G | - | -3.46 | - |
1529 | - | R | - | -3.49 | - |
1530 | - | Y | - | -4.14 | - |
1531 | - | V | - | -4.76 | - |
1532 | - | S | - | -1.94 | - |
1533 | - | A | - | -1.76 | - |
1534 | - | S | - | 5.09 | - |
1535 | - | N | - | 0.16 | - |
1536 | - | T | - | 1.01 | - |
1537 | - | K | - | -1.51 | - |
1538 | - | L | - | -3.63 | - |
1539 | - | C | - | 2.52 | - |
1540 | - | L | - | -4.63 | - |
1541 | - | D | - | -2.63 | - |
1542 | - | G | - | -0.3 | - |
1543 | - | A | - | -0.91 | - |
1544 | - | A | - | 1.98 | - |
1545 | - | L | - | -0.44 | - |
1546 | - | D | - | 1.37 | - |
1547 | - | A | - | -0.21 | - |
1548 | - | L | - | -3.31 | - |
1549 | - | Q | - | -0.39 | - |
1550 | - | P | - | -5.07 | - |
1551 | - | C | - | 4.37 | - |
1552 | - | N | - | -1.47 | - |
1553 | - | Q | - | 1.16 | - |
1554 | - | N | - | -1.87 | - |
1555 | - | L | - | -3.87 | - |
1556 | - | T | - | 1.12 | - |
1557 | - | Q | - | -3.89 | - |
1558 | - | R | - | -3.16 | - |
1559 | - | W | - | -5.1 | - |
1560 | E | E | 10.48 | -0.73 | 11.2 |
1561 | - | W | - | -1.56 | - |
1562 | - | R | - | 2.87 | - |
1563 | - | K | - | 0.88 | - |
1564 | - | G | - | -0.73 | - |
1565 | - | T | - | -0.07 | - |
1566 | - | D | - | -1.6 | - |
1567 | E | E | 4.35 | -1.78 | 6.13 |
1568 | - | L | - | -5.09 | - |
1569 | T | T | 5.04 | -0.83 | 5.87 |
1570 | N | N | 1.94 | -0.76 | 2.7 |
1571 | - | V | - | -1.19 | - |
1572 | - | Y | - | 1.86 | - |
1573 | - | S | - | 1.59 | - |
1574 | - | G | - | -1.76 | - |
1575 | - | E | - | -0.17 | - |
1576 | - | S | - | -0.5 | - |
1577 | - | L | - | -3.85 | - |
1578 | - | G | - | -1.41 | - |
1579 | - | H | - | 2.2 | - |
1580 | - | D | - | -3.47 | - |
1581 | - | K | - | -1.96 | - |
1582 | - | Q | - | 0.63 | - |
1583 | T | T | 0.12 | 0.42 | -0.3 |
1584 | - | G | - | -2.37 | - |
1585 | - | E | - | 1.37 | - |
1586 | L | L | 0.9 | -4.42 | 5.32 |
1587 | - | G | - | -0.88 | - |
1588 | - | L | - | -2.91 | - |
1589 | - | Y | - | -2.09 | - |
1590 | - | A | - | 1.61 | - |
1591 | - | S | - | -0.97 | - |
1592 | - | S | - | -2.01 | - |
1593 | - | N | - | -1.03 | - |
1594 | - | D | - | 0.87 | - |
1595 | - | A | - | -0.67 | - |
1596 | - | V | - | -2.06 | - |
1597 | - | S | - | -0.55 | - |
1598 | - | L | - | -0.97 | - |
1599 | - | R | - | -2.37 | - |
1600 | - | T | - | -0.4 | - |
1601 | - | I | - | -0.05 | - |
1602 | - | T | - | 0.15 | - |
1603 | - | A | - | -0.86 | - |
1604 | - | Y | - | -1.45 | - |
1605 | - | T | - | -1.51 | - |
1606 | - | D | - | -1.71 | - |
1607 | - | V | - | 0.75 | - |
1608 | - | F | - | -2.41 | - |
1609 | - | N | - | 10.95 | - |
1610 | - | A | - | 0.59 | - |
1611 | - | Q | - | 0.57 | - |
1612 | - | E | - | 4.93 | - |
1613 | - | S | - | 5.85 | - |
1614 | - | S | - | 1.23 | - |
1615 | P | P | 0.03 | -1.75 | 1.78 |
1616 | - | I | - | 0.62 | - |
1617 | - | L | - | -3.16 | - |
1618 | - | G | - | -2.25 | - |
1619 | - | Y | - | 0.04 | - |
1620 | - | T | - | 1.51 | - |
1621 | - | Q | - | 1.28 | - |
1622 | - | G | - | -1.7 | - |
1623 | - | K | - | -0.1 | - |
1624 | - | M | - | 4.49 | - |
1625 | - | N | - | 1.41 | - |
1626 | - | Q | - | 1.03 | - |
1627 | - | Q | - | -1.47 | - |
1628 | - | R | - | 4.69 | - |
1629 | - | V | - | 1.1 | - |
1630 | - | G | - | 0.75 | - |
1631 | - | Q | - | 2.07 | - |
1632 | - | D | - | 0.92 | - |
1633 | - | N | - | 1.36 | - |
1634 | - | R | - | -0.17 | - |
1635 | - | L | - | -4.74 | - |
1636 | - | Y | - | -3.88 | - |
1637 | - | V | - | -2.44 | - |
1638 | - | R | - | 1.16 | - |
1639 | - | A | - | -1.9 | - |
1640 | - | G | - | 1.02 | - |
1641 | - | A | - | 0.98 | - |
1642 | - | A | - | -1.31 | - |
1643 | - | I | - | 0.75 | - |
1644 | - | D | - | 3.23 | - |
1645 | - | A | - | -3.47 | - |
1646 | - | L | - | -3.39 | - |
1647 | - | G | - | -3.17 | - |
1648 | - | S | - | 0.26 | - |
1649 | - | A | - | -0.8 | - |
1650 | - | S | - | -0.48 | - |
1651 | - | D | - | 2.19 | - |
1652 | - | L | - | 1.57 | - |
1653 | - | L | - | -0.65 | - |
1654 | - | V | - | 2.11 | - |
1655 | - | G | - | -2.38 | - |
1656 | - | G | - | 2.29 | - |
1657 | - | N | - | 12.97 | - |
1658 | - | G | - | 3.13 | - |
1659 | - | G | - | 2.14 | - |
1660 | - | S | - | -0.01 | - |
1661 | - | L | - | -0.6 | - |
1662 | - | S | - | 0.33 | - |
1663 | - | S | - | -0.82 | - |
1664 | - | V | - | -3.8 | - |
1665 | - | D | - | 1.96 | - |
1666 | - | L | - | -4.32 | - |
1667 | - | S | - | 3.06 | - |
1668 | - | G | - | -2.71 | - |
1669 | - | V | - | -2.98 | - |
1670 | - | K | - | -1.23 | - |
1671 | - | S | - | 1.15 | - |
1672 | - | I | - | -5.45 | - |
1673 | - | T | - | -0.14 | - |
1674 | - | A | - | -1.46 | - |
1675 | - | T | - | -3.03 | - |
1676 | - | S | - | -2.63 | - |
1677 | - | G | - | -2.27 | - |
1678 | - | D | - | -1.11 | - |
1679 | - | F | - | -0.27 | - |
1680 | - | Q | - | 0.04 | - |
1681 | - | Y | - | 1.1 | - |
1682 | - | G | - | -0.53 | - |
1683 | - | G | - | 0.34 | - |
1684 | - | Q | - | 0.23 | - |
1685 | - | Q | - | -0.13 | - |
1686 | - | L | - | -6.08 | - |
1687 | - | V | - | -1.6 | - |
1688 | - | A | - | -2.27 | - |
1689 | - | L | - | -5.93 | - |
1690 | - | T | - | 0.11 | - |
1691 | - | F | - | -4.22 | - |
1692 | - | T | - | -2.52 | - |
1693 | - | Y | - | -2.87 | - |
1694 | - | Q | - | 2.49 | - |
1695 | - | D | - | 2.22 | - |
1696 | - | G | - | -1.09 | - |
1697 | - | R | - | 0.52 | - |
1698 | - | Q | - | -0.28 | - |
1699 | - | Q | - | -0.46 | - |
1700 | - | T | - | 0.99 | - |
1701 | - | V | - | -1.54 | - |
1702 | - | G | - | -3.35 | - |
1703 | - | S | - | 0.31 | - |
1704 | - | K | - | 3.44 | - |
1705 | - | A | - | 1.18 | - |
1706 | - | Y | - | -1.9 | - |
1707 | - | V | - | -1.15 | - |
1708 | - | T | - | 0.18 | - |
1709 | - | N | - | -3.38 | - |
1710 | - | A | - | -0.73 | - |
1711 | H | H | 3.03 | 0.8 | 2.23 |
1712 | - | E | - | 0.87 | - |
1713 | - | D | - | -1.87 | - |
1714 | - | R | - | 1.09 | - |
1715 | - | F | - | -1.36 | - |
1716 | - | D | - | -1.09 | - |
1717 | - | L | - | -1.46 | - |
1718 | - | P | - | -2.95 | - |
1719 | - | D | - | 2.6 | - |
1720 | - | A | - | 2.3 | - |
1721 | - | A | - | -0.06 | - |
1722 | - | K | - | -0.95 | - |
1723 | - | I | - | -0.86 | - |
1724 | - | T | - | -1.4 | - |
1725 | - | Q | - | 9.31 | - |
1726 | - | L | - | -3.66 | - |
1727 | - | K | - | 0.06 | - |
1728 | - | I | - | -4.61 | - |
1729 | - | W | - | -5.19 | - |
1730 | - | A | - | -2.32 | - |
1731 | - | D | - | 0.07 | - |
1732 | - | D | - | 2.59 | - |
1733 | - | W | - | 3.42 | - |
1734 | - | L | - | -1.85 | - |
1735 | V | V | -0.7 | -3.35 | 2.65 |
1736 | - | K | - | 2.92 | - |
1737 | - | G | - | -2.78 | - |
1738 | - | V | - | -2.7 | - |
1739 | - | Q | - | -0.68 | - |
1740 | - | F | - | -4.49 | - |
1741 | - | D | - | 4.66 | - |
1742 | - | L | - | -2.21 | - |
1743 | - | N | - | 3.55 | - |
1744 | - | T | - | 8.68 | - |
1745 | - | N | - | 0.87 | - |
1746 | - | T | - | 1.19 | - |
1747 | - | L | - | 2.34 | - |
1748 | - | P | - | 25.05 | - |
1749 | - | H | - | 0.41 | - |
1750 | - | V | - | -1.14 | - |
1751 | A | A | -0.51 | -2.94 | 2.43 |
1752 | F | F | -5.76 | -4.71 | -1.06 |
1753 | Y | Y | -4.33 | -2.43 | -1.89 |
1754 | I | I | -3.58 | -3.11 | -0.47 |
1755 | S | S | -0.08 | -1.92 | 1.85 |
1756 | V | V | 24.65 | -0.96 | 25.61 |
1757 | N | N | 2.54 | 0.78 | 1.76 |
1758 | R | R | 2.23 | 3.05 | -0.82 |
1759 | A | A | 0.55 | 0.87 | -0.32 |
1760 | I | I | -1.11 | -3.26 | 2.15 |
1761 | S | S | -1.15 | -0.64 | -0.51 |
1762 | D | D | 0.59 | 1.03 | -0.43 |
1763 | E | E | -0.29 | -0.1 | -0.19 |
1764 | E | E | -3.63 | -2.53 | -1.1 |
1765 | C | C | 4.28 | 15.78 | -11.5 |
1766 | T | T | -1.33 | -0.02 | -1.3 |
1767 | F | F | -3.36 | -3.04 | -0.32 |
1768 | N | N | 1.2 | -1.67 | 2.87 |
1769 | N | N | -0.58 | -0.56 | -0.02 |
1770 | S | S | 0.09 | -0.63 | 0.72 |
1771 | W | W | 3.08 | 0.74 | 2.34 |
1772 | L | L | -3.06 | -3.77 | 0.7 |
1773 | W | W | -0.99 | -0.43 | -0.56 |
1774 | K | K | 5.78 | 7.85 | -2.08 |
1775 | N | N | 1.28 | 3.39 | -2.11 |
1776 | E | E | 1.7 | 0.46 | 1.25 |
1777 | K | K | 0.1 | -0.58 | 0.68 |
1778 | G | G | -1.7 | -1.91 | 0.21 |
1779 | S | S | -1.49 | -1.34 | -0.15 |
1780 | R | R | 2.14 | -0.04 | 2.17 |
1781 | P | P | 0.83 | -0.3 | 1.13 |
1782 | F | F | -2.52 | -2.5 | -0.03 |
1783 | C | C | 6.13 | 15.16 | -9.03 |
1784 | K | K | 0.27 | 1.62 | -1.36 |
1785 | D | D | -2.68 | -2.23 | -0.44 |
1786 | A | A | 0.41 | -2.52 | 2.93 |
1787 | N | N | 1.89 | 0.83 | 1.06 |
1788 | I | I | -4.11 | -3.62 | -0.49 |
1789 | S | S | 0.02 | -0.11 | 0.13 |
1790 | L | L | -3.36 | -4.17 | 0.81 |
1791 | I | I | -1.63 | -1.47 | -0.16 |
1792 | Y | Y | -0.98 | -5.24 | 4.26 |
1793 | R | R | 0.88 | -0.69 | 1.57 |
1794 | V | V | -4.21 | -4.64 | 0.43 |
1795 | N | N | 1.12 | 0.86 | 0.25 |
1796 | L | L | -5.21 | -3.24 | -1.98 |
1797 | E | E | 0.55 | 4.19 | -3.64 |
1798 | R | R | 0.49 | 1.17 | -0.69 |
1799 | S | S | -1.28 | -0.92 | -0.36 |
1800 | L | L | -2.82 | 0.52 | -3.34 |
1801 | Q | Q | 1.06 | -0.56 | 1.62 |
1802 | Y | Y | -1.5 | -0.57 | -0.92 |
1803 | G | G | -1.5 | -1.19 | -0.32 |
1804 | I | I | 2.5 | 6.92 | -4.42 |
1805 | V | V | 3.22 | 5.3 | -2.09 |
1806 | G | G | 0.33 | -2.49 | 2.82 |
1807 | S | S | 0.09 | 1.44 | -1.35 |
1808 | A | A | -0.2 | -0.39 | 0.19 |
1809 | T | T | -0.15 | 0.18 | -0.33 |
1810 | P | P | -1.88 | -3.62 | 1.74 |
1811 | D | D | -2.14 | -2.55 | 0.42 |
1812 | A | A | -2.7 | -2.41 | -0.29 |
1813 | K | K | -5.35 | -1.99 | -3.36 |
1814 | I | I | -2.7 | -2.91 | 0.21 |
1815 | V | V | -3.88 | -5.52 | 1.64 |
1816 | R | R | -3.57 | 0.73 | -4.3 |
1817 | I | I | -4.32 | -4.92 | 0.6 |
1818 | S | S | 2.91 | 1.41 | 1.51 |
1819 | L | L | -0.25 | -1.7 | 1.46 |
1820 | D | D | 0.63 | -2.2 | 2.83 |
1821 | D | D | 2.38 | 1.51 | 0.87 |
1822 | D | D | -0.79 | -0.7 | -0.09 |
1823 | S | S | -0.77 | 14.29 | -15.06 |
1824 | T | T | 4.74 | -0.22 | 4.96 |
1825 | G | G | 0.82 | -1.61 | 2.43 |
1826 | A | A | 0.57 | -2.39 | 2.97 |
1827 | G | G | -2.95 | -2.92 | -0.03 |
1828 | I | I | -4.32 | -3.86 | -0.46 |
1829 | H | H | 0.68 | -0.91 | 1.59 |
1830 | L | L | -3.7 | -4.83 | 1.13 |
1831 | N | N | 2.59 | 8.85 | -6.26 |
1832 | D | D | -0.48 | 2.41 | -2.89 |
1833 | Q | Q | 0.82 | 5.19 | -4.37 |
1834 | L | L | 3.92 | -3.08 | 7.0 |
1835 | G | G | -2.05 | -2.31 | 0.27 |
1836 | Y | Y | -1.29 | -2.7 | 1.41 |
1837 | R | R | 2.06 | 0.79 | 1.26 |
1838 | Q | Q | 2.97 | 3.68 | -0.71 |
1839 | F | F | -1.22 | 2.52 | -3.74 |
1840 | G | G | -0.24 | 0.06 | -0.3 |
1841 | A | A | -1.48 | -0.67 | -0.81 |
1842 | S | S | 0.76 | 1.35 | -0.59 |
1843 | Y | Y | 1.42 | 2.49 | -1.07 |
1844 | T | T | 3.11 | 11.83 | -8.72 |
1845 | T | T | 1.15 | 3.74 | -2.59 |
1846 | L | L | 2.72 | 2.24 | 0.48 |
1847 | D | D | 7.64 | 4.47 | 3.18 |
1848 | A | A | 0.59 | 0.6 | -0.01 |
1849 | Y | Y | -1.87 | -2.03 | 0.17 |
1850 | F | F | 1.67 | 1.43 | 0.24 |
1851 | R | R | 2.76 | 8.92 | -6.16 |
1852 | E | E | -3.51 | -2.41 | -1.1 |
1853 | W | W | -3.19 | -2.27 | -0.91 |
1854 | S | S | 2.18 | 2.1 | 0.08 |
1855 | T | T | 0.6 | 2.84 | -2.24 |
1856 | D | D | -2.97 | -2.55 | -0.42 |
1857 | A | A | -4.17 | -3.43 | -0.74 |
1858 | I | I | -5.19 | -4.45 | -0.74 |
1859 | A | A | -2.46 | -2.77 | 0.31 |
1860 | Q | Q | -1.4 | -0.63 | -0.77 |
1861 | D | D | -1.79 | -2.0 | 0.21 |
1862 | Y | Y | -5.45 | -5.12 | -0.33 |
1863 | R | R | 0.72 | -0.07 | 0.79 |
1864 | F | F | -4.09 | -2.64 | -1.44 |
1865 | V | V | -1.14 | 0.11 | -1.26 |
1866 | F | F | -5.14 | -5.09 | -0.05 |
1867 | N | N | 6.52 | 5.84 | 0.68 |
1868 | A | A | -0.47 | -1.42 | 0.95 |
1869 | S | S | -0.69 | -1.28 | 0.58 |
1870 | N | N | -0.15 | -0.04 | -0.11 |
1871 | N | N | 1.18 | 1.0 | 0.18 |
1872 | K | K | 9.6 | -1.11 | 10.71 |
1873 | A | A | -2.17 | -1.99 | -0.18 |
1874 | Q | Q | -1.5 | -2.13 | 0.63 |
1875 | I | I | -2.1 | -1.32 | -0.78 |
1876 | L | L | 0.27 | 1.18 | -0.92 |
1877 | K | K | 1.93 | 8.55 | -6.63 |
1878 | T | T | -2.32 | -2.75 | 0.43 |
1879 | F | F | 4.54 | 5.03 | -0.48 |
1880 | P | P | 3.55 | -2.48 | 6.03 |
1881 | V | V | 2.92 | 4.71 | -1.78 |
1882 | D | D | 0.77 | 0.04 | 0.73 |
1883 | N | N | -1.91 | -3.76 | 1.86 |
1884 | I | I | -0.48 | 15.11 | -15.59 |
1885 | N | N | -0.07 | -2.75 | 2.69 |
1886 | E | E | 5.51 | 0.78 | 4.74 |
1887 | K | K | -0.24 | -0.72 | 0.49 |
1888 | F | F | -0.95 | -3.15 | 2.2 |
1889 | E | E | 1.18 | -0.41 | 1.59 |
1890 | R | R | 1.87 | 12.33 | -10.46 |
1891 | K | K | 1.86 | 15.74 | -13.88 |
1892 | E | E | -0.28 | -0.39 | 0.12 |
1893 | V | V | -0.23 | 0.51 | -0.74 |
1894 | S | S | -0.31 | -0.99 | 0.68 |
1895 | G | G | 0.58 | -1.97 | 2.55 |
1896 | F | F | -0.99 | -0.57 | -0.43 |
1897 | E | E | -0.25 | 0.36 | -0.61 |
1898 | L | L | -3.51 | 3.62 | -7.13 |
1899 | G | G | -1.44 | 1.42 | -2.86 |
1900 | V | V | -2.61 | 1.42 | -4.04 |
1901 | T | T | -0.47 | -1.26 | 0.79 |
1902 | G | G | -1.18 | 1.24 | -2.42 |
1903 | G | G | -2.0 | 1.95 | -3.96 |
1904 | V | V | 4.24 | 9.24 | -5.0 |
1905 | E | E | -1.65 | -1.31 | -0.34 |
1906 | V | V | 6.03 | 4.16 | 1.87 |
1907 | S | S | 3.08 | -0.59 | 3.67 |
1908 | G | G | 3.63 | 2.57 | 1.06 |
1909 | D | D | 2.49 | -0.15 | 2.64 |
1910 | G | G | 0.83 | 6.8 | -5.97 |
1911 | P | P | -1.12 | 7.47 | -8.59 |
1912 | K | K | -3.42 | 29.95 | -33.37 |
1913 | A | A | 4.27 | -0.44 | 4.7 |
1914 | K | K | -3.05 | 1.43 | -4.48 |
1915 | L | L | 5.67 | 0.79 | 4.87 |
1916 | E | E | 1.08 | -0.16 | 1.24 |
1917 | A | A | -1.23 | -0.76 | -0.47 |
1918 | R | R | 0.5 | 2.96 | -2.46 |
1919 | A | A | -2.97 | 0.59 | -3.56 |
1920 | S | S | -0.86 | 2.03 | -2.89 |
1921 | Y | Y | -3.55 | 2.05 | -5.6 |
1922 | T | T | -0.85 | 4.41 | -5.26 |
1923 | Q | Q | -2.12 | 4.17 | -6.29 |
1924 | S | S | -0.7 | 2.13 | -2.84 |
1925 | R | R | 1.89 | 0.3 | 1.59 |
1926 | W | W | -2.08 | 13.44 | -15.51 |
1927 | L | L | -3.68 | -2.34 | -1.34 |
1928 | T | T | 1.3 | 2.17 | -0.87 |
1929 | Y | Y | -3.51 | -1.69 | -1.82 |
1930 | N | N | 0.66 | 0.51 | 0.15 |
1931 | T | T | -0.34 | -2.49 | 2.16 |
1932 | Q | Q | 2.92 | -2.04 | 4.96 |
1933 | D | D | -3.19 | 3.57 | -6.76 |
1934 | Y | Y | 2.01 | -6.63 | 8.64 |
1935 | R | R | -1.51 | -1.66 | 0.15 |
1936 | I | I | -5.44 | -1.24 | -4.19 |
1937 | E | E | -3.16 | -2.21 | -0.95 |
1938 | R | R | -1.04 | -3.76 | 2.73 |
1939 | N | N | 2.88 | 0.22 | 2.67 |
1940 | A | A | 2.09 | 0.63 | 1.46 |
1941 | K | K | 0.23 | 6.41 | -6.18 |
1942 | N | N | -0.29 | -1.01 | 0.72 |
1943 | A | A | -0.71 | -1.54 | 0.83 |
1944 | Q | Q | -2.02 | -2.04 | 0.02 |
1945 | A | A | 2.52 | -1.67 | 4.19 |
1946 | V | V | -3.46 | -2.22 | -1.23 |
1947 | S | S | -1.58 | 0.06 | -1.65 |
1948 | F | F | -3.79 | -4.76 | 0.97 |
1949 | T | T | -1.04 | -1.77 | 0.73 |
1950 | W | W | 0.72 | -0.18 | 0.89 |
1951 | N | N | 1.91 | 0.46 | 1.44 |
1952 | R | R | -2.89 | -3.21 | 0.32 |
1953 | Q | Q | 3.56 | 0.57 | 2.99 |
1954 | Q | Q | 14.85 | 23.83 | -8.98 |
1955 | Y | Y | -0.5 | 0.64 | -1.14 |
1956 | A | A | 0.18 | -0.13 | 0.31 |
1957 | T | T | -0.37 | 0.04 | -0.41 |
1958 | A | A | -3.27 | -3.06 | -0.22 |
1959 | E | E | 2.36 | 4.0 | -1.64 |
1960 | S | S | -2.06 | -0.74 | -1.32 |
1961 | L | L | -4.04 | -3.44 | -0.6 |
1962 | L | L | -2.7 | -1.53 | -1.16 |
1963 | N | N | 0.25 | 0.57 | -0.32 |
1964 | R | R | 1.31 | 1.59 | -0.27 |
1965 | S | S | 0.98 | 0.87 | 0.11 |
1966 | T | T | 1.39 | 3.22 | -1.83 |
1967 | D | D | -1.21 | 1.0 | -2.21 |
1968 | A | A | -1.67 | -0.45 | -1.22 |
1969 | L | L | -0.84 | 11.25 | -12.09 |
1970 | W | W | 3.2 | 4.26 | -1.06 |
1971 | V | V | -1.0 | 0.16 | -1.17 |
1972 | N | N | 1.19 | 4.8 | -3.62 |
1973 | T | T | 0.59 | 0.3 | 0.28 |
1974 | Y | Y | -1.54 | 3.69 | -5.24 |
1975 | P | P | -4.75 | 31.59 | -36.34 |
1976 | V | V | -1.81 | -1.77 | -0.04 |
1977 | D | D | -2.62 | -1.57 | -1.06 |
1978 | V | V | 11.06 | 1.91 | 9.15 |
1979 | N | N | -0.42 | 0.38 | -0.8 |
1980 | R | R | -1.83 | -0.97 | -0.86 |
1981 | I | I | -4.48 | -2.35 | -2.13 |
1982 | S | S | -1.68 | 4.22 | -5.91 |
1983 | P | P | -3.41 | -3.51 | 0.11 |
1984 | L | L | 10.2 | 0.11 | 10.09 |
1985 | S | S | 0.8 | -0.5 | 1.31 |
1986 | Y | Y | -3.96 | -5.07 | 1.11 |
1987 | A | A | 5.22 | 0.9 | 4.32 |
1988 | S | S | 0.3 | 0.56 | -0.26 |
1989 | F | F | -4.03 | -3.64 | -0.39 |
1990 | V | V | 0.75 | 1.01 | -0.27 |
1991 | P | P | -5.02 | 24.5 | -29.52 |
1992 | K | K | 3.62 | 14.45 | -10.83 |
1993 | M | M | -2.51 | 11.31 | -13.82 |
1994 | D | D | 0.43 | 3.51 | -3.08 |
1995 | V | V | -5.01 | -5.21 | 0.2 |
1996 | I | I | -3.98 | 6.56 | -10.54 |
1997 | Y | Y | -5.25 | -5.7 | 0.45 |
1998 | K | K | -1.69 | 20.47 | -22.17 |
1999 | A | A | -2.73 | -2.31 | -0.42 |
2000 | S | S | 1.59 | 2.71 | -1.12 |
2001 | A | A | -0.61 | -0.93 | 0.32 |
2002 | T | T | 0.58 | 2.95 | -2.37 |
2003 | E | E | 0.43 | 0.91 | -0.48 |
2004 | T | T | 6.64 | 0.49 | 6.15 |
2005 | G | G | -2.31 | -1.61 | -0.71 |
2006 | S | S | -0.43 | 0.47 | -0.89 |
2007 | T | T | -2.15 | -2.11 | -0.04 |
2008 | D | D | 1.48 | 2.55 | -1.07 |
2009 | F | F | -6.35 | -4.83 | -1.51 |
2010 | I | I | 1.6 | -2.61 | 4.2 |
2011 | I | I | -3.46 | -3.97 | 0.51 |
2012 | D | D | 1.2 | 3.72 | -2.52 |
2013 | S | S | -1.42 | 1.3 | -2.72 |
2014 | S | S | -3.05 | -2.59 | -0.46 |
2015 | V | V | -2.97 | -3.67 | 0.71 |
2016 | N | N | -1.87 | -2.43 | 0.56 |
2017 | I | I | -5.03 | -4.65 | -0.38 |
2018 | R | R | 3.59 | 5.41 | -1.81 |
2019 | P | P | -5.16 | -4.79 | -0.37 |
2020 | I | I | -2.68 | -0.62 | -2.05 |
2021 | Y | Y | -6.09 | -2.23 | -3.86 |
2022 | N | N | -1.48 | 0.64 | -2.12 |
2023 | G | G | -0.91 | -0.22 | -0.7 |
2024 | A | A | -2.4 | -2.58 | 0.18 |
2025 | Y | Y | -1.73 | -1.5 | -0.23 |
2026 | K | K | 1.63 | 0.22 | 1.41 |
2027 | H | H | -2.29 | 0.78 | -3.07 |
2028 | Y | Y | 0.41 | -0.63 | 1.04 |
2029 | Y | Y | 59.9 | 8.42 | 51.48 |
2030 | V | V | 30.91 | 3.53 | 27.38 |
2031 | V | V | 8.16 | 4.32 | 3.83 |
2032 | G | G | 0.69 | 0.95 | -0.26 |
2033 | A | A | -0.98 | -0.14 | -0.83 |
2034 | H | H | 33.21 | 1.46 | 31.75 |
2035 | Q | Q | -1.72 | 0.38 | -2.11 |
2036 | S | S | -2.66 | 2.01 | -4.67 |
2037 | Y | Y | -3.55 | -4.91 | 1.36 |
2038 | H | H | -2.03 | -0.2 | -1.84 |
2039 | G | G | -0.01 | 1.42 | -1.43 |
2040 | F | F | 0.86 | 2.0 | -1.14 |
2041 | E | E | 2.64 | 2.05 | 0.59 |
2042 | D | D | 0.46 | 0.67 | -0.22 |
2043 | T | T | 0.87 | 2.62 | -1.75 |
2044 | P | P | -1.44 | -2.3 | 0.86 |
2045 | R | R | 6.56 | 7.69 | -1.14 |
2046 | R | R | -0.29 | 0.62 | -0.91 |
2047 | R | R | -1.61 | 1.68 | -3.3 |
2048 | I | I | -2.02 | -1.3 | -0.72 |
2049 | T | T | 0.04 | -0.72 | 0.75 |
2050 | K | K | 1.63 | 0.55 | 1.08 |
2051 | S | S | 1.19 | 0.01 | 1.18 |
2052 | A | A | -1.08 | -1.95 | 0.87 |
2053 | S | S | 0.05 | 5.6 | -5.55 |
2054 | F | F | -5.9 | -5.33 | -0.57 |
2055 | T | T | -1.75 | -0.31 | -1.43 |
2056 | V | V | -4.31 | -4.67 | 0.36 |
2057 | D | D | -0.83 | 4.21 | -5.04 |
2058 | W | W | -6.7 | -4.84 | -1.86 |
2059 | D | D | -0.17 | 0.39 | -0.56 |
2060 | H | H | -0.63 | 0.13 | -0.76 |
2061 | P | P | -1.9 | -1.09 | -0.81 |
2062 | V | V | -0.62 | -2.77 | 2.14 |
2063 | F | F | -5.16 | -1.31 | -3.84 |
2064 | T | T | -0.89 | -2.29 | 1.4 |
2065 | G | G | -2.58 | -3.4 | 0.82 |
2066 | G | G | -0.87 | -0.28 | -0.59 |
2067 | R | R | 4.58 | 5.26 | -0.68 |
2068 | P | P | -3.73 | 0.18 | -3.92 |
2069 | V | V | -2.13 | -2.79 | 0.66 |
2070 | N | N | -1.54 | -0.15 | -1.38 |
2071 | L | L | -4.19 | -3.85 | -0.34 |
2072 | Q | Q | -2.22 | -2.65 | 0.43 |
2073 | L | L | -3.04 | 0.43 | -3.46 |
2074 | A | A | 0.1 | -0.33 | 0.42 |
2075 | S | S | 1.43 | 3.01 | -1.58 |
2076 | F | F | 0.53 | 1.83 | -1.3 |
2077 | N | N | 0.64 | 1.01 | -0.36 |
2078 | N | N | -0.51 | -1.54 | 1.03 |
2079 | R | R | -1.88 | 3.84 | -5.72 |
2080 | C | C | 0.9 | -0.73 | 1.64 |
2081 | I | I | -2.81 | -4.38 | 1.57 |
2082 | Q | Q | -2.28 | -3.13 | 0.84 |
2083 | V | V | -0.87 | 0.6 | -1.47 |
2084 | D | D | 0.95 | -2.25 | 3.2 |
2085 | A | A | 1.1 | 0.93 | 0.18 |
2086 | Q | Q | 5.82 | 1.55 | 4.27 |
2087 | G | G | -2.85 | -2.61 | -0.24 |
2088 | R | R | 1.25 | -1.22 | 2.47 |
2089 | L | L | -4.03 | -4.21 | 0.18 |
2090 | T | T | 1.48 | 0.34 | 1.14 |
2091 | A | A | 0.1 | -0.1 | 0.19 |
2092 | N | N | 1.08 | 3.32 | -2.23 |
2093 | M | M | 2.35 | 5.65 | -3.29 |
2094 | C | C | 1.26 | 1.32 | -0.06 |
2095 | D | D | 0.43 | -1.56 | 1.99 |
2096 | S | S | 1.54 | -0.52 | 2.06 |
2097 | Q | Q | 0.48 | 1.1 | -0.62 |
2098 | Q | Q | 1.8 | 1.53 | 0.27 |
2099 | S | S | -0.47 | -0.96 | 0.49 |
2100 | A | A | -3.28 | -2.17 | -1.11 |
2101 | Q | Q | -5.38 | -5.37 | -0.01 |
2102 | S | S | -2.06 | -1.42 | -0.64 |
2103 | F | F | -5.48 | -5.66 | 0.18 |
2104 | I | I | 0.51 | -4.6 | 5.11 |
2105 | Y | Y | -1.9 | 0.34 | -2.24 |
2106 | D | D | -1.97 | -5.17 | 3.2 |
2107 | Q | Q | 24.56 | 2.18 | 22.38 |
2108 | L | L | -0.81 | -1.61 | 0.8 |
2109 | G | G | -3.77 | -3.31 | -0.46 |
2110 | R | R | -4.82 | -3.61 | -1.21 |
2111 | Y | Y | -1.55 | -4.14 | 2.59 |
2112 | V | V | -2.05 | -4.71 | 2.66 |
2113 | S | S | -2.04 | -2.01 | -0.03 |
2114 | A | A | -1.65 | -1.65 | -0.01 |
2115 | S | S | -0.69 | 5.01 | -5.71 |
2116 | N | N | -1.03 | 0.41 | -1.45 |
2117 | T | T | 2.34 | 0.72 | 1.62 |
2118 | K | K | -1.71 | 0.77 | -2.48 |
2119 | L | L | -4.84 | -3.67 | -1.17 |
2120 | C | C | 0.54 | 4.31 | -3.78 |
2121 | L | L | -4.48 | -4.56 | 0.08 |
2122 | D | D | -0.17 | -2.74 | 2.57 |
2123 | G | G | -0.14 | -0.17 | 0.03 |
2124 | A | A | -1.2 | -0.88 | -0.31 |
2125 | A | A | 1.89 | 2.11 | -0.22 |
2126 | L | L | -0.98 | -0.56 | -0.41 |
2127 | D | D | 0.56 | 2.19 | -1.64 |
2128 | A | A | -1.63 | -0.36 | -1.27 |
2129 | L | L | -4.23 | -3.64 | -0.59 |
2130 | Q | Q | -0.9 | -0.48 | -0.42 |
2131 | P | P | -3.59 | -4.91 | 1.31 |
2132 | C | C | 0.45 | 6.13 | -5.68 |
2133 | N | N | -2.52 | -1.36 | -1.16 |
2134 | Q | Q | 2.71 | 0.92 | 1.78 |
2135 | N | N | 0.09 | -1.86 | 1.95 |
2136 | L | L | 1.13 | -3.49 | 4.62 |
2137 | T | T | 0.37 | 0.45 | -0.09 |
2138 | Q | Q | -3.6 | -3.87 | 0.26 |
2139 | R | R | -1.93 | -3.41 | 1.49 |
2140 | W | W | -5.91 | -5.24 | -0.67 |
2141 | E | E | -0.36 | -1.09 | 0.73 |
2142 | W | W | -3.82 | -2.27 | -1.56 |
2143 | R | R | 3.06 | 2.78 | 0.28 |
2144 | K | K | 0.85 | 1.05 | -0.2 |
2145 | G | G | -1.05 | -0.75 | -0.29 |
2146 | T | T | -0.74 | -0.02 | -0.72 |
2147 | D | D | -1.23 | -1.39 | 0.17 |
2148 | E | E | -1.25 | -1.87 | 0.62 |
2149 | L | L | -5.6 | -4.87 | -0.72 |
2150 | T | T | -1.5 | -1.03 | -0.48 |
2151 | N | N | -2.03 | -0.67 | -1.36 |
2152 | V | V | 1.13 | -1.24 | 2.37 |
2153 | Y | Y | 0.92 | 1.79 | -0.86 |
2154 | S | S | 1.24 | 2.1 | -0.86 |
2155 | G | G | -1.93 | -1.97 | 0.04 |
2156 | E | E | 0.44 | -0.3 | 0.74 |
2157 | S | S | -1.69 | -0.71 | -0.98 |
2158 | L | L | -3.66 | -3.46 | -0.2 |
2159 | G | G | -1.15 | -1.34 | 0.19 |
2160 | H | H | 0.39 | 1.85 | -1.46 |
2161 | D | D | -3.29 | -3.07 | -0.22 |
2162 | K | K | 0.27 | -2.13 | 2.4 |
2163 | Q | Q | 0.66 | 0.61 | 0.05 |
2164 | T | T | 0.17 | 0.4 | -0.23 |
2165 | G | G | -2.83 | -2.31 | -0.53 |
2166 | E | E | 0.34 | 1.38 | -1.04 |
2167 | L | L | -4.09 | -4.82 | 0.73 |
2168 | G | G | -2.23 | -0.87 | -1.36 |
2169 | L | L | -2.74 | -3.07 | 0.33 |
2170 | Y | Y | -2.19 | -1.76 | -0.43 |
2171 | A | A | 1.54 | 1.86 | -0.32 |
2172 | S | S | -0.77 | -1.06 | 0.29 |
2173 | S | S | 2.51 | -1.81 | 4.31 |
2174 | N | N | 0.46 | -0.78 | 1.24 |
2175 | D | D | 2.49 | 0.76 | 1.73 |
2176 | A | A | -0.62 | -0.72 | 0.1 |
2177 | V | V | -2.6 | -2.47 | -0.13 |
2178 | S | S | -0.68 | -0.55 | -0.13 |
2179 | L | L | 2.6 | -0.84 | 3.44 |
2180 | R | R | 2.6 | -1.29 | 3.89 |
2181 | T | T | -2.71 | 1.64 | -4.34 |
2182 | I | I | -1.01 | -0.16 | -0.86 |
2183 | T | T | -0.35 | 0.2 | -0.55 |
2184 | A | A | -0.63 | -0.66 | 0.03 |
2185 | Y | Y | -1.2 | -1.22 | 0.03 |
2186 | T | T | 0.28 | -1.63 | 1.91 |
2187 | D | D | 0.18 | -1.65 | 1.83 |
2188 | V | V | 1.19 | 1.23 | -0.04 |
2189 | F | F | 1.58 | -2.07 | 3.65 |
2190 | N | N | 0.09 | 11.57 | -11.49 |
2191 | A | A | 0.62 | 0.6 | 0.02 |
2192 | Q | Q | 0.46 | 0.61 | -0.15 |
2193 | E | E | -1.16 | 4.79 | -5.95 |
2194 | S | S | -0.03 | 6.67 | -6.7 |
2195 | S | S | 0.93 | 2.22 | -1.29 |
2196 | P | P | 3.84 | -1.36 | 5.19 |
2197 | I | I | -1.64 | -0.62 | -1.02 |
2198 | L | L | -4.54 | -3.31 | -1.23 |
2199 | G | G | -2.46 | -2.16 | -0.3 |
2200 | Y | Y | 0.46 | -0.32 | 0.78 |
2201 | T | T | 3.13 | 1.22 | 1.91 |
2202 | Q | Q | 2.59 | 1.29 | 1.3 |
2203 | G | G | -1.77 | -1.53 | -0.24 |
2204 | K | K | 0.9 | -0.16 | 1.06 |
2205 | M | M | -1.8 | 4.93 | -6.73 |
2206 | N | N | -0.2 | 1.57 | -1.77 |
2207 | Q | Q | -0.4 | 0.4 | -0.8 |
2208 | Q | Q | -2.95 | -1.37 | -1.58 |
2209 | R | R | 2.57 | 7.12 | -4.55 |
2210 | V | V | -2.33 | 1.13 | -3.45 |
2211 | G | G | 0.06 | 0.68 | -0.61 |
2212 | Q | Q | 1.09 | 1.96 | -0.86 |
2213 | D | D | 1.8 | 0.74 | 1.06 |
2214 | N | N | 0.41 | 1.8 | -1.39 |
2215 | R | R | 0.31 | -0.3 | 0.61 |
2216 | L | L | -4.98 | -4.41 | -0.57 |
2217 | Y | Y | -4.7 | -3.85 | -0.85 |
2218 | V | V | 2.14 | -2.05 | 4.19 |
2219 | R | R | 9.86 | 5.4 | 4.46 |
2220 | A | A | -2.59 | -1.91 | -0.68 |
2221 | G | G | 0.64 | 1.06 | -0.42 |
2222 | A | A | 0.48 | 1.13 | -0.65 |
2223 | A | A | -1.59 | -1.33 | -0.26 |
2224 | I | I | -5.46 | 1.1 | -6.56 |
2225 | D | D | 4.24 | 3.47 | 0.77 |
2226 | A | A | -3.88 | -3.4 | -0.48 |
2227 | L | L | -2.76 | -3.56 | 0.8 |
2228 | G | G | -2.97 | -3.28 | 0.31 |
2229 | S | S | -2.05 | -0.15 | -1.91 |
2230 | A | A | -1.83 | -0.47 | -1.35 |
2231 | S | S | -0.72 | -0.2 | -0.52 |
2232 | D | D | 0.6 | 2.2 | -1.59 |
2233 | L | L | -3.31 | 1.35 | -4.66 |
2234 | L | L | -3.69 | -0.93 | -2.76 |
2235 | V | V | 1.0 | 2.05 | -1.05 |
2236 | G | G | -2.3 | -2.4 | 0.09 |
2237 | G | G | -1.06 | 1.59 | -2.65 |
2238 | N | N | 2.52 | 12.05 | -9.54 |
2239 | G | G | -1.24 | 2.67 | -3.91 |
2240 | G | G | -2.19 | 2.01 | -4.2 |
2241 | S | S | 4.19 | 0.0 | 4.19 |
2242 | L | L | 1.01 | 3.51 | -2.5 |
2243 | S | S | 0.48 | 0.28 | 0.19 |
2244 | S | S | -1.49 | -0.71 | -0.77 |
2245 | V | V | -3.99 | -3.74 | -0.25 |
2246 | D | D | -1.65 | 1.74 | -3.39 |
2247 | L | L | -5.06 | -4.45 | -0.61 |
2248 | S | S | 3.29 | 3.2 | 0.09 |
2249 | G | G | -2.78 | -3.01 | 0.23 |
2250 | V | V | -4.1 | -3.31 | -0.79 |
2251 | K | K | -1.16 | -0.33 | -0.83 |
2252 | S | S | -1.67 | 0.58 | -2.25 |
2253 | I | I | -6.27 | -5.68 | -0.59 |
2254 | T | T | -1.78 | -0.47 | -1.31 |
2255 | A | A | -1.47 | -1.53 | 0.06 |
2256 | T | T | -3.36 | -2.75 | -0.6 |
2257 | S | S | -1.73 | -2.42 | 0.69 |
2258 | G | G | -2.54 | -2.65 | 0.11 |
2259 | D | D | -1.15 | -1.17 | 0.02 |
2260 | F | F | -3.18 | -0.63 | -2.55 |
2261 | Q | Q | -0.54 | 0.69 | -1.23 |
2262 | Y | Y | -2.09 | 0.3 | -2.39 |
2263 | G | G | -1.97 | -0.53 | -1.45 |
2264 | G | G | -1.06 | 0.3 | -1.35 |
2265 | Q | Q | 2.62 | 0.24 | 2.38 |
2266 | Q | Q | -0.45 | -0.09 | -0.36 |
2267 | L | L | -2.66 | -5.36 | 2.69 |
2268 | V | V | -3.29 | -2.14 | -1.15 |
2269 | A | A | -3.44 | -2.39 | -1.05 |
2270 | L | L | -5.29 | -6.13 | 0.84 |
2271 | T | T | -1.26 | -0.32 | -0.94 |
2272 | F | F | -5.25 | -4.77 | -0.48 |
2273 | T | T | -3.54 | -2.4 | -1.14 |
2274 | Y | Y | -4.14 | -2.2 | -1.94 |
2275 | Q | Q | 1.11 | 0.58 | 0.53 |
2276 | D | D | -1.15 | 0.42 | -1.56 |
2277 | G | G | -1.85 | -1.17 | -0.68 |
2278 | R | R | -0.48 | -2.69 | 2.22 |
2279 | Q | Q | -1.13 | -0.05 | -1.08 |
2280 | Q | Q | 0.22 | -0.44 | 0.66 |
2281 | T | T | 0.28 | 1.01 | -0.73 |
2282 | V | V | -1.51 | -1.75 | 0.24 |
2283 | G | G | -3.06 | -3.45 | 0.39 |
2284 | S | S | -0.13 | 0.23 | -0.37 |
2285 | K | K | -0.47 | 3.38 | -3.85 |
2286 | A | A | -0.41 | 1.16 | -1.57 |
2287 | Y | Y | -2.26 | -2.0 | -0.25 |
2288 | V | V | -1.57 | -1.04 | -0.53 |
2289 | T | T | 0.26 | -0.39 | 0.65 |
2290 | N | N | -0.79 | -2.44 | 1.66 |
2291 | A | A | -1.27 | -0.66 | -0.6 |
2292 | H | H | 1.92 | 2.54 | -0.62 |
2293 | E | E | 2.89 | 0.83 | 2.06 |
2294 | D | D | 0.02 | -1.78 | 1.79 |
2295 | R | R | 0.56 | 1.05 | -0.49 |
2296 | F | F | -1.32 | -1.02 | -0.29 |
2297 | D | D | -0.65 | -1.17 | 0.52 |
2298 | L | L | -1.79 | -2.04 | 0.26 |
2299 | P | P | -2.51 | -3.17 | 0.66 |
2300 | D | D | -0.74 | 0.33 | -1.07 |
2301 | A | A | 2.72 | 2.26 | 0.46 |
2302 | A | A | -1.43 | -0.17 | -1.27 |
2303 | K | K | -1.95 | -0.82 | -1.13 |
2304 | I | I | -5.16 | -1.45 | -3.7 |
2305 | T | T | 0.49 | -0.93 | 1.42 |
2306 | Q | Q | 2.35 | 6.81 | -4.46 |
2307 | L | L | -3.25 | -3.6 | 0.35 |
2308 | K | K | -1.83 | 0.94 | -2.77 |
2309 | I | I | -3.33 | -5.14 | 1.82 |
2310 | W | W | -5.31 | -5.27 | -0.04 |
2311 | A | A | -2.69 | -2.04 | -0.65 |
2312 | D | D | -2.89 | 0.33 | -3.22 |
2313 | D | D | 2.49 | 2.7 | -0.21 |
2314 | W | W | 4.28 | 3.14 | 1.14 |
2315 | L | L | -2.18 | -1.97 | -0.21 |
2316 | V | V | -2.69 | -3.38 | 0.69 |
2317 | K | K | -2.87 | 3.76 | -6.62 |
2318 | G | G | -2.17 | -2.86 | 0.7 |
2319 | V | V | -2.19 | -2.18 | -0.02 |
2320 | Q | Q | -1.3 | -0.33 | -0.97 |
2321 | F | F | -5.16 | -4.8 | -0.36 |
2322 | D | D | 0.78 | 4.39 | -3.61 |
2323 | L | L | -3.71 | -1.94 | -1.77 |
2324 | N | N | 3.12 | 4.03 | -0.91 |
2325 | X | - | 1.35 | - | - |
2326 | - | T | - | 8.88 | - |
2327 | - | N | - | 0.77 | - |
2328 | - | T | - | 1.16 | - |
2329 | - | L | - | 2.32 | - |
2330 | - | P | - | 26.67 | - |
2331 | - | H | - | 0.9 | - |
2332 | - | V | - | -0.8 | - |
2333 | - | A | - | -2.92 | - |
2334 | - | F | - | -4.4 | - |
2335 | - | Y | - | -2.84 | - |
2336 | - | I | - | -2.69 | - |
2337 | - | S | - | -1.91 | - |
2338 | - | V | - | -0.93 | - |
2339 | - | N | - | 0.69 | - |
2340 | - | R | - | 2.05 | - |
2341 | - | A | - | 0.66 | - |
2342 | - | I | - | -3.72 | - |
2343 | - | S | - | -1.04 | - |
2344 | - | D | - | 0.72 | - |
2345 | - | E | - | 0.64 | - |
2346 | - | E | - | -3.23 | - |
2347 | - | C | - | 16.89 | - |
2348 | - | T | - | 0.35 | - |
2349 | - | F | - | -2.67 | - |
2350 | - | N | - | -1.61 | - |
2351 | - | N | - | -1.12 | - |
2352 | - | S | - | -0.69 | - |
2353 | - | W | - | 0.41 | - |
2354 | - | L | - | -3.69 | - |
2355 | - | W | - | -0.25 | - |
2356 | - | K | - | 6.9 | - |
2357 | - | N | - | 3.28 | - |
2358 | - | E | - | 4.15 | - |
2359 | - | K | - | -0.72 | - |
2360 | - | G | - | -1.82 | - |
2361 | - | S | - | -0.38 | - |
2362 | - | R | - | 0.43 | - |
2363 | - | P | - | -0.39 | - |
2364 | - | F | - | -2.4 | - |
2365 | - | C | - | 15.34 | - |
2366 | - | K | - | 2.36 | - |
2367 | - | D | - | -2.05 | - |
2368 | - | A | - | -2.66 | - |
2369 | - | N | - | 0.83 | - |
2370 | - | I | - | -3.55 | - |
2371 | - | S | - | 0.17 | - |
2372 | - | L | - | -4.32 | - |
2373 | - | I | - | -0.98 | - |
2374 | - | Y | - | -6.19 | - |
2375 | - | R | - | -0.69 | - |
2376 | - | V | - | -4.49 | - |
2377 | - | N | - | 0.82 | - |
2378 | - | L | - | -2.61 | - |
2379 | - | E | - | 3.34 | - |
2380 | - | R | - | 1.21 | - |
2381 | - | S | - | -0.61 | - |
2382 | - | L | - | 0.54 | - |
2383 | - | Q | - | -0.78 | - |
2384 | - | Y | - | -0.6 | - |
2385 | - | G | - | -1.02 | - |
2386 | - | I | - | 7.51 | - |
2387 | - | V | - | 5.31 | - |
2388 | - | G | - | -2.21 | - |
2389 | - | S | - | 1.05 | - |
2390 | - | A | - | -0.5 | - |
2391 | - | T | - | 0.05 | - |
2392 | - | P | - | -4.05 | - |
2393 | - | D | - | -2.63 | - |
2394 | - | A | - | -2.32 | - |
2395 | - | K | - | -2.85 | - |
2396 | - | I | - | -2.75 | - |
2397 | - | V | - | -4.71 | - |
2398 | - | R | - | 1.1 | - |
2399 | - | I | - | -5.13 | - |
2400 | - | S | - | 1.75 | - |
2401 | - | L | - | -1.98 | - |
2402 | - | D | - | -2.92 | - |
2403 | - | D | - | 1.79 | - |
2404 | - | D | - | -0.83 | - |
2405 | - | S | - | 15.18 | - |
2406 | - | T | - | -0.03 | - |
2407 | - | G | - | -1.4 | - |
2408 | - | A | - | -2.64 | - |
2409 | - | G | - | -2.84 | - |
2410 | - | I | - | -4.15 | - |
2411 | - | H | - | 0.42 | - |
2412 | - | L | - | -4.82 | - |
2413 | - | N | - | 9.32 | - |
2414 | - | D | - | 2.01 | - |
2415 | - | Q | - | 5.45 | - |
2416 | - | L | - | -2.73 | - |
2417 | - | G | - | -2.27 | - |
2418 | - | Y | - | -2.46 | - |
2419 | - | R | - | 0.33 | - |
2420 | - | Q | - | 2.51 | - |
2421 | - | F | - | 0.97 | - |
2422 | - | G | - | -0.18 | - |
2423 | - | A | - | -0.11 | - |
2424 | - | S | - | 1.31 | - |
2425 | - | Y | - | 3.06 | - |
2426 | - | T | - | 11.54 | - |
2427 | - | T | - | 0.41 | - |
2428 | - | L | - | 2.34 | - |
2429 | - | D | - | 5.38 | - |
2430 | - | A | - | -0.11 | - |
2431 | - | Y | - | -2.3 | - |
2432 | - | F | - | 1.99 | - |
2433 | - | R | - | 8.1 | - |
2434 | - | E | - | -3.0 | - |
2435 | - | W | - | -2.02 | - |
2436 | - | S | - | 2.29 | - |
2437 | - | T | - | 1.9 | - |
2438 | - | D | - | -2.33 | - |
2439 | - | A | - | -3.42 | - |
2440 | - | I | - | -3.9 | - |
2441 | - | A | - | -2.79 | - |
2442 | - | Q | - | -1.45 | - |
2443 | - | D | - | -1.97 | - |
2444 | - | Y | - | -5.36 | - |
2445 | - | R | - | 0.07 | - |
2446 | - | F | - | -2.43 | - |
2447 | - | V | - | 0.91 | - |
2448 | - | F | - | -4.69 | - |
2449 | - | N | - | 5.62 | - |
2450 | - | A | - | -1.16 | - |
2451 | - | S | - | -0.37 | - |
2452 | - | N | - | 0.33 | - |
2453 | - | N | - | 1.5 | - |
2454 | - | K | - | -0.37 | - |
2455 | - | A | - | -1.93 | - |
2456 | - | Q | - | -1.94 | - |
2457 | - | I | - | -1.93 | - |
2458 | - | L | - | 3.81 | - |
2459 | - | K | - | 8.14 | - |
2460 | - | T | - | -2.56 | - |
2461 | - | F | - | 4.42 | - |
2462 | - | P | - | -2.19 | - |
2463 | - | V | - | 6.38 | - |
2464 | - | D | - | -0.27 | - |
2465 | - | N | - | -2.75 | - |
2466 | - | I | - | 14.95 | - |
2467 | - | N | - | -2.45 | - |
2468 | - | E | - | 1.03 | - |
2469 | - | K | - | -0.64 | - |
2470 | - | F | - | -4.2 | - |
2471 | - | E | - | -0.22 | - |
2472 | - | R | - | 16.35 | - |
2473 | - | K | - | 15.34 | - |
2474 | - | E | - | -0.51 | - |
2475 | - | V | - | -0.08 | - |
2476 | - | S | - | -1.12 | - |
2477 | - | G | - | -1.88 | - |
2478 | - | F | - | -0.57 | - |
2479 | - | E | - | 0.23 | - |
2480 | - | L | - | 4.45 | - |
2481 | - | G | - | 1.41 | - |
2482 | - | V | - | 1.09 | - |
2483 | - | T | - | -0.9 | - |
2484 | - | G | - | 1.41 | - |
2485 | - | G | - | 2.03 | - |
2486 | - | V | - | 8.48 | - |
2487 | - | E | - | -0.7 | - |
2488 | - | V | - | 3.98 | - |
2489 | - | S | - | 7.98 | - |
2490 | - | G | - | 2.62 | - |
2491 | - | D | - | -0.36 | - |
2492 | - | G | - | 6.65 | - |
2493 | - | P | - | 7.32 | - |
2494 | - | K | - | -1.13 | - |
2495 | - | A | - | -0.52 | - |
2496 | - | K | - | 0.54 | - |
2497 | - | L | - | 0.38 | - |
2498 | - | E | - | -0.72 | - |
2499 | - | A | - | -0.87 | - |
2500 | - | R | - | 2.91 | - |
2501 | - | A | - | 0.4 | - |
2502 | - | S | - | 2.09 | - |
2503 | - | Y | - | 2.14 | - |
2504 | - | T | - | 5.84 | - |
2505 | - | Q | - | 4.61 | - |
2506 | - | S | - | 2.33 | - |
2507 | - | R | - | 0.51 | - |
2508 | - | W | - | 13.01 | - |
2509 | - | L | - | -2.44 | - |
2510 | - | T | - | 2.72 | - |
2511 | - | Y | - | -2.24 | - |
2512 | - | N | - | 0.94 | - |
2513 | - | T | - | -1.5 | - |
2514 | - | Q | - | -1.63 | - |
2515 | - | D | - | 3.16 | - |
2516 | - | Y | - | -6.14 | - |
2517 | - | R | - | -1.54 | - |
2518 | - | I | - | -1.12 | - |
2519 | - | E | - | -2.04 | - |
2520 | - | R | - | -4.08 | - |
2521 | - | N | - | 0.11 | - |
2522 | - | A | - | 0.38 | - |
2523 | - | K | - | 5.08 | - |
2524 | - | N | - | -0.62 | - |
2525 | - | A | - | -1.67 | - |
2526 | - | Q | - | -1.91 | - |
2527 | - | A | - | -1.87 | - |
2528 | - | V | - | -1.2 | - |
2529 | - | S | - | 1.13 | - |
2530 | - | F | - | -5.05 | - |
2531 | - | T | - | -1.04 | - |
2532 | - | W | - | -0.11 | - |
2533 | - | N | - | 0.58 | - |
2534 | - | R | - | -3.91 | - |
2535 | - | Q | - | 0.98 | - |
2536 | - | Q | - | 10.06 | - |
2537 | - | Y | - | 0.59 | - |
2538 | - | A | - | -0.23 | - |
2539 | - | T | - | -0.07 | - |
2540 | - | A | - | -2.65 | - |
2541 | - | E | - | 4.26 | - |
2542 | - | S | - | -0.87 | - |
2543 | - | L | - | -3.65 | - |
2544 | - | L | - | -1.64 | - |
2545 | - | N | - | 0.67 | - |
2546 | - | R | - | 1.49 | - |
2547 | - | S | - | 0.91 | - |
2548 | - | T | - | 2.98 | - |
2549 | - | D | - | 0.41 | - |
2550 | - | A | - | -0.02 | - |
2551 | - | L | - | 10.42 | - |
2552 | - | W | - | 4.11 | - |
2553 | - | V | - | 0.21 | - |
2554 | - | N | - | 4.44 | - |
2555 | - | T | - | 0.3 | - |
2556 | - | Y | - | 4.0 | - |
2557 | - | P | - | 32.46 | - |
2558 | - | V | - | -2.08 | - |
2559 | - | D | - | -2.0 | - |
2560 | - | V | - | 1.93 | - |
2561 | - | N | - | 0.25 | - |
2562 | - | R | - | -0.84 | - |
2563 | - | I | - | -1.54 | - |
2564 | - | S | - | 3.71 | - |
2565 | - | P | - | -4.56 | - |
2566 | - | L | - | 0.71 | - |
2567 | - | S | - | 0.12 | - |
2568 | - | Y | - | -4.71 | - |
2569 | - | A | - | 0.44 | - |
2570 | - | S | - | 1.19 | - |
2571 | - | F | - | -3.95 | - |
2572 | - | V | - | 2.62 | - |
2573 | - | P | - | 22.2 | - |
2574 | - | K | - | -0.41 | - |
2575 | - | M | - | 14.58 | - |
2576 | - | D | - | 3.3 | - |
2577 | - | V | - | -5.2 | - |
2578 | - | I | - | 6.8 | - |
2579 | - | Y | - | -5.64 | - |
2580 | - | K | - | 10.85 | - |
2581 | - | A | - | -2.41 | - |
2582 | - | S | - | 3.44 | - |
2583 | - | A | - | -0.95 | - |
2584 | - | T | - | 2.54 | - |
2585 | - | E | - | 1.06 | - |
2586 | - | T | - | 0.67 | - |
2587 | - | G | - | -1.33 | - |
2588 | - | S | - | 0.6 | - |
2589 | - | T | - | -2.11 | - |
2590 | - | D | - | 2.38 | - |
2591 | - | F | - | -5.21 | - |
2592 | - | I | - | -2.82 | - |
2593 | - | I | - | -3.8 | - |
2594 | - | D | - | 4.58 | - |
2595 | - | S | - | 2.14 | - |
2596 | - | S | - | -2.37 | - |
2597 | - | V | - | -3.6 | - |
2598 | - | N | - | -2.72 | - |
2599 | - | I | - | -4.48 | - |
2600 | - | R | - | 6.39 | - |
2601 | - | P | - | -4.15 | - |
2602 | - | I | - | -1.54 | - |
2603 | - | Y | - | -2.54 | - |
2604 | - | N | - | 0.68 | - |
2605 | - | G | - | 0.02 | - |
2606 | - | A | - | -2.62 | - |
2607 | - | Y | - | -1.86 | - |
2608 | - | K | - | -0.33 | - |
2609 | - | H | - | 0.97 | - |
2610 | - | Y | - | 1.07 | - |
2611 | - | Y | - | 8.37 | - |
2612 | - | V | - | 3.33 | - |
2613 | - | V | - | 2.49 | - |
2614 | - | G | - | 0.78 | - |
2615 | - | A | - | 0.12 | - |
2616 | - | H | - | 1.09 | - |
2617 | - | Q | - | 0.2 | - |
2618 | - | S | - | 2.06 | - |
2619 | - | Y | - | -4.48 | - |
2620 | - | H | - | 0.51 | - |
2621 | - | G | - | 1.03 | - |
2622 | - | F | - | 1.9 | - |
2623 | - | E | - | 1.19 | - |
2624 | - | D | - | 0.57 | - |
2625 | - | T | - | 2.57 | - |
2626 | - | P | - | -2.5 | - |
2627 | - | R | - | 8.02 | - |
2628 | - | R | - | -0.3 | - |
2629 | - | R | - | 0.89 | - |
2630 | - | I | - | -1.69 | - |
2631 | - | T | - | -0.68 | - |
2632 | - | K | - | 0.55 | - |
2633 | - | S | - | -0.02 | - |
2634 | - | A | - | -2.06 | - |
2635 | - | S | - | 14.09 | - |
2636 | - | F | - | -5.0 | - |
2637 | - | T | - | 0.29 | - |
2638 | - | V | - | -4.46 | - |
2639 | - | D | - | 4.48 | - |
2640 | - | W | - | -5.67 | - |
2641 | - | D | - | 0.62 | - |
2642 | - | H | - | -0.6 | - |
2643 | - | P | - | -1.75 | - |
2644 | - | V | - | -2.6 | - |
2645 | - | F | - | -1.43 | - |
2646 | - | T | - | -2.33 | - |
2647 | - | G | - | -3.37 | - |
2648 | - | G | - | -0.3 | - |
2649 | - | R | - | 5.52 | - |
2650 | - | P | - | 0.59 | - |
2651 | - | V | - | -2.73 | - |
2652 | - | N | - | 0.03 | - |
2653 | - | L | - | -3.98 | - |
2654 | - | Q | - | -2.94 | - |
2655 | - | L | - | 1.16 | - |
2656 | - | A | - | -0.54 | - |
2657 | - | S | - | 2.69 | - |
2658 | - | F | - | 1.7 | - |
2659 | - | N | - | 0.19 | - |
2660 | - | N | - | -1.68 | - |
2661 | - | R | - | 4.13 | - |
2662 | - | C | - | -0.64 | - |
2663 | - | I | - | -4.13 | - |
2664 | - | Q | - | -2.6 | - |
2665 | - | V | - | -0.02 | - |
2666 | - | D | - | -2.07 | - |
2667 | - | A | - | 0.99 | - |
2668 | - | Q | - | 1.72 | - |
2669 | - | G | - | -3.09 | - |
2670 | - | R | - | -1.26 | - |
2671 | - | L | - | -4.12 | - |
2672 | - | T | - | 0.16 | - |
2673 | - | A | - | -0.2 | - |
2674 | - | N | - | 3.27 | - |
2675 | - | M | - | 5.91 | - |
2676 | - | C | - | 1.18 | - |
2677 | - | D | - | -1.45 | - |
2678 | - | S | - | -0.72 | - |
2679 | - | Q | - | 0.75 | - |
2680 | - | Q | - | 1.75 | - |
2681 | - | S | - | -1.08 | - |
2682 | - | A | - | -1.95 | - |
2683 | - | Q | - | -5.3 | - |
2684 | - | S | - | -1.48 | - |
2685 | - | F | - | -5.66 | - |
2686 | - | I | - | -4.87 | - |
2687 | - | Y | - | 0.78 | - |
2688 | - | D | - | -4.71 | - |
2689 | - | Q | - | 2.47 | - |
2690 | - | L | - | -1.43 | - |
2691 | - | G | - | -3.71 | - |
2692 | - | R | - | -3.22 | - |
2693 | - | Y | - | -4.1 | - |
2694 | - | V | - | -5.06 | - |
2695 | - | S | - | -1.96 | - |
2696 | - | A | - | -1.75 | - |
2697 | - | S | - | 4.87 | - |
2698 | - | N | - | 0.11 | - |
2699 | - | T | - | 0.39 | - |
2700 | - | K | - | 0.97 | - |
2701 | - | L | - | -3.7 | - |
2702 | - | C | - | 4.47 | - |
2703 | - | L | - | -4.38 | - |
2704 | - | D | - | -2.68 | - |
2705 | - | G | - | -0.04 | - |
2706 | - | A | - | -0.89 | - |
2707 | - | A | - | 2.01 | - |
2708 | - | L | - | 0.21 | - |
2709 | - | D | - | 1.55 | - |
2710 | - | A | - | -0.21 | - |
2711 | - | L | - | -4.08 | - |
2712 | - | Q | - | -0.68 | - |
2713 | - | P | - | -5.38 | - |
2714 | - | C | - | 6.31 | - |
2715 | - | N | - | -1.6 | - |
2716 | - | Q | - | 1.05 | - |
2717 | - | N | - | -1.94 | - |
2718 | - | L | - | -3.93 | - |
2719 | - | T | - | 0.19 | - |
2720 | - | Q | - | -4.13 | - |
2721 | - | R | - | -3.45 | - |
2722 | - | W | - | -5.23 | - |
2723 | - | E | - | -0.85 | - |
2724 | - | W | - | -1.72 | - |
2725 | - | R | - | 3.08 | - |
2726 | - | K | - | 0.95 | - |
2727 | - | G | - | -1.02 | - |
2728 | - | T | - | -0.27 | - |
2729 | - | D | - | -1.31 | - |
2730 | - | E | - | -1.77 | - |
2731 | - | L | - | -5.43 | - |
2732 | - | T | - | -1.03 | - |
2733 | - | N | - | -0.98 | - |
2734 | - | V | - | -1.35 | - |
2735 | - | Y | - | 1.79 | - |
2736 | - | S | - | 1.88 | - |
2737 | - | G | - | -1.64 | - |
2738 | - | E | - | -0.41 | - |
2739 | - | S | - | -0.46 | - |
2740 | - | L | - | -3.86 | - |
2741 | - | G | - | -1.48 | - |
2742 | - | H | - | 2.09 | - |
2743 | - | D | - | -3.11 | - |
2744 | - | K | - | -1.99 | - |
2745 | - | Q | - | 0.87 | - |
2746 | - | T | - | 0.65 | - |
2747 | - | G | - | -2.44 | - |
2748 | - | E | - | 1.97 | - |
2749 | - | L | - | -4.23 | - |
2750 | - | G | - | -0.73 | - |
2751 | - | L | - | -3.33 | - |
2752 | - | Y | - | -1.51 | - |
2753 | - | A | - | 1.77 | - |
2754 | - | S | - | -1.01 | - |
2755 | - | S | - | -1.89 | - |
2756 | - | N | - | -1.0 | - |
2757 | - | D | - | 0.98 | - |
2758 | - | A | - | -0.65 | - |
2759 | - | V | - | -1.74 | - |
2760 | - | S | - | -0.7 | - |
2761 | - | L | - | -1.08 | - |
2762 | - | R | - | -2.37 | - |
2763 | - | T | - | 1.2 | - |
2764 | - | I | - | -0.28 | - |
2765 | - | T | - | 0.21 | - |
2766 | - | A | - | -0.76 | - |
2767 | - | Y | - | -1.21 | - |
2768 | - | T | - | -1.75 | - |
2769 | - | D | - | -1.66 | - |
2770 | - | V | - | 1.58 | - |
2771 | - | F | - | -2.48 | - |
2772 | - | N | - | 11.22 | - |
2773 | - | A | - | 0.51 | - |
2774 | - | Q | - | 0.55 | - |
2775 | - | E | - | 5.16 | - |
2776 | - | S | - | 6.09 | - |
2777 | - | S | - | 0.88 | - |
2778 | - | P | - | -2.47 | - |
2779 | - | I | - | 5.66 | - |
2780 | - | L | - | -3.77 | - |
2781 | - | G | - | -2.46 | - |
2782 | - | Y | - | -0.47 | - |
2783 | - | T | - | 1.31 | - |
2784 | - | Q | - | 1.69 | - |
2785 | - | G | - | -1.72 | - |
2786 | - | K | - | -0.22 | - |
2787 | - | M | - | 4.01 | - |
2788 | - | N | - | 1.46 | - |
2789 | - | Q | - | 0.82 | - |
2790 | - | Q | - | -1.58 | - |
2791 | - | R | - | 0.51 | - |
2792 | - | V | - | 0.79 | - |
2793 | - | G | - | 0.68 | - |
2794 | - | Q | - | 1.97 | - |
2795 | - | D | - | 0.93 | - |
2796 | - | N | - | 1.42 | - |
2797 | - | R | - | -0.18 | - |
2798 | - | L | - | -4.95 | - |
2799 | - | Y | - | -3.9 | - |
2800 | - | V | - | -2.2 | - |
2801 | - | R | - | 5.33 | - |
2802 | - | A | - | -1.95 | - |
2803 | - | G | - | 1.06 | - |
2804 | - | A | - | 1.17 | - |
2805 | - | A | - | -1.3 | - |
2806 | - | I | - | 0.69 | - |
2807 | - | D | - | 3.32 | - |
2808 | - | A | - | -3.61 | - |
2809 | - | L | - | -4.5 | - |
2810 | - | G | - | -3.12 | - |
2811 | - | S | - | 0.27 | - |
2812 | - | A | - | -0.52 | - |
2813 | - | S | - | -0.44 | - |
2814 | - | D | - | 2.1 | - |
2815 | - | L | - | 1.63 | - |
2816 | - | L | - | -0.78 | - |
2817 | - | V | - | 2.02 | - |
2818 | - | G | - | -2.26 | - |
2819 | - | G | - | 1.94 | - |
2820 | - | N | - | 12.03 | - |
2821 | - | G | - | 3.31 | - |
2822 | - | G | - | 2.06 | - |
2823 | - | S | - | 0.01 | - |
2824 | - | L | - | 3.69 | - |
2825 | - | S | - | 0.23 | - |
2826 | - | S | - | -0.87 | - |
2827 | - | V | - | -3.98 | - |
2828 | - | D | - | 1.83 | - |
2829 | - | L | - | -4.37 | - |
2830 | - | S | - | 3.53 | - |
2831 | - | G | - | -2.88 | - |
2832 | - | V | - | -2.82 | - |
2833 | - | K | - | -0.23 | - |
2834 | - | S | - | 1.15 | - |
2835 | - | I | - | -5.44 | - |
2836 | - | T | - | 0.03 | - |
2837 | - | A | - | -1.5 | - |
2838 | - | T | - | -3.28 | - |
2839 | - | S | - | -2.65 | - |
2840 | - | G | - | -2.68 | - |
2841 | - | D | - | -1.05 | - |
2842 | - | F | - | -0.95 | - |
2843 | - | Q | - | 3.91 | - |
2844 | - | Y | - | 1.23 | - |
2845 | - | G | - | -0.4 | - |
2846 | - | G | - | 0.32 | - |
2847 | - | Q | - | 0.21 | - |
2848 | - | Q | - | -0.35 | - |
2849 | - | L | - | -5.75 | - |
2850 | - | V | - | -1.74 | - |
2851 | - | A | - | -2.23 | - |
2852 | - | L | - | -6.1 | - |
2853 | - | T | - | -0.21 | - |
2854 | - | F | - | -4.57 | - |
2855 | - | T | - | -2.46 | - |
2856 | - | Y | - | -2.99 | - |
2857 | - | Q | - | 0.6 | - |
2858 | - | D | - | 2.16 | - |
2859 | - | G | - | -1.03 | - |
2860 | - | R | - | 0.6 | - |
2861 | - | Q | - | -0.21 | - |
2862 | - | Q | - | -0.62 | - |
2863 | - | T | - | 0.86 | - |
2864 | - | V | - | -2.01 | - |
2865 | - | G | - | -3.35 | - |
2866 | - | S | - | 0.2 | - |
2867 | - | K | - | 2.95 | - |
2868 | - | A | - | 1.38 | - |
2869 | - | Y | - | -1.29 | - |
2870 | - | V | - | -1.04 | - |
2871 | - | T | - | 0.35 | - |
2872 | - | N | - | -2.6 | - |
2873 | - | A | - | -0.9 | - |
2874 | - | H | - | 1.17 | - |
2875 | - | E | - | 1.01 | - |
2876 | - | D | - | -2.04 | - |
2877 | - | R | - | 1.03 | - |
2878 | - | F | - | -1.56 | - |
2879 | - | D | - | -0.84 | - |
2880 | - | L | - | -1.48 | - |
2881 | - | P | - | -2.96 | - |
2882 | - | D | - | 0.15 | - |
2883 | - | A | - | 2.48 | - |
2884 | - | A | - | -0.07 | - |
2885 | - | K | - | -0.83 | - |
2886 | - | I | - | -2.26 | - |
2887 | - | T | - | -0.85 | - |
2888 | - | Q | - | 7.45 | - |
2889 | - | L | - | -3.19 | - |
2890 | - | K | - | 2.26 | - |
2891 | - | I | - | -4.1 | - |
2892 | - | W | - | -5.0 | - |
2893 | - | A | - | -2.22 | - |
2894 | - | D | - | 0.56 | - |
2895 | - | D | - | 8.15 | - |
2896 | - | W | - | 3.08 | - |
2897 | - | L | - | -1.75 | - |
2898 | - | V | - | -3.65 | - |
2899 | - | K | - | 3.23 | - |
2900 | - | G | - | -2.79 | - |
2901 | - | V | - | -2.91 | - |
2902 | - | Q | - | 0.84 | - |
2903 | - | F | - | -4.55 | - |
2904 | - | D | - | 4.8 | - |
2905 | - | L | - | -2.33 | - |
2906 | - | N | - | 3.59 | - |
2907 | - | T | - | 8.27 | - |
2908 | - | N | - | 0.67 | - |
2909 | - | T | - | 0.91 | - |
2910 | - | L | - | 0.87 | - |
2911 | - | P | - | 24.22 | - |
2912 | - | H | - | 0.82 | - |
2913 | - | V | - | -1.03 | - |
2914 | - | A | - | -2.85 | - |
2915 | - | F | - | -4.61 | - |
2916 | - | Y | - | -3.13 | - |
2917 | - | I | - | -2.58 | - |
2918 | - | S | - | -1.81 | - |
2919 | - | V | - | -0.0 | - |
2920 | - | N | - | 0.41 | - |
2921 | - | R | - | 1.72 | - |
2922 | - | A | - | 0.75 | - |
2923 | - | I | - | -3.54 | - |
2924 | - | S | - | -0.61 | - |
2925 | - | D | - | 0.87 | - |
2926 | - | E | - | -0.47 | - |
2927 | - | E | - | -3.26 | - |
2928 | - | C | - | 31.28 | - |
2929 | - | T | - | 0.1 | - |
2930 | - | F | - | -2.88 | - |
2931 | - | N | - | -1.19 | - |
2932 | - | N | - | -1.17 | - |
2933 | - | S | - | -0.46 | - |
2934 | - | W | - | 0.7 | - |
2935 | - | L | - | -3.94 | - |
2936 | - | W | - | -0.91 | - |
2937 | - | K | - | 7.95 | - |
2938 | - | N | - | 3.42 | - |
2939 | - | E | - | 3.79 | - |
2940 | - | K | - | -0.73 | - |
2941 | - | G | - | -1.82 | - |
2942 | - | S | - | -1.05 | - |
2943 | - | R | - | 0.73 | - |
2944 | - | P | - | -0.22 | - |
2945 | - | F | - | -2.42 | - |
2946 | - | C | - | 12.91 | - |
2947 | - | K | - | 1.89 | - |
2948 | - | D | - | -2.21 | - |
2949 | - | A | - | -2.81 | - |
2950 | - | N | - | 1.12 | - |
2951 | - | I | - | -3.43 | - |
2952 | - | S | - | -0.2 | - |
2953 | - | L | - | -3.7 | - |
2954 | - | I | - | -1.4 | - |
2955 | - | Y | - | -6.57 | - |
2956 | - | R | - | -0.75 | - |
2957 | - | V | - | -4.6 | - |
2958 | - | N | - | 0.58 | - |
2959 | - | L | - | -3.29 | - |
2960 | - | E | - | 4.09 | - |
2961 | - | R | - | 0.34 | - |
2962 | - | S | - | -0.48 | - |
2963 | - | L | - | -0.14 | - |
2964 | - | Q | - | -0.82 | - |
2965 | - | Y | - | -0.56 | - |
2966 | - | G | - | -0.91 | - |
2967 | - | I | - | 6.56 | - |
2968 | - | V | - | 6.84 | - |
2969 | - | G | - | -2.14 | - |
2970 | - | S | - | 0.99 | - |
2971 | - | A | - | -0.72 | - |
2972 | - | T | - | 0.23 | - |
2973 | - | P | - | -4.16 | - |
2974 | - | D | - | -2.46 | - |
2975 | - | A | - | -2.21 | - |
2976 | - | K | - | -2.37 | - |
2977 | - | I | - | -2.89 | - |
2978 | - | V | - | -5.21 | - |
2979 | - | R | - | 1.27 | - |
2980 | - | I | - | -5.06 | - |
2981 | - | S | - | 2.0 | - |
2982 | - | L | - | -2.59 | - |
2983 | - | D | - | -2.85 | - |
2984 | - | D | - | 1.42 | - |
2985 | - | D | - | -0.44 | - |
2986 | - | S | - | 17.12 | - |
2987 | - | T | - | -0.08 | - |
2988 | - | G | - | -1.43 | - |
2989 | - | A | - | -2.4 | - |
2990 | - | G | - | -2.75 | - |
2991 | - | I | - | -3.56 | - |
2992 | - | H | - | -0.32 | - |
2993 | - | L | - | -5.42 | - |
2994 | - | N | - | 8.55 | - |
2995 | - | D | - | 2.26 | - |
2996 | - | Q | - | 5.48 | - |
2997 | - | L | - | -2.69 | - |
2998 | - | G | - | -2.21 | - |
2999 | - | Y | - | -2.59 | - |
3000 | - | R | - | 0.29 | - |
3001 | - | Q | - | 2.75 | - |
3002 | - | F | - | 0.91 | - |
3003 | - | G | - | -0.13 | - |
3004 | - | A | - | -0.39 | - |
3005 | - | S | - | 1.28 | - |
3006 | - | Y | - | 2.26 | - |
3007 | - | T | - | 11.37 | - |
3008 | - | T | - | 3.57 | - |
3009 | - | L | - | 2.69 | - |
3010 | - | D | - | 4.74 | - |
3011 | - | A | - | 0.02 | - |
3012 | - | Y | - | -2.32 | - |
3013 | - | F | - | 1.68 | - |
3014 | - | R | - | 9.11 | - |
3015 | - | E | - | -2.3 | - |
3016 | - | W | - | -2.21 | - |
3017 | - | S | - | 2.49 | - |
3018 | - | T | - | 2.14 | - |
3019 | - | D | - | -2.73 | - |
3020 | - | A | - | -3.42 | - |
3021 | - | I | - | -4.03 | - |
3022 | - | A | - | -3.18 | - |
3023 | - | Q | - | -0.65 | - |
3024 | - | D | - | -1.82 | - |
3025 | - | Y | - | -5.06 | - |
3026 | - | R | - | -0.02 | - |
3027 | - | F | - | -2.45 | - |
3028 | - | V | - | 0.05 | - |
3029 | - | F | - | -5.09 | - |
3030 | - | N | - | 4.95 | - |
3031 | - | A | - | -1.25 | - |
3032 | - | S | - | -0.33 | - |
3033 | - | N | - | 0.57 | - |
3034 | - | N | - | 1.52 | - |
3035 | - | K | - | -0.52 | - |
3036 | - | A | - | -1.69 | - |
3037 | - | Q | - | -2.06 | - |
3038 | - | I | - | -0.8 | - |
3039 | - | L | - | -0.01 | - |
3040 | - | K | - | 8.41 | - |
3041 | - | T | - | -2.72 | - |
3042 | - | F | - | 4.13 | - |
3043 | - | P | - | -2.84 | - |
3044 | - | V | - | 5.96 | - |
3045 | - | D | - | 0.36 | - |
3046 | - | N | - | -2.92 | - |
3047 | - | I | - | 16.28 | - |
3048 | - | N | - | -2.49 | - |
3049 | - | E | - | 0.95 | - |
3050 | - | K | - | -0.69 | - |
3051 | - | F | - | -4.15 | - |
3052 | - | E | - | -1.03 | - |
3053 | - | R | - | 31.36 | - |
3054 | - | K | - | 16.14 | - |
3055 | - | E | - | -0.49 | - |
3056 | - | V | - | -0.11 | - |
3057 | - | S | - | -1.22 | - |
3058 | - | G | - | -2.04 | - |
3059 | - | F | - | -0.27 | - |
3060 | - | E | - | 0.2 | - |
3061 | - | L | - | 4.0 | - |
3062 | - | G | - | 1.35 | - |
3063 | - | V | - | 1.35 | - |
3064 | - | T | - | -0.91 | - |
3065 | - | G | - | 1.21 | - |
3066 | - | G | - | 1.79 | - |
3067 | - | V | - | 8.82 | - |
3068 | - | E | - | 0.22 | - |
3069 | - | V | - | 4.06 | - |
3070 | - | S | - | 13.88 | - |
3071 | - | G | - | 2.68 | - |
3072 | - | D | - | -0.09 | - |
3073 | - | G | - | 6.04 | - |
3074 | - | P | - | 6.51 | - |
3075 | - | K | - | 9.42 | - |
3076 | - | A | - | -0.67 | - |
3077 | - | K | - | 0.77 | - |
3078 | - | L | - | 0.48 | - |
3079 | - | E | - | -0.23 | - |
3080 | - | A | - | -1.03 | - |
3081 | - | R | - | 2.91 | - |
3082 | - | A | - | 0.06 | - |
3083 | - | S | - | 1.36 | - |
3084 | - | Y | - | 1.83 | - |
3085 | - | T | - | 5.55 | - |
3086 | - | Q | - | 4.74 | - |
3087 | - | S | - | 3.01 | - |
3088 | - | R | - | 0.29 | - |
3089 | - | W | - | 13.82 | - |
3090 | - | L | - | -2.67 | - |
3091 | - | T | - | 3.17 | - |
3092 | - | Y | - | -1.64 | - |
3093 | - | N | - | 0.51 | - |
3094 | - | T | - | -1.94 | - |
3095 | - | Q | - | -2.0 | - |
3096 | - | D | - | 2.82 | - |
3097 | - | Y | - | -5.68 | - |
3098 | - | R | - | -1.68 | - |
3099 | - | I | - | -1.65 | - |
3100 | - | E | - | -2.4 | - |
3101 | - | R | - | -4.57 | - |
3102 | - | N | - | 0.02 | - |
3103 | - | A | - | 0.36 | - |
3104 | - | K | - | 4.58 | - |
3105 | - | N | - | -0.98 | - |
3106 | - | A | - | -1.59 | - |
3107 | - | Q | - | -2.12 | - |
3108 | - | A | - | -1.71 | - |
3109 | - | V | - | -2.17 | - |
3110 | - | S | - | 0.18 | - |
3111 | - | F | - | -4.99 | - |
3112 | - | T | - | -1.41 | - |
3113 | - | W | - | 0.22 | - |
3114 | - | N | - | 0.43 | - |
3115 | - | R | - | -2.93 | - |
3116 | - | Q | - | 0.77 | - |
3117 | - | Q | - | 14.07 | - |
3118 | - | Y | - | 0.64 | - |
3119 | - | A | - | -0.17 | - |
3120 | - | T | - | 0.8 | - |
3121 | - | A | - | -2.37 | - |
3122 | - | E | - | 5.16 | - |
3123 | - | S | - | -0.01 | - |
3124 | - | L | - | -3.8 | - |
3125 | - | L | - | -1.84 | - |
3126 | - | N | - | 0.66 | - |
3127 | - | R | - | 1.7 | - |
3128 | - | S | - | 1.0 | - |
3129 | - | T | - | 2.74 | - |
3130 | - | D | - | 0.93 | - |
3131 | - | A | - | -0.24 | - |
3132 | - | L | - | 10.06 | - |
3133 | - | W | - | 4.2 | - |
3134 | - | V | - | 0.65 | - |
3135 | - | N | - | 4.54 | - |
3136 | - | T | - | 0.26 | - |
3137 | - | Y | - | 3.81 | - |
3138 | - | P | - | 30.77 | - |
3139 | - | V | - | -1.59 | - |
3140 | - | D | - | -2.03 | - |
3141 | - | V | - | 2.18 | - |
3142 | - | N | - | 0.12 | - |
3143 | - | R | - | -1.39 | - |
3144 | - | I | - | -1.72 | - |
3145 | - | S | - | 4.02 | - |
3146 | - | P | - | -3.75 | - |
3147 | - | L | - | 0.18 | - |
3148 | - | S | - | -0.29 | - |
3149 | - | Y | - | -4.51 | - |
3150 | - | A | - | 0.9 | - |
3151 | - | S | - | 0.87 | - |
3152 | - | F | - | -3.41 | - |
3153 | - | V | - | 1.54 | - |
3154 | - | P | - | 22.74 | - |
3155 | - | K | - | -0.46 | - |
3156 | - | M | - | 14.56 | - |
3157 | - | D | - | 3.26 | - |
3158 | - | V | - | -5.35 | - |
3159 | - | I | - | 7.02 | - |
3160 | - | Y | - | -5.32 | - |
3161 | - | K | - | 20.61 | - |
3162 | - | A | - | -2.59 | - |
3163 | - | S | - | 3.79 | - |
3164 | - | A | - | -0.87 | - |
3165 | - | T | - | 3.0 | - |
3166 | - | E | - | 1.03 | - |
3167 | - | T | - | 0.67 | - |
3168 | - | G | - | -1.4 | - |
3169 | - | S | - | 0.48 | - |
3170 | - | T | - | -2.09 | - |
3171 | - | D | - | 1.55 | - |
3172 | - | F | - | -5.34 | - |
3173 | - | I | - | -2.74 | - |
3174 | - | I | - | -3.18 | - |
3175 | - | D | - | 4.02 | - |
3176 | - | S | - | 4.82 | - |
3177 | - | S | - | -2.46 | - |
3178 | - | V | - | -3.69 | - |
3179 | - | N | - | -2.53 | - |
3180 | - | I | - | -5.07 | - |
3181 | - | R | - | 6.66 | - |
3182 | - | P | - | -3.32 | - |
3183 | - | I | - | -1.81 | - |
3184 | - | Y | - | -3.56 | - |
3185 | - | N | - | 1.15 | - |
3186 | - | G | - | -0.03 | - |
3187 | - | A | - | -2.45 | - |
3188 | - | Y | - | -1.77 | - |
3189 | - | K | - | 0.48 | - |
3190 | - | H | - | 0.66 | - |
3191 | - | Y | - | 1.06 | - |
3192 | - | Y | - | 8.34 | - |
3193 | - | V | - | 3.33 | - |
3194 | - | V | - | 3.5 | - |
3195 | - | G | - | 0.92 | - |
3196 | - | A | - | -0.11 | - |
3197 | - | H | - | 0.62 | - |
3198 | - | Q | - | 0.71 | - |
3199 | - | S | - | 1.33 | - |
3200 | - | Y | - | -4.68 | - |
3201 | - | H | - | -0.04 | - |
3202 | - | G | - | 1.06 | - |
3203 | - | F | - | 1.46 | - |
3204 | - | E | - | 1.62 | - |
3205 | - | D | - | 0.48 | - |
3206 | - | T | - | 1.25 | - |
3207 | - | P | - | -2.69 | - |
3208 | - | R | - | 8.29 | - |
3209 | - | R | - | -0.15 | - |
3210 | - | R | - | 1.26 | - |
3211 | - | I | - | -1.61 | - |
3212 | - | T | - | -0.68 | - |
3213 | - | K | - | 0.81 | - |
3214 | - | S | - | 0.04 | - |
3215 | - | A | - | -1.92 | - |
3216 | - | S | - | 7.0 | - |
3217 | - | F | - | -4.9 | - |
3218 | - | T | - | 0.16 | - |
3219 | - | V | - | -4.71 | - |
3220 | - | D | - | 4.55 | - |
3221 | - | W | - | -5.67 | - |
3222 | - | D | - | 0.62 | - |
3223 | - | H | - | -1.54 | - |
3224 | - | P | - | -2.65 | - |
3225 | - | V | - | -2.64 | - |
3226 | - | F | - | -2.0 | - |
3227 | - | T | - | -2.29 | - |
3228 | - | G | - | -3.3 | - |
3229 | - | G | - | -0.1 | - |
3230 | - | R | - | 6.17 | - |
3231 | - | P | - | 0.57 | - |
3232 | - | V | - | -3.08 | - |
3233 | - | N | - | -0.03 | - |
3234 | - | L | - | -3.76 | - |
3235 | - | Q | - | -3.17 | - |
3236 | - | L | - | 0.22 | - |
3237 | - | A | - | -0.73 | - |
3238 | - | S | - | 2.98 | - |
3239 | - | F | - | 2.15 | - |
3240 | - | N | - | 0.1 | - |
3241 | - | N | - | -1.4 | - |
3242 | - | R | - | 4.68 | - |
3243 | - | C | - | -0.64 | - |
3244 | - | I | - | -4.5 | - |
3245 | - | Q | - | -2.68 | - |
3246 | - | V | - | 0.22 | - |
3247 | - | D | - | -1.97 | - |
3248 | - | A | - | 0.87 | - |
3249 | - | Q | - | 1.33 | - |
3250 | - | G | - | -2.7 | - |
3251 | - | R | - | -1.3 | - |
3252 | - | L | - | -4.49 | - |
3253 | - | T | - | 0.17 | - |
3254 | - | A | - | -0.08 | - |
3255 | - | N | - | 3.48 | - |
3256 | - | M | - | 5.73 | - |
3257 | - | C | - | 1.68 | - |
3258 | - | D | - | -1.13 | - |
3259 | - | S | - | -0.49 | - |
3260 | - | Q | - | 0.6 | - |
3261 | - | Q | - | 1.62 | - |
3262 | - | S | - | -0.96 | - |
3263 | - | A | - | -2.1 | - |
3264 | - | Q | - | -5.02 | - |
3265 | - | S | - | -1.18 | - |
3266 | - | F | - | -5.53 | - |
3267 | - | I | - | -4.98 | - |
3268 | - | Y | - | 0.6 | - |
3269 | - | D | - | -4.38 | - |
3270 | - | Q | - | 2.44 | - |
3271 | - | L | - | -1.5 | - |
3272 | - | G | - | -3.73 | - |
3273 | - | R | - | -3.11 | - |
3274 | - | Y | - | -4.39 | - |
3275 | - | V | - | -5.08 | - |
3276 | - | S | - | -1.98 | - |
3277 | - | A | - | -1.72 | - |
3278 | - | S | - | 4.24 | - |
3279 | - | N | - | 0.17 | - |
3280 | - | T | - | 0.81 | - |
3281 | - | K | - | -1.59 | - |
3282 | - | L | - | -3.48 | - |
3283 | - | C | - | 2.49 | - |
3284 | - | L | - | -4.5 | - |
3285 | - | D | - | -2.66 | - |
3286 | - | G | - | -0.26 | - |
3287 | - | A | - | -0.83 | - |
3288 | - | A | - | 1.85 | - |
3289 | - | L | - | -0.33 | - |
3290 | - | D | - | 1.42 | - |
3291 | - | A | - | -0.31 | - |
3292 | - | L | - | -3.34 | - |
3293 | - | Q | - | -0.92 | - |
3294 | - | P | - | -4.77 | - |
3295 | - | C | - | 4.18 | - |
3296 | - | N | - | -1.49 | - |
3297 | - | Q | - | 0.46 | - |
3298 | - | N | - | -1.62 | - |
3299 | - | L | - | -3.89 | - |
3300 | - | T | - | 0.46 | - |
3301 | - | Q | - | -3.68 | - |
3302 | - | R | - | -3.18 | - |
3303 | - | W | - | -5.38 | - |
3304 | - | E | - | -0.68 | - |
3305 | - | W | - | -1.9 | - |
3306 | - | R | - | 2.81 | - |
3307 | - | K | - | 0.87 | - |
3308 | - | G | - | -0.93 | - |
3309 | - | T | - | -0.15 | - |
3310 | - | D | - | -1.5 | - |
3311 | - | E | - | -1.78 | - |
3312 | - | L | - | -5.03 | - |
3313 | - | T | - | -1.38 | - |
3314 | - | N | - | -1.08 | - |
3315 | - | V | - | -1.15 | - |
3316 | - | Y | - | 1.83 | - |
3317 | - | S | - | 2.23 | - |
3318 | - | G | - | -1.78 | - |
3319 | - | E | - | -0.51 | - |
3320 | - | S | - | -0.89 | - |
3321 | - | L | - | -3.75 | - |
3322 | - | G | - | -1.32 | - |
3323 | - | H | - | 2.59 | - |
3324 | - | D | - | -3.02 | - |
3325 | - | K | - | -2.1 | - |
3326 | - | Q | - | 0.79 | - |
3327 | - | T | - | 0.25 | - |
3328 | - | G | - | -2.49 | - |
3329 | - | E | - | 1.55 | - |
3330 | - | L | - | -4.7 | - |
3331 | - | G | - | -1.18 | - |
3332 | - | L | - | -3.23 | - |
3333 | - | Y | - | -1.48 | - |
3334 | - | A | - | 1.65 | - |
3335 | - | S | - | -1.17 | - |
3336 | - | S | - | -1.87 | - |
3337 | - | N | - | -0.9 | - |
3338 | - | D | - | 0.83 | - |
3339 | - | A | - | -0.65 | - |
3340 | - | V | - | -1.96 | - |
3341 | - | S | - | 0.02 | - |
3342 | - | L | - | -1.15 | - |
3343 | - | R | - | -2.39 | - |
3344 | - | T | - | 0.7 | - |
3345 | - | I | - | 0.65 | - |
3346 | - | T | - | -0.12 | - |
3347 | - | A | - | -0.82 | - |
3348 | - | Y | - | -1.23 | - |
3349 | - | T | - | -1.86 | - |
3350 | - | D | - | -1.76 | - |
3351 | - | V | - | 0.89 | - |
3352 | - | F | - | -2.62 | - |
3353 | - | N | - | 10.77 | - |
3354 | - | A | - | 0.63 | - |
3355 | - | Q | - | 0.73 | - |
3356 | - | E | - | 5.47 | - |
3357 | - | S | - | 5.84 | - |
3358 | - | S | - | 1.47 | - |
3359 | - | P | - | -1.47 | - |
3360 | - | I | - | 0.0 | - |
3361 | - | L | - | -3.39 | - |
3362 | - | G | - | -2.28 | - |
3363 | - | Y | - | -0.58 | - |
3364 | - | T | - | 1.68 | - |
3365 | - | Q | - | 1.24 | - |
3366 | - | G | - | -1.6 | - |
3367 | - | K | - | -0.16 | - |
3368 | - | M | - | 4.2 | - |
3369 | - | N | - | 1.39 | - |
3370 | - | Q | - | 0.8 | - |
3371 | - | Q | - | -1.28 | - |
3372 | - | R | - | 4.36 | - |
3373 | - | V | - | 0.21 | - |
3374 | - | G | - | 0.58 | - |
3375 | - | Q | - | 2.03 | - |
3376 | - | D | - | -0.6 | - |
3377 | - | N | - | 1.3 | - |
3378 | - | R | - | -1.5 | - |
3379 | - | L | - | -5.15 | - |
3380 | - | Y | - | -2.98 | - |
3381 | - | V | - | -2.23 | - |
3382 | - | R | - | 1.17 | - |
3383 | - | A | - | -1.91 | - |
3384 | - | G | - | 0.94 | - |
3385 | - | A | - | 1.17 | - |
3386 | - | A | - | -0.95 | - |
3387 | - | I | - | 0.74 | - |
3388 | - | D | - | 4.35 | - |
3389 | - | A | - | -3.57 | - |
3390 | - | L | - | -5.52 | - |
3391 | - | G | - | -3.21 | - |
3392 | - | S | - | 0.11 | - |
3393 | - | A | - | -0.82 | - |
3394 | - | S | - | -0.48 | - |
3395 | - | D | - | 2.07 | - |
3396 | - | L | - | -0.25 | - |
3397 | - | L | - | -0.99 | - |
3398 | - | V | - | 1.86 | - |
3399 | - | G | - | -2.33 | - |
3400 | - | G | - | 2.19 | - |
3401 | - | N | - | 13.48 | - |
3402 | - | G | - | 2.62 | - |
3403 | - | G | - | 1.99 | - |
3404 | - | S | - | -0.01 | - |
3405 | - | L | - | -0.61 | - |
3406 | - | S | - | 0.05 | - |
3407 | - | S | - | -0.58 | - |
3408 | - | V | - | -3.77 | - |
3409 | - | D | - | 2.01 | - |
3410 | - | L | - | -3.89 | - |
3411 | - | S | - | 3.26 | - |
3412 | - | G | - | -2.8 | - |
3413 | - | V | - | -2.67 | - |
3414 | - | K | - | -0.13 | - |
3415 | - | S | - | 0.65 | - |
3416 | - | I | - | -5.42 | - |
3417 | - | T | - | -0.31 | - |
3418 | - | A | - | -1.5 | - |
3419 | - | T | - | -2.96 | - |
3420 | - | S | - | -2.21 | - |
3421 | - | G | - | -2.69 | - |
3422 | - | D | - | -1.0 | - |
3423 | - | F | - | -0.0 | - |
3424 | - | Q | - | 1.14 | - |
3425 | - | Y | - | 1.39 | - |
3426 | - | G | - | -0.48 | - |
3427 | - | G | - | 0.24 | - |
3428 | - | Q | - | 0.22 | - |
3429 | - | Q | - | -0.15 | - |
3430 | - | L | - | -5.48 | - |
3431 | - | V | - | -1.87 | - |
3432 | - | A | - | -2.42 | - |
3433 | - | L | - | -6.02 | - |
3434 | - | T | - | 0.02 | - |
3435 | - | F | - | -4.36 | - |
3436 | - | T | - | -2.59 | - |
3437 | - | Y | - | -2.81 | - |
3438 | - | Q | - | 0.48 | - |
3439 | - | D | - | 2.14 | - |
3440 | - | G | - | -0.91 | - |
3441 | - | R | - | 0.61 | - |
3442 | - | Q | - | -0.11 | - |
3443 | - | Q | - | -0.62 | - |
3444 | - | T | - | 1.34 | - |
3445 | - | V | - | -1.96 | - |
3446 | - | G | - | -3.39 | - |
3447 | - | S | - | 0.39 | - |
3448 | - | K | - | 0.55 | - |
3449 | - | A | - | 1.24 | - |
3450 | - | Y | - | -1.78 | - |
3451 | - | V | - | -0.96 | - |
3452 | - | T | - | 0.16 | - |
3453 | - | N | - | -3.31 | - |
3454 | - | A | - | -0.77 | - |
3455 | - | H | - | 0.89 | - |
3456 | - | E | - | -0.63 | - |
3457 | - | D | - | -2.07 | - |
3458 | - | R | - | -1.15 | - |
3459 | - | F | - | -1.12 | - |
3460 | - | D | - | -0.07 | - |
3461 | - | L | - | -1.49 | - |
3462 | - | P | - | -3.32 | - |
3463 | - | D | - | 0.35 | - |
3464 | - | A | - | 2.52 | - |
3465 | - | A | - | -0.08 | - |
3466 | - | K | - | -0.9 | - |
3467 | - | I | - | -1.58 | - |
3468 | - | T | - | -1.27 | - |
3469 | - | Q | - | 9.12 | - |
3470 | - | L | - | -3.02 | - |
3471 | - | K | - | 0.8 | - |
3472 | - | I | - | -4.38 | - |
3473 | - | W | - | -5.07 | - |
3474 | - | A | - | -2.3 | - |
3475 | - | D | - | 0.04 | - |
3476 | - | D | - | 3.07 | - |
3477 | - | W | - | 3.41 | - |
3478 | - | L | - | -0.97 | - |
3479 | - | V | - | -2.96 | - |
3480 | - | K | - | 3.24 | - |
3481 | - | G | - | -2.79 | - |
3482 | - | V | - | -3.22 | - |
3483 | - | Q | - | 0.14 | - |
3484 | - | F | - | -4.79 | - |
3485 | - | D | - | 4.52 | - |
3486 | - | L | - | -2.15 | - |
3487 | - | N | - | 3.72 | - |
3488 | - | T | - | 8.75 | - |
3489 | - | N | - | 0.68 | - |
3490 | - | T | - | 1.04 | - |
3491 | - | L | - | 1.71 | - |
3492 | - | P | - | 22.89 | - |
3493 | - | H | - | 0.68 | - |
3494 | - | V | - | -1.09 | - |
3495 | - | A | - | -2.83 | - |
3496 | - | F | - | -4.63 | - |
3497 | - | Y | - | -2.42 | - |
3498 | - | I | - | -2.34 | - |
3499 | - | S | - | -1.89 | - |
3500 | - | V | - | -0.74 | - |
3501 | - | N | - | 0.46 | - |
3502 | - | R | - | 2.07 | - |
3503 | - | A | - | 0.95 | - |
3504 | - | I | - | -3.16 | - |
3505 | - | S | - | -1.08 | - |
3506 | - | D | - | 0.91 | - |
3507 | - | E | - | -0.46 | - |
3508 | - | E | - | -3.34 | - |
3509 | - | C | - | 15.41 | - |
3510 | - | T | - | 0.15 | - |
3511 | - | F | - | -2.75 | - |
3512 | - | N | - | -1.41 | - |
3513 | - | N | - | -1.39 | - |
3514 | - | S | - | -0.2 | - |
3515 | - | W | - | 0.6 | - |
3516 | - | L | - | -3.85 | - |
3517 | - | W | - | -0.85 | - |
3518 | - | K | - | 7.31 | - |
3519 | - | N | - | 3.42 | - |
3520 | - | E | - | 4.82 | - |
3521 | - | K | - | -2.34 | - |
3522 | - | G | - | -1.9 | - |
3523 | - | S | - | -0.79 | - |
3524 | - | R | - | 1.25 | - |
3525 | - | P | - | 0.67 | - |
3526 | - | F | - | -2.8 | - |
3527 | - | C | - | 14.4 | - |
3528 | - | K | - | 1.97 | - |
3529 | - | D | - | -2.35 | - |
3530 | - | A | - | -2.77 | - |
3531 | - | N | - | 0.66 | - |
3532 | - | I | - | -3.57 | - |
3533 | - | S | - | 0.04 | - |
3534 | - | L | - | -4.15 | - |
3535 | - | I | - | -1.32 | - |
3536 | - | Y | - | -5.65 | - |
3537 | - | R | - | -0.57 | - |
3538 | - | V | - | -4.97 | - |
3539 | - | N | - | 0.86 | - |
3540 | - | L | - | -3.61 | - |
3541 | - | E | - | 4.32 | - |
3542 | - | R | - | 0.56 | - |
3543 | - | S | - | -0.48 | - |
3544 | - | L | - | -0.46 | - |
3545 | - | Q | - | -0.79 | - |
3546 | - | Y | - | -0.6 | - |
3547 | - | G | - | -0.51 | - |
3548 | - | I | - | 5.86 | - |
3549 | - | V | - | 6.82 | - |
3550 | - | G | - | -2.83 | - |
3551 | - | S | - | 0.69 | - |
3552 | - | A | - | -0.61 | - |
3553 | - | T | - | -0.15 | - |
3554 | - | P | - | -4.28 | - |
3555 | - | D | - | -2.62 | - |
3556 | - | A | - | -2.24 | - |
3557 | - | K | - | -2.52 | - |
3558 | - | I | - | -2.82 | - |
3559 | - | V | - | -5.11 | - |
3560 | - | R | - | 1.41 | - |
3561 | - | I | - | -5.16 | - |
3562 | - | S | - | 1.41 | - |
3563 | - | L | - | -1.93 | - |
3564 | - | D | - | -2.48 | - |
3565 | - | D | - | 1.62 | - |
3566 | - | D | - | -0.69 | - |
3567 | - | S | - | 14.34 | - |
3568 | - | T | - | -0.19 | - |
3569 | - | G | - | -1.66 | - |
3570 | - | A | - | -2.49 | - |
3571 | - | G | - | -2.96 | - |
3572 | - | I | - | -3.71 | - |
3573 | - | H | - | -0.62 | - |
3574 | - | L | - | -5.24 | - |
3575 | - | N | - | 8.92 | - |
3576 | - | D | - | 3.03 | - |
3577 | - | Q | - | 0.97 | - |
3578 | - | L | - | -2.54 | - |
3579 | - | G | - | -2.26 | - |
3580 | - | Y | - | -2.76 | - |
3581 | - | R | - | 0.35 | - |
3582 | - | Q | - | 3.88 | - |
3583 | - | F | - | 2.25 | - |
3584 | - | G | - | 0.25 | - |
3585 | - | A | - | -0.8 | - |
3586 | - | S | - | 1.75 | - |
3587 | - | Y | - | 2.87 | - |
3588 | - | T | - | 11.96 | - |
3589 | - | T | - | 3.05 | - |
3590 | - | L | - | 2.58 | - |
3591 | - | D | - | 4.31 | - |
3592 | - | A | - | 0.55 | - |
3593 | - | Y | - | -2.34 | - |
3594 | - | F | - | 1.92 | - |
3595 | - | R | - | 9.89 | - |
3596 | - | E | - | -2.19 | - |
3597 | - | W | - | -1.45 | - |
3598 | - | S | - | 2.41 | - |
3599 | - | T | - | 1.97 | - |
3600 | - | D | - | -2.33 | - |
3601 | - | A | - | -3.27 | - |
3602 | - | I | - | -4.49 | - |
3603 | - | A | - | -2.93 | - |
3604 | - | Q | - | -1.57 | - |
3605 | - | D | - | -1.9 | - |
3606 | - | Y | - | -5.29 | - |
3607 | - | R | - | -0.11 | - |
3608 | - | F | - | -2.41 | - |
3609 | - | V | - | 0.13 | - |
3610 | - | F | - | -5.02 | - |
3611 | - | N | - | 5.7 | - |
3612 | - | A | - | -1.53 | - |
3613 | - | S | - | -0.51 | - |
3614 | - | N | - | 0.28 | - |
3615 | - | N | - | 1.04 | - |
3616 | - | K | - | -0.56 | - |
3617 | - | A | - | -1.9 | - |
3618 | - | Q | - | -2.08 | - |
3619 | - | I | - | -1.41 | - |
3620 | - | L | - | 2.06 | - |
3621 | - | K | - | 8.16 | - |
3622 | - | T | - | -2.69 | - |
3623 | - | F | - | 3.82 | - |
3624 | - | P | - | -3.09 | - |
3625 | - | V | - | 6.19 | - |
3626 | - | D | - | -0.1 | - |
3627 | - | N | - | -3.69 | - |
3628 | - | I | - | 14.71 | - |
3629 | - | N | - | -2.67 | - |
3630 | - | E | - | 0.95 | - |
3631 | - | K | - | -0.76 | - |
3632 | - | F | - | -3.64 | - |
3633 | - | E | - | -0.9 | - |
3634 | - | R | - | 13.29 | - |
3635 | - | K | - | 15.61 | - |
3636 | - | E | - | -0.84 | - |
3637 | - | V | - | 0.61 | - |
3638 | - | S | - | -0.52 | - |
3639 | - | G | - | -2.08 | - |
3640 | - | F | - | -0.41 | - |
3641 | - | E | - | 0.37 | - |
3642 | - | L | - | 4.7 | - |
3643 | - | G | - | 1.27 | - |
3644 | - | V | - | 1.36 | - |
3645 | - | T | - | -1.26 | - |
3646 | - | G | - | 1.13 | - |
3647 | - | G | - | 1.82 | - |
3648 | - | V | - | 8.57 | - |
3649 | - | E | - | -1.01 | - |
3650 | - | V | - | 3.95 | - |
3651 | - | S | - | 0.53 | - |
3652 | - | G | - | 2.62 | - |
3653 | - | D | - | -0.2 | - |
3654 | - | G | - | 6.8 | - |
3655 | - | P | - | 7.37 | - |
3656 | - | K | - | 16.59 | - |
3657 | - | A | - | -0.62 | - |
3658 | - | K | - | 0.87 | - |
3659 | - | L | - | 0.63 | - |
3660 | - | E | - | -0.31 | - |
3661 | - | A | - | -0.89 | - |
3662 | - | R | - | 2.7 | - |
3663 | - | A | - | 0.35 | - |
3664 | - | S | - | 1.59 | - |
3665 | - | Y | - | 2.34 | - |
3666 | - | T | - | 4.37 | - |
3667 | - | Q | - | 4.64 | - |
3668 | - | S | - | 2.05 | - |
3669 | - | R | - | 0.26 | - |
3670 | - | W | - | 13.83 | - |
3671 | - | L | - | -2.55 | - |
3672 | - | T | - | 1.9 | - |
3673 | - | Y | - | -1.67 | - |
3674 | - | N | - | 0.46 | - |
3675 | - | T | - | -2.38 | - |
3676 | - | Q | - | -1.56 | - |
3677 | - | D | - | 2.97 | - |
3678 | - | Y | - | -6.49 | - |
3679 | - | R | - | -1.83 | - |
3680 | - | I | - | -0.93 | - |
3681 | - | E | - | -2.59 | - |
3682 | - | R | - | -3.01 | - |
3683 | - | N | - | 0.5 | - |
3684 | - | A | - | 0.54 | - |
3685 | - | K | - | 6.39 | - |
3686 | - | N | - | -1.18 | - |
3687 | - | A | - | -1.7 | - |
3688 | - | Q | - | -2.16 | - |
3689 | - | A | - | -1.79 | - |
3690 | - | V | - | -1.9 | - |
3691 | - | S | - | 0.22 | - |
3692 | - | F | - | -4.56 | - |
3693 | - | T | - | -1.34 | - |
3694 | - | W | - | -0.04 | - |
3695 | - | N | - | 0.51 | - |
3696 | - | R | - | -3.54 | - |
3697 | - | Q | - | 1.18 | - |
3698 | - | Q | - | 28.43 | - |
3699 | - | Y | - | 1.23 | - |
3700 | - | A | - | -0.15 | - |
3701 | - | T | - | -0.03 | - |
3702 | - | A | - | -2.88 | - |
3703 | - | E | - | 4.2 | - |
3704 | - | S | - | -0.38 | - |
3705 | - | L | - | -3.16 | - |
3706 | - | L | - | -1.29 | - |
3707 | - | N | - | 0.91 | - |
3708 | - | R | - | 1.52 | - |
3709 | - | S | - | 1.03 | - |
3710 | - | T | - | 3.32 | - |
3711 | - | D | - | 0.85 | - |
3712 | - | A | - | 0.71 | - |
3713 | - | L | - | 11.37 | - |
3714 | - | W | - | 4.43 | - |
3715 | - | V | - | 1.63 | - |
3716 | - | N | - | 4.39 | - |
3717 | - | T | - | 0.35 | - |
3718 | - | Y | - | 3.5 | - |
3719 | - | P | - | 38.07 | - |
3720 | - | V | - | -1.69 | - |
3721 | - | D | - | -1.7 | - |
3722 | - | V | - | 2.42 | - |
3723 | - | N | - | 0.51 | - |
3724 | - | R | - | -0.48 | - |
3725 | - | I | - | -1.5 | - |
3726 | - | S | - | 4.77 | - |
3727 | - | P | - | -2.99 | - |
3728 | - | L | - | -0.11 | - |
3729 | - | S | - | -0.75 | - |
3730 | - | Y | - | -4.61 | - |
3731 | - | A | - | 1.04 | - |
3732 | - | S | - | 0.62 | - |
3733 | - | F | - | -3.52 | - |
3734 | - | V | - | 3.52 | - |
3735 | - | P | - | 26.0 | - |
3736 | - | K | - | 6.07 | - |
3737 | - | M | - | 13.41 | - |
3738 | - | D | - | 3.55 | - |
3739 | - | V | - | -5.34 | - |
3740 | - | I | - | 6.29 | - |
3741 | - | Y | - | -5.47 | - |
3742 | - | K | - | 10.81 | - |
3743 | - | A | - | -2.32 | - |
3744 | - | S | - | 2.69 | - |
3745 | - | A | - | -0.99 | - |
3746 | - | T | - | 2.48 | - |
3747 | - | E | - | 1.0 | - |
3748 | - | T | - | 0.64 | - |
3749 | - | G | - | -1.72 | - |
3750 | - | S | - | -0.07 | - |
3751 | - | T | - | -2.01 | - |
3752 | - | D | - | 1.53 | - |
3753 | - | F | - | -5.3 | - |
3754 | - | I | - | -2.92 | - |
3755 | - | I | - | -3.88 | - |
3756 | - | D | - | 4.36 | - |
3757 | - | S | - | 1.7 | - |
3758 | - | S | - | -2.44 | - |
3759 | - | V | - | -3.7 | - |
3760 | - | N | - | -3.13 | - |
3761 | - | I | - | -3.79 | - |
3762 | - | R | - | 5.32 | - |
3763 | - | P | - | -5.02 | - |
3764 | - | I | - | -0.89 | - |
3765 | - | Y | - | -2.62 | - |
3766 | - | N | - | 1.16 | - |
3767 | - | G | - | -0.34 | - |
3768 | - | A | - | -2.51 | - |
3769 | - | Y | - | -1.61 | - |
3770 | - | K | - | 0.44 | - |
3771 | - | H | - | 0.55 | - |
3772 | - | Y | - | 1.09 | - |
3773 | - | Y | - | 8.33 | - |
3774 | - | V | - | 3.08 | - |
3775 | - | V | - | 3.65 | - |
3776 | - | G | - | 0.73 | - |
3777 | - | A | - | 0.22 | - |
3778 | - | H | - | 1.29 | - |
3779 | - | Q | - | 0.07 | - |
3780 | - | S | - | 1.68 | - |
3781 | - | Y | - | -4.95 | - |
3782 | - | H | - | -0.08 | - |
3783 | - | G | - | 1.38 | - |
3784 | - | F | - | 1.69 | - |
3785 | - | E | - | 2.61 | - |
3786 | - | D | - | 0.51 | - |
3787 | - | T | - | 2.27 | - |
3788 | - | P | - | -2.61 | - |
3789 | - | R | - | 8.19 | - |
3790 | - | R | - | 0.12 | - |
3791 | - | R | - | 1.05 | - |
3792 | - | I | - | -1.27 | - |
3793 | - | T | - | -0.56 | - |
3794 | - | K | - | 0.63 | - |
3795 | - | S | - | 0.15 | - |
3796 | - | A | - | -2.05 | - |
3797 | - | S | - | 6.7 | - |
3798 | - | F | - | -4.9 | - |
3799 | - | T | - | 0.11 | - |
3800 | - | V | - | -4.81 | - |
3801 | - | D | - | 4.0 | - |
3802 | - | W | - | -5.54 | - |
3803 | - | D | - | 0.73 | - |
3804 | - | H | - | -0.5 | - |
3805 | - | P | - | -1.9 | - |
3806 | - | V | - | -2.72 | - |
3807 | - | F | - | -2.27 | - |
3808 | - | T | - | -2.42 | - |
3809 | - | G | - | -3.24 | - |
3810 | - | G | - | -0.39 | - |
3811 | - | R | - | 7.72 | - |
3812 | - | P | - | 3.26 | - |
3813 | - | V | - | -3.09 | - |
3814 | - | N | - | 0.15 | - |
3815 | - | L | - | -3.88 | - |
3816 | - | Q | - | -2.92 | - |
3817 | - | L | - | 0.97 | - |
3818 | - | A | - | -0.46 | - |
3819 | - | S | - | 3.18 | - |
3820 | - | F | - | 2.19 | - |
3821 | - | N | - | 0.29 | - |
3822 | - | N | - | -1.42 | - |
3823 | - | R | - | 3.54 | - |
3824 | - | C | - | -1.03 | - |
3825 | - | I | - | -4.29 | - |
3826 | - | Q | - | -2.93 | - |
3827 | - | V | - | 0.6 | - |
3828 | - | D | - | -1.95 | - |
3829 | - | A | - | 1.28 | - |
3830 | - | Q | - | -0.32 | - |
3831 | - | G | - | -2.82 | - |
3832 | - | R | - | 6.19 | - |
3833 | - | L | - | -4.71 | - |
3834 | - | T | - | 0.02 | - |
3835 | - | A | - | -0.17 | - |
3836 | - | N | - | 3.08 | - |
3837 | - | M | - | 7.19 | - |
3838 | - | C | - | 0.88 | - |
3839 | - | D | - | -1.49 | - |
3840 | - | S | - | -0.68 | - |
3841 | - | Q | - | 0.78 | - |
3842 | - | Q | - | 1.6 | - |
3843 | - | S | - | -0.61 | - |
3844 | - | A | - | -2.17 | - |
3845 | - | Q | - | -5.06 | - |
3846 | - | S | - | -1.26 | - |
3847 | - | F | - | -5.72 | - |
3848 | - | I | - | -4.8 | - |
3849 | - | Y | - | 0.75 | - |
3850 | - | D | - | -4.71 | - |
3851 | - | Q | - | 2.41 | - |
3852 | - | L | - | -1.09 | - |
3853 | - | G | - | -3.55 | - |
3854 | - | R | - | -2.93 | - |
3855 | - | Y | - | -4.64 | - |
3856 | - | V | - | -5.02 | - |
3857 | - | S | - | -2.27 | - |
3858 | - | A | - | -1.58 | - |
3859 | - | S | - | 5.13 | - |
3860 | - | N | - | 0.55 | - |
3861 | - | T | - | 0.82 | - |
3862 | - | K | - | 0.73 | - |
3863 | - | L | - | -4.11 | - |
3864 | - | C | - | 3.3 | - |
3865 | - | L | - | -4.47 | - |
3866 | - | D | - | -2.66 | - |
3867 | - | G | - | -0.16 | - |
3868 | - | A | - | -1.11 | - |
3869 | - | A | - | 1.97 | - |
3870 | - | L | - | -0.61 | - |
3871 | - | D | - | 1.23 | - |
3872 | - | A | - | -0.91 | - |
3873 | - | L | - | -4.31 | - |
3874 | - | Q | - | -0.74 | - |
3875 | - | P | - | -5.21 | - |
3876 | - | C | - | 4.78 | - |
3877 | - | N | - | -1.53 | - |
3878 | - | Q | - | 1.09 | - |
3879 | - | N | - | -2.03 | - |
3880 | - | L | - | -4.08 | - |
3881 | - | T | - | 0.51 | - |
3882 | - | Q | - | -3.82 | - |
3883 | - | R | - | -3.35 | - |
3884 | - | W | - | -4.89 | - |
3885 | - | E | - | -0.98 | - |
3886 | - | W | - | -2.23 | - |
3887 | - | R | - | 2.99 | - |
3888 | - | K | - | 1.1 | - |
3889 | - | G | - | -1.04 | - |
3890 | - | T | - | -0.3 | - |
3891 | - | D | - | -1.02 | - |
3892 | - | E | - | -2.03 | - |
3893 | - | L | - | -5.18 | - |
3894 | - | T | - | -1.01 | - |
3895 | - | N | - | -0.61 | - |
3896 | - | V | - | -1.14 | - |
3897 | - | Y | - | 1.39 | - |
3898 | - | S | - | 2.19 | - |
3899 | - | G | - | -1.86 | - |
3900 | - | E | - | -0.23 | - |
3901 | - | S | - | -0.96 | - |
3902 | - | L | - | -3.82 | - |
3903 | - | G | - | -1.45 | - |
3904 | - | H | - | 2.12 | - |
3905 | - | D | - | -3.26 | - |
3906 | - | K | - | -2.15 | - |
3907 | - | Q | - | 0.63 | - |
3908 | - | T | - | 0.46 | - |
3909 | - | G | - | -2.45 | - |
3910 | - | E | - | -0.79 | - |
3911 | - | L | - | -4.62 | - |
3912 | - | G | - | -0.96 | - |
3913 | - | L | - | -3.17 | - |
3914 | - | Y | - | -2.14 | - |
3915 | - | A | - | 1.5 | - |
3916 | - | S | - | -1.11 | - |
3917 | - | S | - | -1.73 | - |
3918 | - | N | - | -0.92 | - |
3919 | - | D | - | 0.75 | - |
3920 | - | A | - | -0.8 | - |
3921 | - | V | - | -2.66 | - |
3922 | - | S | - | -0.38 | - |
3923 | - | L | - | -1.33 | - |
3924 | - | R | - | -2.5 | - |
3925 | - | T | - | 0.46 | - |
3926 | - | I | - | 0.72 | - |
3927 | - | T | - | -0.09 | - |
3928 | - | A | - | -0.83 | - |
3929 | - | Y | - | -1.31 | - |
3930 | - | T | - | -1.86 | - |
3931 | - | D | - | -1.82 | - |
3932 | - | V | - | 1.34 | - |
3933 | - | F | - | -2.66 | - |
3934 | - | N | - | 11.23 | - |
3935 | - | A | - | 0.53 | - |
3936 | - | Q | - | 0.57 | - |
3937 | - | E | - | 4.75 | - |
3938 | - | S | - | 6.07 | - |
3939 | - | S | - | 1.37 | - |
3940 | - | P | - | -1.71 | - |
3941 | - | I | - | 0.31 | - |
3942 | - | L | - | -3.64 | - |
3943 | - | G | - | -2.3 | - |
3944 | - | Y | - | -0.1 | - |
3945 | - | T | - | 1.48 | - |
3946 | - | Q | - | 1.56 | - |
3947 | - | G | - | -1.45 | - |
3948 | - | K | - | -0.15 | - |
3949 | - | M | - | 4.74 | - |
3950 | - | N | - | 1.39 | - |
3951 | - | Q | - | 1.18 | - |
3952 | - | Q | - | -1.29 | - |
3953 | - | R | - | 5.39 | - |
3954 | - | V | - | 0.5 | - |
3955 | - | G | - | 0.63 | - |
3956 | - | Q | - | 2.01 | - |
3957 | - | D | - | 0.71 | - |
3958 | - | N | - | 1.43 | - |
3959 | - | R | - | -0.25 | - |
3960 | - | L | - | -5.44 | - |
3961 | - | Y | - | -3.61 | - |
3962 | - | V | - | -1.93 | - |
3963 | - | R | - | 0.71 | - |
3964 | - | A | - | -1.88 | - |
3965 | - | G | - | 1.04 | - |
3966 | - | A | - | 1.49 | - |
3967 | - | A | - | -1.08 | - |
3968 | - | I | - | 0.71 | - |
3969 | - | D | - | 4.49 | - |
3970 | - | A | - | -3.59 | - |
3971 | - | L | - | -3.59 | - |
3972 | - | G | - | -3.09 | - |
3973 | - | S | - | 0.46 | - |
3974 | - | A | - | -0.79 | - |
3975 | - | S | - | -0.77 | - |
3976 | - | D | - | 2.18 | - |
3977 | - | L | - | 1.6 | - |
3978 | - | L | - | 0.31 | - |
3979 | - | V | - | 1.83 | - |
3980 | - | G | - | -2.38 | - |
3981 | - | G | - | 1.96 | - |
3982 | - | N | - | 12.16 | - |
3983 | - | G | - | 2.77 | - |
3984 | - | G | - | 2.02 | - |
3985 | - | S | - | 0.1 | - |
3986 | - | L | - | 2.85 | - |
3987 | - | S | - | 0.23 | - |
3988 | - | S | - | -0.92 | - |
3989 | - | V | - | -3.88 | - |
3990 | - | D | - | 1.82 | - |
3991 | - | L | - | -4.41 | - |
3992 | - | S | - | 3.16 | - |
3993 | - | G | - | -2.71 | - |
3994 | - | V | - | -2.76 | - |
3995 | - | K | - | -0.2 | - |
3996 | - | S | - | 0.67 | - |
3997 | - | I | - | -5.33 | - |
3998 | - | T | - | -0.01 | - |
3999 | - | A | - | -1.34 | - |
4000 | - | T | - | -3.14 | - |
4001 | - | S | - | -2.2 | - |
4002 | - | G | - | -2.43 | - |
4003 | - | D | - | -1.01 | - |
4004 | - | F | - | -0.48 | - |
4005 | - | Q | - | 0.8 | - |
4006 | - | Y | - | 0.99 | - |
4007 | - | G | - | -0.61 | - |
4008 | - | G | - | 0.25 | - |
4009 | - | Q | - | 0.29 | - |
4010 | - | Q | - | -0.3 | - |
4011 | - | L | - | -5.58 | - |
4012 | - | V | - | -1.66 | - |
4013 | - | A | - | -2.26 | - |
4014 | - | L | - | -5.72 | - |
4015 | - | T | - | 0.59 | - |
4016 | - | F | - | -3.83 | - |
4017 | - | T | - | -2.46 | - |
4018 | - | Y | - | -2.82 | - |
4019 | - | Q | - | 0.47 | - |
4020 | - | D | - | 2.25 | - |
4021 | - | G | - | -1.04 | - |
4022 | - | R | - | 0.71 | - |
4023 | - | Q | - | -0.18 | - |
4024 | - | Q | - | -0.66 | - |
4025 | - | T | - | 1.27 | - |
4026 | - | V | - | -1.69 | - |
4027 | - | G | - | -3.23 | - |
4028 | - | S | - | 0.28 | - |
4029 | - | K | - | 3.72 | - |
4030 | - | A | - | 1.04 | - |
4031 | - | Y | - | -0.04 | - |
4032 | - | V | - | -0.97 | - |
4033 | - | T | - | -0.05 | - |
4034 | - | N | - | -2.88 | - |
4035 | - | A | - | -0.65 | - |
4036 | - | H | - | 0.81 | - |
4037 | - | E | - | 1.01 | - |
4038 | - | D | - | -1.89 | - |
4039 | - | R | - | 1.04 | - |
4040 | - | F | - | -1.43 | - |
4041 | - | D | - | -0.78 | - |
4042 | - | L | - | -1.02 | - |
4043 | - | P | - | -3.06 | - |
4044 | - | D | - | 0.29 | - |
4045 | - | A | - | 2.3 | - |
4046 | - | A | - | -0.14 | - |
4047 | - | K | - | -0.69 | - |
4048 | - | I | - | -2.0 | - |
4049 | - | T | - | -0.54 | - |
4050 | - | Q | - | 8.49 | - |
4051 | - | L | - | -3.07 | - |
4052 | - | K | - | 0.6 | - |
4053 | - | I | - | -4.72 | - |
4054 | - | W | - | -5.21 | - |
4055 | - | A | - | -2.14 | - |
4056 | - | D | - | 0.56 | - |
4057 | - | D | - | 2.56 | - |
4058 | - | W | - | 3.39 | - |
4059 | - | L | - | 0.44 | - |
4060 | - | V | - | -3.37 | - |
4061 | - | K | - | 2.51 | - |
4062 | - | G | - | -2.86 | - |
4063 | - | V | - | -2.91 | - |
4064 | - | Q | - | 0.09 | - |
4065 | - | F | - | -4.73 | - |
4066 | - | D | - | 4.22 | - |
4067 | - | L | - | -2.1 | - |
4068 | - | N | - | 3.64 | - |
4069 | - | T | - | 8.31 | - |
4070 | - | N | - | 0.8 | - |
4071 | - | T | - | 1.07 | - |
4072 | - | L | - | 2.84 | - |
4073 | - | P | - | 28.8 | - |
4074 | - | H | - | 0.82 | - |
4075 | - | V | - | -1.19 | - |
4076 | - | A | - | -2.69 | - |
4077 | - | F | - | -4.77 | - |
4078 | - | Y | - | -2.63 | - |
4079 | - | I | - | -3.14 | - |
4080 | - | S | - | -1.9 | - |
4081 | - | V | - | -0.97 | - |
4082 | - | N | - | 0.66 | - |
4083 | - | R | - | 1.51 | - |
4084 | - | A | - | 0.92 | - |
4085 | - | I | - | -3.41 | - |
4086 | - | S | - | -0.92 | - |
4087 | - | D | - | 0.79 | - |
4088 | - | E | - | -0.45 | - |
4089 | - | E | - | -3.76 | - |
4090 | - | C | - | 16.45 | - |
4091 | - | T | - | 0.24 | - |
4092 | - | F | - | -2.57 | - |
4093 | - | N | - | -1.29 | - |
4094 | - | N | - | -0.59 | - |
4095 | - | S | - | -0.85 | - |
4096 | - | W | - | 0.57 | - |
4097 | - | L | - | -3.66 | - |
4098 | - | W | - | -0.83 | - |
4099 | - | K | - | 4.46 | - |
4100 | - | N | - | 3.69 | - |
4101 | - | E | - | 3.49 | - |
4102 | - | K | - | -0.59 | - |
4103 | - | G | - | -1.85 | - |
4104 | - | S | - | -0.87 | - |
4105 | - | R | - | 1.52 | - |
4106 | - | P | - | 1.03 | - |
4107 | - | F | - | -1.97 | - |
4108 | - | C | - | 14.48 | - |
4109 | - | K | - | 1.87 | - |
4110 | - | D | - | -1.96 | - |
4111 | - | A | - | -2.73 | - |
4112 | - | N | - | 0.77 | - |
4113 | - | I | - | -3.58 | - |
4114 | - | S | - | 0.16 | - |
4115 | - | L | - | -4.57 | - |
4116 | - | I | - | -1.21 | - |
4117 | - | Y | - | -5.63 | - |
4118 | - | R | - | -0.79 | - |
4119 | - | V | - | -5.02 | - |
4120 | - | N | - | 1.0 | - |
4121 | - | L | - | -3.4 | - |
4122 | - | E | - | 3.99 | - |
4123 | - | R | - | 0.07 | - |
4124 | - | S | - | -0.43 | - |
4125 | - | L | - | 0.21 | - |
4126 | - | Q | - | -1.11 | - |
4127 | - | Y | - | -0.85 | - |
4128 | - | G | - | -0.59 | - |
4129 | - | I | - | 5.01 | - |
4130 | - | V | - | 8.16 | - |
4131 | - | G | - | -2.66 | - |
4132 | - | S | - | 1.09 | - |
4133 | - | A | - | -0.78 | - |
4134 | - | T | - | 0.08 | - |
4135 | - | P | - | -3.86 | - |
4136 | - | D | - | -2.45 | - |
4137 | - | A | - | -2.07 | - |
4138 | - | K | - | -2.82 | - |
4139 | - | I | - | -2.93 | - |
4140 | - | V | - | -5.57 | - |
4141 | - | R | - | 1.31 | - |
4142 | - | I | - | -5.26 | - |
4143 | - | S | - | 1.69 | - |
4144 | - | L | - | -1.92 | - |
4145 | - | D | - | -2.2 | - |
4146 | - | D | - | 1.72 | - |
4147 | - | D | - | -0.47 | - |
4148 | - | S | - | 14.99 | - |
4149 | - | T | - | -0.3 | - |
4150 | - | G | - | -1.27 | - |
4151 | - | A | - | -2.68 | - |
4152 | - | G | - | -2.86 | - |
4153 | - | I | - | -4.13 | - |
4154 | - | H | - | -0.58 | - |
4155 | - | L | - | -5.46 | - |
4156 | - | N | - | 8.53 | - |
4157 | - | D | - | 0.88 | - |
4158 | - | Q | - | 5.25 | - |
4159 | - | L | - | -2.5 | - |
4160 | - | G | - | -2.41 | - |
4161 | - | Y | - | -2.62 | - |
4162 | - | R | - | 0.77 | - |
4163 | - | Q | - | 3.06 | - |
4164 | - | F | - | 1.98 | - |
4165 | - | G | - | -0.0 | - |
4166 | - | A | - | -0.57 | - |
4167 | - | S | - | 1.49 | - |
4168 | - | Y | - | 2.56 | - |
4169 | - | T | - | 11.61 | - |
4170 | - | T | - | 3.48 | - |
4171 | - | L | - | 2.37 | - |
4172 | - | D | - | 4.96 | - |
4173 | - | A | - | 0.24 | - |
4174 | - | Y | - | -2.36 | - |
4175 | - | F | - | 1.23 | - |
4176 | - | R | - | 7.25 | - |
4177 | - | E | - | -2.72 | - |
4178 | - | W | - | -1.93 | - |
4179 | - | S | - | 2.12 | - |
4180 | - | T | - | 1.77 | - |
4181 | - | D | - | -2.47 | - |
4182 | - | A | - | -3.36 | - |
4183 | - | I | - | -3.94 | - |
4184 | - | A | - | -2.49 | - |
4185 | - | Q | - | -1.06 | - |
4186 | - | D | - | -2.32 | - |
4187 | - | Y | - | -5.45 | - |
4188 | - | R | - | 0.19 | - |
4189 | - | F | - | -2.9 | - |
4190 | - | V | - | 0.2 | - |
4191 | - | F | - | -5.09 | - |
4192 | - | N | - | 6.31 | - |
4193 | - | A | - | -1.49 | - |
4194 | - | S | - | -0.96 | - |
4195 | - | N | - | -0.13 | - |
4196 | - | N | - | 0.99 | - |
4197 | - | K | - | -1.04 | - |
4198 | - | A | - | -2.05 | - |
4199 | - | Q | - | -2.12 | - |
4200 | - | I | - | -1.47 | - |
4201 | - | L | - | 0.48 | - |
4202 | - | K | - | 7.58 | - |
4203 | - | T | - | -2.86 | - |
4204 | - | F | - | 4.48 | - |
4205 | - | P | - | -2.99 | - |
4206 | - | V | - | 5.97 | - |
4207 | - | D | - | 0.39 | - |
4208 | - | N | - | -3.16 | - |
4209 | - | I | - | 15.28 | - |
4210 | - | N | - | -2.49 | - |
4211 | - | E | - | 0.72 | - |
4212 | - | K | - | -0.57 | - |
4213 | - | F | - | -4.28 | - |
4214 | - | E | - | -1.03 | - |
4215 | - | R | - | 17.94 | - |
4216 | - | K | - | 17.18 | - |
4217 | - | E | - | 0.28 | - |
4218 | - | V | - | 0.44 | - |
4219 | - | S | - | -1.1 | - |
4220 | - | G | - | -2.31 | - |
4221 | - | F | - | 0.04 | - |
4222 | - | E | - | 0.85 | - |
4223 | - | L | - | 4.48 | - |
4224 | - | G | - | 1.18 | - |
4225 | - | V | - | 1.53 | - |
4226 | - | T | - | -1.11 | - |
4227 | - | G | - | 1.78 | - |
4228 | - | G | - | 1.97 | - |
4229 | - | V | - | 9.33 | - |
4230 | - | E | - | 1.92 | - |
4231 | - | V | - | 4.03 | - |
4232 | - | S | - | 21.34 | - |
4233 | - | G | - | 2.7 | - |
4234 | - | D | - | -0.01 | - |
4235 | - | G | - | 6.37 | - |
4236 | - | P | - | 7.19 | - |
4237 | - | K | - | 24.05 | - |
4238 | - | A | - | -0.21 | - |
4239 | - | K | - | 2.73 | - |
4240 | - | L | - | 0.66 | - |
4241 | - | E | - | 0.69 | - |
4242 | - | A | - | -0.74 | - |
4243 | - | R | - | 2.52 | - |
4244 | - | A | - | 0.53 | - |
4245 | - | S | - | 1.71 | - |
4246 | - | Y | - | 1.65 | - |
4247 | - | T | - | 4.23 | - |
4248 | - | Q | - | 3.73 | - |
4249 | - | S | - | 1.41 | - |
4250 | - | R | - | 0.22 | - |
4251 | - | W | - | 16.55 | - |
4252 | - | L | - | -2.49 | - |
4253 | - | T | - | 2.0 | - |
4254 | - | Y | - | -1.88 | - |
4255 | - | N | - | 0.52 | - |
4256 | - | T | - | -2.5 | - |
4257 | - | Q | - | -1.84 | - |
4258 | - | D | - | 3.2 | - |
4259 | - | Y | - | -6.55 | - |
4260 | - | R | - | -1.95 | - |
4261 | - | I | - | -1.42 | - |
4262 | - | E | - | -2.33 | - |
4263 | - | R | - | -4.42 | - |
4264 | - | N | - | 0.09 | - |
4265 | - | A | - | -0.07 | - |
4266 | - | K | - | 5.83 | - |
4267 | - | N | - | -1.3 | - |
4268 | - | A | - | -1.72 | - |
4269 | - | Q | - | -2.45 | - |
4270 | - | A | - | -1.44 | - |
4271 | - | V | - | -1.61 | - |
4272 | - | S | - | 0.22 | - |
4273 | - | F | - | -4.89 | - |
4274 | - | T | - | -1.73 | - |
4275 | - | W | - | -0.24 | - |
4276 | - | N | - | 0.4 | - |
4277 | - | R | - | -3.75 | - |
4278 | - | Q | - | 0.97 | - |
4279 | - | Q | - | 17.09 | - |
4280 | - | Y | - | 0.39 | - |
4281 | - | A | - | -0.04 | - |
4282 | - | T | - | 0.11 | - |
4283 | - | A | - | -3.12 | - |
4284 | - | E | - | 3.91 | - |
4285 | - | S | - | -1.03 | - |
4286 | - | L | - | -3.77 | - |
4287 | - | L | - | -1.78 | - |
4288 | - | N | - | 0.55 | - |
4289 | - | R | - | 1.43 | - |
4290 | - | S | - | 0.94 | - |
4291 | - | T | - | 3.47 | - |
4292 | - | D | - | 1.08 | - |
4293 | - | A | - | -0.24 | - |
4294 | - | L | - | 10.44 | - |
4295 | - | W | - | 4.13 | - |
4296 | - | V | - | 0.27 | - |
4297 | - | N | - | 4.58 | - |
4298 | - | T | - | 0.26 | - |
4299 | - | Y | - | 3.37 | - |
4300 | - | P | - | 35.12 | - |
4301 | - | V | - | -1.72 | - |
4302 | - | D | - | -1.75 | - |
4303 | - | V | - | 2.04 | - |
4304 | - | N | - | 0.24 | - |
4305 | - | R | - | -0.68 | - |
4306 | - | I | - | -2.15 | - |
4307 | - | S | - | 4.76 | - |
4308 | - | P | - | -3.21 | - |
4309 | - | L | - | 0.44 | - |
4310 | - | S | - | -0.02 | - |
4311 | - | Y | - | -4.84 | - |
4312 | - | A | - | 0.7 | - |
4313 | - | S | - | 1.56 | - |
4314 | - | F | - | -3.74 | - |
4315 | - | V | - | 1.06 | - |
4316 | - | P | - | 23.8 | - |
4317 | - | K | - | 6.27 | - |
4318 | - | M | - | 11.26 | - |
4319 | - | D | - | 3.25 | - |
4320 | - | V | - | -5.11 | - |
4321 | - | I | - | 5.18 | - |
4322 | - | Y | - | -5.75 | - |
4323 | - | K | - | 19.63 | - |
4324 | - | A | - | -2.51 | - |
4325 | - | S | - | 3.91 | - |
4326 | - | A | - | -1.04 | - |
4327 | - | T | - | 1.97 | - |
4328 | - | E | - | 0.92 | - |
4329 | - | T | - | 0.54 | - |
4330 | - | G | - | -1.65 | - |
4331 | - | S | - | 0.11 | - |
4332 | - | T | - | -2.37 | - |
4333 | - | D | - | 0.77 | - |
4334 | - | F | - | -5.43 | - |
4335 | - | I | - | -2.82 | - |
4336 | - | I | - | -3.8 | - |
4337 | - | D | - | 3.96 | - |
4338 | - | S | - | 1.49 | - |
4339 | - | S | - | -2.09 | - |
4340 | - | V | - | -3.56 | - |
4341 | - | N | - | -2.9 | - |
4342 | - | I | - | -5.12 | - |
4343 | - | R | - | 5.21 | - |
4344 | - | P | - | -5.04 | - |
4345 | - | I | - | -1.34 | - |
4346 | - | Y | - | -4.61 | - |
4347 | - | N | - | 0.88 | - |
4348 | - | G | - | -0.43 | - |
4349 | - | A | - | -2.66 | - |
4350 | - | Y | - | -1.92 | - |
4351 | - | K | - | 0.08 | - |
4352 | - | H | - | 0.78 | - |
4353 | - | Y | - | -0.51 | - |
4354 | - | Y | - | 8.37 | - |
4355 | - | V | - | 3.41 | - |
4356 | - | V | - | 3.29 | - |
4357 | - | G | - | 0.91 | - |
4358 | - | A | - | -0.4 | - |
4359 | - | H | - | 0.94 | - |
4360 | - | Q | - | 0.68 | - |
4361 | - | S | - | 1.55 | - |
4362 | - | Y | - | -4.64 | - |
4363 | - | H | - | -0.42 | - |
4364 | - | G | - | 1.24 | - |
4365 | - | F | - | 1.51 | - |
4366 | - | E | - | 1.41 | - |
4367 | - | D | - | 0.48 | - |
4368 | - | T | - | 0.71 | - |
4369 | - | P | - | -2.98 | - |
4370 | - | R | - | 7.31 | - |
4371 | - | R | - | 0.12 | - |
4372 | - | R | - | 1.54 | - |
4373 | - | I | - | -0.77 | - |
4374 | - | T | - | -0.77 | - |
4375 | - | K | - | 0.74 | - |
4376 | - | S | - | -0.04 | - |
4377 | - | A | - | -1.99 | - |
4378 | - | S | - | 7.25 | - |
4379 | - | F | - | -4.71 | - |
4380 | - | T | - | 0.12 | - |
4381 | - | V | - | -4.69 | - |
4382 | - | D | - | 3.72 | - |
4383 | - | W | - | -5.93 | - |
4384 | - | D | - | 0.3 | - |
4385 | - | H | - | -1.57 | - |
4386 | - | P | - | -2.89 | - |
4387 | - | V | - | -3.07 | - |
4388 | - | F | - | -2.29 | - |
4389 | - | T | - | -2.29 | - |
4390 | - | G | - | -3.01 | - |
4391 | - | G | - | -0.02 | - |
4392 | - | R | - | 5.72 | - |
4393 | - | P | - | 0.86 | - |
4394 | - | V | - | -3.23 | - |
4395 | - | N | - | 0.14 | - |
4396 | - | L | - | -4.01 | - |
4397 | - | Q | - | -2.85 | - |
4398 | - | L | - | 0.08 | - |
4399 | - | A | - | -0.21 | - |
4400 | - | S | - | 3.12 | - |
4401 | - | F | - | 1.63 | - |
4402 | - | N | - | 1.11 | - |
4403 | - | N | - | -1.11 | - |
4404 | - | R | - | 2.39 | - |
4405 | - | C | - | -0.65 | - |
4406 | - | I | - | -4.17 | - |
4407 | - | Q | - | -2.86 | - |
4408 | - | V | - | 0.58 | - |
4409 | - | D | - | -2.09 | - |
4410 | - | A | - | 0.79 | - |
4411 | - | Q | - | 1.67 | - |
4412 | - | G | - | -2.52 | - |
4413 | - | R | - | -1.2 | - |
4414 | - | L | - | -4.19 | - |
4415 | - | T | - | -0.35 | - |
4416 | - | A | - | -0.12 | - |
4417 | - | N | - | 2.89 | - |
4418 | - | M | - | 6.71 | - |
4419 | - | C | - | 0.81 | - |
4420 | - | D | - | -2.03 | - |
4421 | - | S | - | -0.64 | - |
4422 | - | Q | - | 0.98 | - |
4423 | - | Q | - | 1.45 | - |
4424 | - | S | - | -0.86 | - |
4425 | - | A | - | -2.05 | - |
4426 | - | Q | - | -5.09 | - |
4427 | - | S | - | -1.26 | - |
4428 | - | F | - | -5.54 | - |
4429 | - | I | - | -5.08 | - |
4430 | - | Y | - | 0.75 | - |
4431 | - | D | - | -4.74 | - |
4432 | - | Q | - | 2.61 | - |
4433 | - | L | - | -1.32 | - |
4434 | - | G | - | -3.41 | - |
4435 | - | R | - | -3.43 | - |
4436 | - | Y | - | -3.93 | - |
4437 | - | V | - | -5.14 | - |
4438 | - | S | - | -2.04 | - |
4439 | - | A | - | -1.78 | - |
4440 | - | S | - | 3.9 | - |
4441 | - | N | - | 0.54 | - |
4442 | - | T | - | 0.83 | - |
4443 | - | K | - | 0.97 | - |
4444 | - | L | - | -3.73 | - |
4445 | - | C | - | 3.07 | - |
4446 | - | L | - | -4.5 | - |
4447 | - | D | - | -2.5 | - |
4448 | - | G | - | -0.17 | - |
4449 | - | A | - | -1.06 | - |
4450 | - | A | - | 2.07 | - |
4451 | - | L | - | -0.4 | - |
4452 | - | D | - | 0.78 | - |
4453 | - | A | - | -0.3 | - |
4454 | - | L | - | -3.85 | - |
4455 | - | Q | - | -1.14 | - |
4456 | - | P | - | -5.12 | - |
4457 | - | C | - | 4.99 | - |
4458 | - | N | - | -1.14 | - |
4459 | - | Q | - | 1.2 | - |
4460 | - | N | - | -1.2 | - |
4461 | - | L | - | -3.47 | - |
4462 | - | T | - | 0.9 | - |
4463 | - | Q | - | -4.1 | - |
4464 | - | R | - | -3.23 | - |
4465 | - | W | - | -5.36 | - |
4466 | - | E | - | -1.02 | - |
4467 | - | W | - | -2.21 | - |
4468 | - | R | - | 2.93 | - |
4469 | - | K | - | 0.97 | - |
4470 | - | G | - | -0.56 | - |
4471 | - | T | - | -0.01 | - |
4472 | - | D | - | -1.86 | - |
4473 | - | E | - | -1.93 | - |
4474 | - | L | - | -4.72 | - |
4475 | - | T | - | -0.7 | - |
4476 | - | N | - | -0.74 | - |
4477 | - | V | - | -0.68 | - |
4478 | - | Y | - | 2.12 | - |
4479 | - | S | - | 1.66 | - |
4480 | - | G | - | -1.83 | - |
4481 | - | E | - | 0.13 | - |
4482 | - | S | - | -0.78 | - |
4483 | - | L | - | -3.64 | - |
4484 | - | G | - | -1.44 | - |
4485 | - | H | - | 1.62 | - |
4486 | - | D | - | -3.17 | - |
4487 | - | K | - | -2.15 | - |
4488 | - | Q | - | 0.63 | - |
4489 | - | T | - | 0.77 | - |
4490 | - | G | - | -2.39 | - |
4491 | - | E | - | 1.61 | - |
4492 | - | L | - | -4.93 | - |
4493 | - | G | - | -1.07 | - |
4494 | - | L | - | -2.97 | - |
4495 | - | Y | - | -2.13 | - |
4496 | - | A | - | 1.63 | - |
4497 | - | S | - | -1.02 | - |
4498 | - | S | - | -1.91 | - |
4499 | - | N | - | -1.26 | - |
4500 | - | D | - | 0.9 | - |
4501 | - | A | - | -0.71 | - |
4502 | - | V | - | -2.09 | - |
4503 | - | S | - | -0.68 | - |
4504 | - | L | - | -1.14 | - |
4505 | - | R | - | -2.75 | - |
4506 | - | T | - | 0.51 | - |
4507 | - | I | - | 0.67 | - |
4508 | - | T | - | -0.03 | - |
4509 | - | A | - | -0.77 | - |
4510 | - | Y | - | -1.23 | - |
4511 | - | T | - | -1.59 | - |
4512 | - | D | - | -1.63 | - |
4513 | - | V | - | 1.85 | - |
4514 | - | F | - | -2.93 | - |
4515 | - | N | - | 10.88 | - |
4516 | - | A | - | 0.57 | - |
4517 | - | Q | - | 0.56 | - |
4518 | - | E | - | 5.03 | - |
4519 | - | S | - | 6.13 | - |
4520 | - | S | - | 1.44 | - |
4521 | - | P | - | -1.78 | - |
4522 | - | I | - | -0.33 | - |
4523 | - | L | - | -3.31 | - |
4524 | - | G | - | -2.35 | - |
4525 | - | Y | - | -0.61 | - |
4526 | - | T | - | 1.37 | - |
4527 | - | Q | - | 1.27 | - |
4528 | - | G | - | -1.69 | - |
4529 | - | K | - | -0.13 | - |
4530 | - | M | - | 4.4 | - |
4531 | - | N | - | 1.28 | - |
4532 | - | Q | - | 0.95 | - |
4533 | - | Q | - | -1.4 | - |
4534 | - | R | - | 0.58 | - |
4535 | - | V | - | 0.65 | - |
4536 | - | G | - | 0.59 | - |
4537 | - | Q | - | 1.98 | - |
4538 | - | D | - | 0.92 | - |
4539 | - | N | - | 1.18 | - |
4540 | - | R | - | -0.29 | - |
4541 | - | L | - | -4.85 | - |
4542 | - | Y | - | -3.81 | - |
4543 | - | V | - | -2.08 | - |
4544 | - | R | - | 4.65 | - |
4545 | - | A | - | -1.9 | - |
4546 | - | G | - | 0.93 | - |
4547 | - | A | - | 1.24 | - |
4548 | - | A | - | -1.38 | - |
4549 | - | I | - | 1.67 | - |
4550 | - | D | - | 3.08 | - |
4551 | - | A | - | -3.11 | - |
4552 | - | L | - | -3.77 | - |
4553 | - | G | - | -3.18 | - |
4554 | - | S | - | -0.16 | - |
4555 | - | A | - | -0.65 | - |
4556 | - | S | - | -0.46 | - |
4557 | - | D | - | 2.19 | - |
4558 | - | L | - | 1.77 | - |
4559 | - | L | - | -1.12 | - |
4560 | - | V | - | 1.84 | - |
4561 | - | G | - | -2.39 | - |
4562 | - | G | - | 1.78 | - |
4563 | - | N | - | 12.27 | - |
4564 | - | G | - | 2.91 | - |
4565 | - | G | - | 2.0 | - |
4566 | - | S | - | -0.02 | - |
4567 | - | L | - | 3.87 | - |
4568 | - | S | - | 0.48 | - |
4569 | - | S | - | -0.92 | - |
4570 | - | V | - | -3.99 | - |
4571 | - | D | - | 1.87 | - |
4572 | - | L | - | -3.95 | - |
4573 | - | S | - | 3.26 | - |
4574 | - | G | - | -2.84 | - |
4575 | - | V | - | -3.02 | - |
4576 | - | K | - | -0.84 | - |
4577 | - | S | - | 0.76 | - |
4578 | - | I | - | -5.61 | - |
4579 | - | T | - | -0.18 | - |
4580 | - | A | - | -1.53 | - |
4581 | - | T | - | -2.9 | - |
4582 | - | S | - | -2.56 | - |
4583 | - | G | - | -2.61 | - |
4584 | - | D | - | -1.13 | - |
4585 | - | F | - | -0.86 | - |
4586 | - | Q | - | 1.78 | - |
4587 | - | Y | - | 0.45 | - |
4588 | - | G | - | -0.25 | - |
4589 | - | G | - | 0.4 | - |
4590 | - | Q | - | 0.28 | - |
4591 | - | Q | - | -0.32 | - |
4592 | - | L | - | -5.85 | - |
4593 | - | V | - | -1.58 | - |
4594 | - | A | - | -2.47 | - |
4595 | - | L | - | -6.04 | - |
4596 | - | T | - | 0.15 | - |
4597 | - | F | - | -4.38 | - |
4598 | - | T | - | -2.78 | - |
4599 | - | Y | - | -2.82 | - |
4600 | - | Q | - | 0.47 | - |
4601 | - | D | - | 2.22 | - |
4602 | - | G | - | -0.98 | - |
4603 | - | R | - | 0.56 | - |
4604 | - | Q | - | -0.21 | - |
4605 | - | Q | - | -0.87 | - |
4606 | - | T | - | 0.82 | - |
4607 | - | V | - | -2.06 | - |
4608 | - | G | - | -3.37 | - |
4609 | - | S | - | 0.19 | - |
4610 | - | K | - | 2.9 | - |
4611 | - | A | - | 0.81 | - |
4612 | - | Y | - | -1.99 | - |
4613 | - | V | - | -1.18 | - |
4614 | - | T | - | 0.06 | - |
4615 | - | N | - | -3.31 | - |
4616 | - | A | - | -0.67 | - |
4617 | - | H | - | 0.93 | - |
4618 | - | E | - | -0.28 | - |
4619 | - | D | - | -2.04 | - |
4620 | - | R | - | -1.02 | - |
4621 | - | F | - | -1.44 | - |
4622 | - | D | - | -0.15 | - |
4623 | - | L | - | -1.36 | - |
4624 | - | P | - | -3.11 | - |
4625 | - | D | - | 2.67 | - |
4626 | - | A | - | 2.37 | - |
4627 | - | A | - | -0.08 | - |
4628 | - | K | - | -0.94 | - |
4629 | - | I | - | -1.99 | - |
4630 | - | T | - | -1.2 | - |
4631 | - | Q | - | 8.42 | - |
4632 | - | L | - | -3.51 | - |
4633 | - | K | - | 0.16 | - |
4634 | - | I | - | -4.64 | - |
4635 | - | W | - | -5.15 | - |
4636 | - | A | - | -2.19 | - |
4637 | - | D | - | 0.29 | - |
4638 | - | D | - | 2.76 | - |
4639 | - | W | - | 2.93 | - |
4640 | - | L | - | -1.47 | - |
4641 | - | V | - | -2.62 | - |
4642 | - | K | - | 2.9 | - |
4643 | - | G | - | -2.82 | - |
4644 | - | V | - | -3.08 | - |
4645 | - | Q | - | -0.36 | - |
4646 | - | F | - | -4.92 | - |
4647 | - | D | - | 4.73 | - |
4648 | - | L | - | -2.28 | - |
4649 | - | N | - | 3.6 | - |
4650 | - | T | - | 8.03 | - |
4651 | - | N | - | 0.77 | - |
4652 | - | T | - | 1.11 | - |
4653 | - | L | - | 2.52 | - |
4654 | - | P | - | 21.88 | - |
4655 | - | H | - | 0.57 | - |
4656 | - | V | - | -1.29 | - |
4657 | - | A | - | -2.92 | - |
4658 | - | F | - | -4.63 | - |
4659 | - | Y | - | -2.96 | - |
4660 | - | I | - | -2.36 | - |
4661 | - | S | - | -1.88 | - |
4662 | - | V | - | -0.19 | - |
4663 | - | N | - | 0.72 | - |
4664 | - | R | - | 2.92 | - |
4665 | - | A | - | 0.91 | - |
4666 | - | I | - | -3.14 | - |
4667 | - | S | - | -0.84 | - |
4668 | - | D | - | 0.71 | - |
4669 | - | E | - | -0.42 | - |
4670 | - | E | - | -3.08 | - |
4671 | - | C | - | 16.19 | - |
4672 | - | T | - | 0.29 | - |
4673 | - | F | - | -2.88 | - |
4674 | - | N | - | -1.33 | - |
4675 | - | N | - | -0.3 | - |
4676 | - | S | - | -0.53 | - |
4677 | - | W | - | 0.51 | - |
4678 | - | L | - | -3.9 | - |
4679 | - | W | - | -0.21 | - |
4680 | - | K | - | 7.94 | - |
4681 | - | N | - | 3.3 | - |
4682 | - | E | - | 4.09 | - |
4683 | - | K | - | -0.38 | - |
4684 | - | G | - | -1.74 | - |
4685 | - | S | - | -1.16 | - |
4686 | - | R | - | 0.53 | - |
4687 | - | P | - | 0.19 | - |
4688 | - | F | - | -2.41 | - |
4689 | - | C | - | 15.83 | - |
4690 | - | K | - | 2.07 | - |
4691 | - | D | - | -2.12 | - |
4692 | - | A | - | -2.43 | - |
4693 | - | N | - | 0.63 | - |
4694 | - | I | - | -3.47 | - |
4695 | - | S | - | 0.21 | - |
4696 | - | L | - | -3.94 | - |
4697 | - | I | - | -1.61 | - |
4698 | - | Y | - | -6.01 | - |
4699 | - | R | - | -0.66 | - |
4700 | - | V | - | -4.54 | - |
4701 | - | N | - | 0.66 | - |
4702 | - | L | - | -3.36 | - |
4703 | - | E | - | 4.0 | - |
4704 | - | R | - | 1.63 | - |
4705 | - | S | - | -0.7 | - |
4706 | - | L | - | -0.21 | - |
4707 | - | Q | - | -1.17 | - |
4708 | - | Y | - | -0.64 | - |
4709 | - | G | - | -0.94 | - |
4710 | - | I | - | 4.85 | - |
4711 | - | V | - | 7.21 | - |
4712 | - | G | - | -2.65 | - |
4713 | - | S | - | 0.8 | - |
4714 | - | A | - | -0.19 | - |
4715 | - | T | - | -0.18 | - |
4716 | - | P | - | -4.78 | - |
4717 | - | D | - | -2.59 | - |
4718 | - | A | - | -2.42 | - |
4719 | - | K | - | -3.06 | - |
4720 | - | I | - | -2.93 | - |
4721 | - | V | - | -5.56 | - |
4722 | - | R | - | 0.9 | - |
4723 | - | I | - | -5.29 | - |
4724 | - | S | - | 2.12 | - |
4725 | - | L | - | -2.74 | - |
4726 | - | D | - | -2.33 | - |
4727 | - | D | - | 1.71 | - |
4728 | - | D | - | -0.81 | - |
4729 | - | S | - | 13.14 | - |
4730 | - | T | - | -0.19 | - |
4731 | - | G | - | -1.5 | - |
4732 | - | A | - | -2.32 | - |
4733 | - | G | - | -2.86 | - |
4734 | - | I | - | -4.06 | - |
4735 | - | H | - | -0.6 | - |
4736 | - | L | - | -5.24 | - |
4737 | - | N | - | 9.45 | - |
4738 | - | D | - | 2.21 | - |
4739 | - | Q | - | 5.39 | - |
4740 | - | L | - | -2.83 | - |
4741 | - | G | - | -2.26 | - |
4742 | - | Y | - | -2.58 | - |
4743 | - | R | - | 0.35 | - |
4744 | - | Q | - | 3.16 | - |
4745 | - | F | - | 2.21 | - |
4746 | - | G | - | 0.05 | - |
4747 | - | A | - | -0.61 | - |
4748 | - | S | - | 1.72 | - |
4749 | - | Y | - | 2.79 | - |
4750 | - | T | - | 12.86 | - |
4751 | - | T | - | 3.11 | - |
4752 | - | L | - | 2.32 | - |
4753 | - | D | - | 5.11 | - |
4754 | - | A | - | 0.84 | - |
4755 | - | Y | - | -2.24 | - |
4756 | - | F | - | 1.58 | - |
4757 | - | R | - | 8.23 | - |
4758 | - | E | - | -2.57 | - |
4759 | - | W | - | -2.52 | - |
4760 | - | S | - | 2.63 | - |
4761 | - | T | - | 1.66 | - |
4762 | - | D | - | -2.74 | - |
4763 | - | A | - | -3.37 | - |
4764 | - | I | - | -4.58 | - |
4765 | - | A | - | -2.88 | - |
4766 | - | Q | - | -1.42 | - |
4767 | - | D | - | -2.34 | - |
4768 | - | Y | - | -5.53 | - |
4769 | - | R | - | -0.25 | - |
4770 | - | F | - | -2.41 | - |
4771 | - | V | - | -0.54 | - |
4772 | - | F | - | -4.87 | - |
4773 | - | N | - | 5.93 | - |
4774 | - | A | - | -1.2 | - |
4775 | - | S | - | -0.83 | - |
4776 | - | N | - | -0.16 | - |
4777 | - | N | - | 1.36 | - |
4778 | - | K | - | -0.84 | - |
4779 | - | A | - | -1.97 | - |
4780 | - | Q | - | -2.06 | - |
4781 | - | I | - | -1.04 | - |
4782 | - | L | - | 1.85 | - |
4783 | - | K | - | 9.05 | - |
4784 | - | T | - | -2.69 | - |
4785 | - | F | - | 3.91 | - |
4786 | - | P | - | -3.42 | - |
4787 | - | V | - | 7.01 | - |
4788 | - | D | - | 0.52 | - |
4789 | - | N | - | -3.62 | - |
4790 | - | I | - | 14.83 | - |
4791 | - | N | - | -2.13 | - |
4792 | - | E | - | 0.86 | - |
4793 | - | K | - | -0.74 | - |
4794 | - | F | - | -2.36 | - |
4795 | - | E | - | -0.42 | - |
4796 | - | R | - | 12.42 | - |
4797 | - | K | - | 17.33 | - |
4798 | - | E | - | 0.06 | - |
4799 | - | V | - | 0.54 | - |
4800 | - | S | - | -0.72 | - |
4801 | - | G | - | -1.51 | - |
4802 | - | F | - | -0.78 | - |
4803 | - | E | - | 1.01 | - |
4804 | - | L | - | 4.59 | - |
4805 | - | G | - | 1.32 | - |
4806 | - | V | - | 1.11 | - |
4807 | - | T | - | -0.37 | - |
4808 | - | G | - | 1.43 | - |
4809 | - | G | - | 1.95 | - |
4810 | - | V | - | 8.83 | - |
4811 | - | E | - | -1.29 | - |
4812 | - | V | - | 4.1 | - |
4813 | - | S | - | -0.92 | - |
4814 | - | G | - | 2.46 | - |
4815 | - | D | - | -0.29 | - |
4816 | - | G | - | 7.34 | - |
4817 | - | P | - | 8.21 | - |
4818 | - | K | - | 25.68 | - |
4819 | - | A | - | -0.43 | - |
4820 | - | K | - | 0.42 | - |
4821 | - | L | - | 0.9 | - |
4822 | - | E | - | -0.23 | - |
4823 | - | A | - | -0.41 | - |
4824 | - | R | - | 3.08 | - |
4825 | - | A | - | 0.8 | - |
4826 | - | S | - | 2.08 | - |
4827 | - | Y | - | 2.18 | - |
4828 | - | T | - | 4.2 | - |
4829 | - | Q | - | 4.27 | - |
4830 | - | S | - | 2.39 | - |
4831 | - | R | - | 0.36 | - |
4832 | - | W | - | 14.11 | - |
4833 | - | L | - | -2.48 | - |
4834 | - | T | - | 1.24 | - |
4835 | - | Y | - | -1.79 | - |
4836 | - | N | - | 0.31 | - |
4837 | - | T | - | -2.46 | - |
4838 | - | Q | - | -1.9 | - |
4839 | - | D | - | 3.18 | - |
4840 | - | Y | - | -6.54 | - |
4841 | - | R | - | -1.15 | - |
4842 | - | I | - | -1.44 | - |
4843 | - | E | - | -2.24 | - |
4844 | - | R | - | -3.48 | - |
4845 | - | N | - | 0.46 | - |
4846 | - | A | - | 0.51 | - |
4847 | - | K | - | -0.33 | - |
4848 | - | N | - | -1.46 | - |
4849 | - | A | - | -1.68 | - |
4850 | - | Q | - | -1.67 | - |
4851 | - | A | - | -1.95 | - |
4852 | - | V | - | -1.31 | - |
4853 | - | S | - | 0.28 | - |
4854 | - | F | - | -4.74 | - |
4855 | - | T | - | -1.32 | - |
4856 | - | W | - | 0.16 | - |
4857 | - | N | - | 0.57 | - |
4858 | - | R | - | -3.33 | - |
4859 | - | Q | - | 0.9 | - |
4860 | - | Q | - | 14.93 | - |
4861 | - | Y | - | 1.11 | - |
4862 | - | A | - | -0.25 | - |
4863 | - | T | - | 0.09 | - |
4864 | - | A | - | -3.12 | - |
4865 | - | E | - | 4.15 | - |
4866 | - | S | - | -0.27 | - |
4867 | - | L | - | -3.74 | - |
4868 | - | L | - | -1.19 | - |
4869 | - | N | - | 0.74 | - |
4870 | - | R | - | 1.34 | - |
4871 | - | S | - | 0.7 | - |
4872 | - | T | - | 2.85 | - |
4873 | - | D | - | 0.62 | - |
4874 | - | A | - | -0.03 | - |
4875 | - | L | - | 10.53 | - |
4876 | - | W | - | 4.19 | - |
4877 | - | V | - | -0.23 | - |
4878 | - | N | - | 4.44 | - |
4879 | - | T | - | 0.31 | - |
4880 | - | Y | - | 3.2 | - |
4881 | - | P | - | 34.5 | - |
4882 | - | V | - | -2.08 | - |
4883 | - | D | - | -2.09 | - |
4884 | - | V | - | 2.03 | - |
4885 | - | N | - | 0.18 | - |
4886 | - | R | - | -1.16 | - |
4887 | - | I | - | -2.32 | - |
4888 | - | S | - | 4.45 | - |
4889 | - | P | - | -3.91 | - |
4890 | - | L | - | 0.33 | - |
4891 | - | S | - | -0.14 | - |
4892 | - | Y | - | -4.85 | - |
4893 | - | A | - | 0.68 | - |
4894 | - | S | - | 0.95 | - |
4895 | - | F | - | -4.09 | - |
4896 | - | V | - | 0.74 | - |
4897 | - | P | - | 21.12 | - |
4898 | - | K | - | 6.07 | - |
4899 | - | M | - | 13.75 | - |
4900 | - | D | - | 3.35 | - |
4901 | - | V | - | -5.24 | - |
4902 | - | I | - | 8.16 | - |
4903 | - | Y | - | -5.75 | - |
4904 | - | K | - | 19.98 | - |
4905 | - | A | - | -2.43 | - |
4906 | - | S | - | 2.75 | - |
4907 | - | A | - | -0.95 | - |
4908 | - | T | - | 2.27 | - |
4909 | - | E | - | 0.36 | - |
4910 | - | T | - | -0.36 | - |
4911 | - | G | - | -2.05 | - |
4912 | - | S | - | 0.26 | - |
4913 | - | T | - | -1.96 | - |
4914 | - | D | - | 1.56 | - |
4915 | - | F | - | -5.4 | - |
4916 | - | I | - | -2.94 | - |
4917 | - | I | - | -3.73 | - |
4918 | - | D | - | 3.27 | - |
4919 | - | S | - | 2.71 | - |
4920 | - | S | - | -1.73 | - |
4921 | - | V | - | -3.32 | - |
4922 | - | N | - | -2.63 | - |
4923 | - | I | - | -4.04 | - |
4924 | - | R | - | 6.12 | - |
4925 | - | P | - | -4.68 | - |
4926 | - | I | - | -1.23 | - |
4927 | - | Y | - | -3.06 | - |
4928 | - | N | - | 0.97 | - |
4929 | - | G | - | -0.18 | - |
4930 | - | A | - | -2.57 | - |
4931 | - | Y | - | -1.37 | - |
4932 | - | K | - | -0.48 | - |
4933 | - | H | - | 0.84 | - |
4934 | - | Y | - | -0.47 | - |
4935 | - | Y | - | 8.14 | - |
4936 | - | V | - | 8.87 | - |
4937 | - | V | - | 3.95 | - |
4938 | - | G | - | 0.95 | - |
4939 | - | A | - | -0.54 | - |
4940 | - | H | - | 1.09 | - |
4941 | - | Q | - | 0.12 | - |
4942 | - | S | - | 1.8 | - |
4943 | - | Y | - | -4.9 | - |
4944 | - | H | - | 0.37 | - |
4945 | - | G | - | 1.0 | - |
4946 | - | F | - | 1.29 | - |
4947 | - | E | - | 1.92 | - |
4948 | - | D | - | 0.53 | - |
4949 | - | T | - | 2.13 | - |
4950 | - | P | - | -2.09 | - |
4951 | - | R | - | 7.35 | - |
4952 | - | R | - | 0.21 | - |
4953 | - | R | - | 2.32 | - |
4954 | - | I | - | -0.31 | - |
4955 | - | T | - | -0.55 | - |
4956 | - | K | - | 0.46 | - |
4957 | - | S | - | 0.12 | - |
4958 | - | A | - | -2.06 | - |
4959 | - | S | - | 7.96 | - |
4960 | - | F | - | -5.07 | - |
4961 | - | T | - | 0.03 | - |
4962 | - | V | - | -4.68 | - |
4963 | - | D | - | 4.09 | - |
4964 | - | W | - | -5.8 | - |
4965 | - | D | - | 0.11 | - |
4966 | - | H | - | 0.49 | - |
4967 | - | P | - | -0.99 | - |
4968 | - | V | - | -2.95 | - |
4969 | - | F | - | -1.68 | - |
4970 | - | T | - | -2.38 | - |
4971 | - | G | - | -3.41 | - |
4972 | - | G | - | -0.33 | - |
4973 | - | R | - | 5.81 | - |
4974 | - | P | - | 1.24 | - |
4975 | - | V | - | -2.82 | - |
4976 | - | N | - | 0.04 | - |
4977 | - | L | - | -3.93 | - |
4978 | - | Q | - | -3.43 | - |
4979 | - | L | - | 0.41 | - |
4980 | - | A | - | -0.64 | - |
4981 | - | S | - | 3.35 | - |
4982 | - | F | - | 1.67 | - |
4983 | - | N | - | 0.87 | - |
4984 | - | N | - | -1.38 | - |
4985 | - | R | - | 3.0 | - |
4986 | - | C | - | -0.88 | - |
4987 | - | I | - | -4.36 | - |
4988 | - | Q | - | -3.23 | - |
4989 | - | V | - | 0.67 | - |
4990 | - | D | - | -1.99 | - |
4991 | - | A | - | 0.88 | - |
4992 | - | Q | - | 2.32 | - |
4993 | - | G | - | -2.67 | - |
4994 | - | R | - | -0.92 | - |
4995 | - | L | - | -4.22 | - |
4996 | - | T | - | 0.09 | - |
4997 | - | A | - | -0.05 | - |
4998 | - | N | - | 3.28 | - |
4999 | - | M | - | 6.0 | - |
5000 | - | C | - | 1.54 | - |
5001 | - | D | - | -1.89 | - |
5002 | - | S | - | -0.42 | - |
5003 | - | Q | - | 0.98 | - |
5004 | - | Q | - | 1.72 | - |
5005 | - | S | - | -1.17 | - |
5006 | - | A | - | -2.19 | - |
5007 | - | Q | - | -5.46 | - |
5008 | - | S | - | -1.23 | - |
5009 | - | F | - | -5.3 | - |
5010 | - | I | - | -5.14 | - |
5011 | - | Y | - | 0.57 | - |
5012 | - | D | - | -5.34 | - |
5013 | - | Q | - | 2.74 | - |
5014 | - | L | - | -1.37 | - |
5015 | - | G | - | -3.78 | - |
5016 | - | R | - | -3.23 | - |
5017 | - | Y | - | -4.25 | - |
5018 | - | V | - | -4.84 | - |
5019 | - | S | - | -2.01 | - |
5020 | - | A | - | -1.75 | - |
5021 | - | S | - | 4.87 | - |
5022 | - | N | - | 0.52 | - |
5023 | - | T | - | 0.3 | - |
5024 | - | K | - | -0.95 | - |
5025 | - | L | - | -3.07 | - |
5026 | - | C | - | 2.7 | - |
5027 | - | L | - | -4.72 | - |
5028 | - | D | - | -2.94 | - |
5029 | - | G | - | 0.04 | - |
5030 | - | A | - | -1.06 | - |
5031 | - | A | - | 1.99 | - |
5032 | - | L | - | -0.46 | - |
5033 | - | D | - | 1.36 | - |
5034 | - | A | - | -0.78 | - |
5035 | - | L | - | -2.98 | - |
5036 | - | Q | - | -0.68 | - |
5037 | - | P | - | -4.96 | - |
5038 | - | C | - | 4.35 | - |
5039 | - | N | - | -1.39 | - |
5040 | - | Q | - | 1.55 | - |
5041 | - | N | - | -1.88 | - |
5042 | - | L | - | -2.43 | - |
5043 | - | T | - | 1.01 | - |
5044 | - | Q | - | -3.47 | - |
5045 | - | R | - | -3.63 | - |
5046 | - | W | - | -5.56 | - |
5047 | - | E | - | -1.01 | - |
5048 | - | W | - | -1.72 | - |
5049 | - | R | - | 2.94 | - |
5050 | - | K | - | 1.3 | - |
5051 | - | G | - | -0.57 | - |
5052 | - | T | - | -0.22 | - |
5053 | - | D | - | -1.53 | - |
5054 | - | E | - | -1.9 | - |
5055 | - | L | - | -4.66 | - |
5056 | - | T | - | -1.25 | - |
5057 | - | N | - | -1.11 | - |
5058 | - | V | - | -1.56 | - |
5059 | - | Y | - | 1.73 | - |
5060 | - | S | - | 1.54 | - |
5061 | - | G | - | -1.89 | - |
5062 | - | E | - | -0.42 | - |
5063 | - | S | - | -0.81 | - |
5064 | - | L | - | -3.87 | - |
5065 | - | G | - | -1.34 | - |
5066 | - | H | - | 1.02 | - |
5067 | - | D | - | -2.83 | - |
5068 | - | K | - | -2.42 | - |
5069 | - | Q | - | 0.25 | - |
5070 | - | T | - | 0.49 | - |
5071 | - | G | - | -2.19 | - |
5072 | - | E | - | 1.08 | - |
5073 | - | L | - | -4.71 | - |
5074 | - | G | - | -1.11 | - |
5075 | - | L | - | -3.08 | - |
5076 | - | Y | - | -2.27 | - |
5077 | - | A | - | 1.79 | - |
5078 | - | S | - | -1.16 | - |
5079 | - | S | - | -1.9 | - |
5080 | - | N | - | -0.76 | - |
5081 | - | D | - | 0.65 | - |
5082 | - | A | - | -0.71 | - |
5083 | - | V | - | -1.88 | - |
5084 | - | S | - | -0.68 | - |
5085 | - | L | - | -0.9 | - |
5086 | - | R | - | -2.19 | - |
5087 | - | T | - | -0.3 | - |
5088 | - | I | - | 0.2 | - |
5089 | - | T | - | 0.1 | - |
5090 | - | A | - | -0.72 | - |
5091 | - | Y | - | -1.5 | - |
5092 | - | T | - | -1.79 | - |
5093 | - | D | - | -1.71 | - |
5094 | - | V | - | 1.65 | - |
5095 | - | F | - | -1.82 | - |
5096 | - | N | - | 10.71 | - |
5097 | - | A | - | 0.47 | - |
5098 | - | Q | - | 0.53 | - |
5099 | - | E | - | 5.53 | - |
5100 | - | S | - | 6.42 | - |
5101 | - | S | - | 1.76 | - |
5102 | - | P | - | -1.84 | - |
5103 | - | I | - | -0.0 | - |
5104 | - | L | - | -3.91 | - |
5105 | - | G | - | -2.37 | - |
5106 | - | Y | - | -0.23 | - |
5107 | - | T | - | 1.08 | - |
5108 | - | Q | - | 1.53 | - |
5109 | - | G | - | -1.63 | - |
5110 | - | K | - | -0.13 | - |
5111 | - | M | - | 4.85 | - |
5112 | - | N | - | 1.39 | - |
5113 | - | Q | - | -0.54 | - |
5114 | - | Q | - | -1.74 | - |
5115 | - | R | - | 8.1 | - |
5116 | - | V | - | 0.93 | - |
5117 | - | G | - | 0.4 | - |
5118 | - | Q | - | 8.33 | - |
5119 | - | D | - | 0.34 | - |
5120 | - | N | - | 1.99 | - |
5121 | - | R | - | -0.54 | - |
5122 | - | L | - | -4.54 | - |
5123 | - | Y | - | -3.63 | - |
5124 | - | V | - | -2.19 | - |
5125 | - | R | - | 4.01 | - |
5126 | - | A | - | -1.96 | - |
5127 | - | G | - | 1.07 | - |
5128 | - | A | - | 1.3 | - |
5129 | - | A | - | -1.62 | - |
5130 | - | I | - | 1.19 | - |
5131 | - | D | - | 2.77 | - |
5132 | - | A | - | -3.49 | - |
5133 | - | L | - | -4.6 | - |
5134 | - | G | - | -3.17 | - |
5135 | - | S | - | -0.21 | - |
5136 | - | A | - | -1.21 | - |
5137 | - | S | - | -0.68 | - |
5138 | - | D | - | 1.53 | - |
5139 | - | L | - | -0.09 | - |
5140 | - | L | - | -1.15 | - |
5141 | - | V | - | 2.09 | - |
5142 | - | G | - | -2.41 | - |
5143 | - | G | - | 1.59 | - |
5144 | - | N | - | 11.97 | - |
5145 | - | G | - | 3.01 | - |
5146 | - | G | - | 2.53 | - |
5147 | - | S | - | 0.42 | - |
5148 | - | L | - | 4.72 | - |
5149 | - | S | - | -0.32 | - |
5150 | - | S | - | 0.72 | - |
5151 | - | V | - | -3.82 | - |
5152 | - | D | - | 1.93 | - |
5153 | - | L | - | -4.19 | - |
5154 | - | S | - | 3.6 | - |
5155 | - | G | - | -2.61 | - |
5156 | - | V | - | -3.19 | - |
5157 | - | K | - | -1.31 | - |
5158 | - | S | - | 0.75 | - |
5159 | - | I | - | -5.91 | - |
5160 | - | T | - | -0.43 | - |
5161 | - | A | - | -1.62 | - |
5162 | - | T | - | -3.0 | - |
5163 | - | S | - | -2.38 | - |
5164 | - | G | - | -2.7 | - |
5165 | - | D | - | -1.12 | - |
5166 | - | F | - | -1.09 | - |
5167 | - | Q | - | -0.11 | - |
5168 | - | Y | - | 0.07 | - |
5169 | - | G | - | -1.15 | - |
5170 | - | G | - | 0.35 | - |
5171 | - | Q | - | 0.28 | - |
5172 | - | Q | - | -0.12 | - |
5173 | - | L | - | -5.62 | - |
5174 | - | V | - | -1.97 | - |
5175 | - | A | - | -2.37 | - |
5176 | - | L | - | -6.09 | - |
5177 | - | T | - | -0.08 | - |
5178 | - | F | - | -4.58 | - |
5179 | - | T | - | -2.6 | - |
5180 | - | Y | - | -2.94 | - |
5181 | - | Q | - | 3.97 | - |
5182 | - | D | - | 2.28 | - |
5183 | - | G | - | -1.14 | - |
5184 | - | R | - | 0.68 | - |
5185 | - | Q | - | -0.2 | - |
5186 | - | Q | - | 0.51 | - |
5187 | - | T | - | 1.07 | - |
5188 | - | V | - | -1.89 | - |
5189 | - | G | - | -3.45 | - |
5190 | - | S | - | 0.19 | - |
5191 | - | K | - | 2.92 | - |
5192 | - | A | - | 1.23 | - |
5193 | - | Y | - | -1.91 | - |
5194 | - | V | - | -1.07 | - |
5195 | - | T | - | 0.42 | - |
5196 | - | N | - | -2.98 | - |
5197 | - | A | - | -0.58 | - |
5198 | - | H | - | 1.63 | - |
5199 | - | E | - | 1.46 | - |
5200 | - | D | - | -2.13 | - |
5201 | - | R | - | 0.99 | - |
5202 | - | F | - | -1.56 | - |
5203 | - | D | - | -1.11 | - |
5204 | - | L | - | -1.52 | - |
5205 | - | P | - | -3.32 | - |
5206 | - | D | - | 1.13 | - |
5207 | - | A | - | 2.3 | - |
5208 | - | A | - | -0.14 | - |
5209 | - | K | - | -0.74 | - |
5210 | - | I | - | -1.08 | - |
5211 | - | T | - | -1.15 | - |
5212 | - | Q | - | 7.39 | - |
5213 | - | L | - | -3.51 | - |
5214 | - | K | - | 0.8 | - |
5215 | - | I | - | -4.3 | - |
5216 | - | W | - | -5.42 | - |
5217 | - | A | - | -2.08 | - |
5218 | - | D | - | 0.61 | - |
5219 | - | D | - | 2.99 | - |
5220 | - | W | - | 2.5 | - |
5221 | - | L | - | -1.85 | - |
5222 | - | V | - | -2.62 | - |
5223 | - | K | - | 3.39 | - |
5224 | - | G | - | -2.67 | - |
5225 | - | V | - | -2.86 | - |
5226 | - | Q | - | -0.45 | - |
5227 | - | F | - | -4.73 | - |
5228 | - | D | - | 4.23 | - |
5229 | - | L | - | -2.33 | - |
5230 | - | N | - | 3.88 | - |
5231 | - | T | - | 8.44 | - |
5232 | - | N | - | 0.69 | - |
5233 | - | T | - | 1.01 | - |
5234 | - | L | - | 1.18 | - |
5235 | - | P | - | 26.17 | - |
5236 | - | H | - | 1.1 | - |
5237 | - | V | - | -1.72 | - |
5238 | - | A | - | -3.11 | - |
5239 | - | F | - | -4.32 | - |
5240 | - | Y | - | -3.12 | - |
5241 | - | I | - | -3.15 | - |
5242 | - | S | - | -1.86 | - |
5243 | - | V | - | -0.55 | - |
5244 | - | N | - | 0.73 | - |
5245 | - | R | - | 1.57 | - |
5246 | - | A | - | 0.79 | - |
5247 | - | I | - | -3.23 | - |
5248 | - | S | - | -1.2 | - |
5249 | - | D | - | 1.62 | - |
5250 | - | E | - | -0.4 | - |
5251 | - | E | - | -3.35 | - |
5252 | - | C | - | 26.9 | - |
5253 | - | T | - | 0.12 | - |
5254 | - | F | - | -2.69 | - |
5255 | - | N | - | -1.66 | - |
5256 | - | N | - | -1.38 | - |
5257 | - | S | - | -0.83 | - |
5258 | - | W | - | 0.39 | - |
5259 | - | L | - | -3.73 | - |
5260 | - | W | - | -0.14 | - |
5261 | - | K | - | 7.68 | - |
5262 | - | N | - | 3.51 | - |
5263 | - | E | - | 4.17 | - |
5264 | - | K | - | -0.96 | - |
5265 | - | G | - | -2.87 | - |
5266 | - | S | - | -0.17 | - |
5267 | - | R | - | 1.57 | - |
5268 | - | P | - | 1.17 | - |
5269 | - | F | - | -2.37 | - |
5270 | - | C | - | 12.39 | - |
5271 | - | K | - | 9.27 | - |
5272 | - | D | - | -0.38 | - |
5273 | - | A | - | -2.21 | - |
5274 | - | N | - | 0.56 | - |
5275 | - | I | - | -3.36 | - |
5276 | - | S | - | -0.1 | - |
5277 | - | L | - | -4.45 | - |
5278 | - | I | - | -1.37 | - |
5279 | - | Y | - | -5.58 | - |
5280 | - | R | - | -0.5 | - |
5281 | - | V | - | -4.49 | - |
5282 | - | N | - | 0.34 | - |
5283 | - | L | - | -3.54 | - |
5284 | - | E | - | 3.95 | - |
5285 | - | R | - | 0.87 | - |
5286 | - | S | - | -0.93 | - |
5287 | - | L | - | 0.51 | - |
5288 | - | Q | - | -0.53 | - |
5289 | - | Y | - | -0.1 | - |
5290 | - | G | - | -0.92 | - |
5291 | - | I | - | 6.53 | - |
5292 | - | V | - | 6.15 | - |
5293 | - | G | - | -2.27 | - |
5294 | - | S | - | 0.58 | - |
5295 | - | A | - | -0.72 | - |
5296 | - | T | - | 0.22 | - |
5297 | - | P | - | -3.98 | - |
5298 | - | D | - | -2.9 | - |
5299 | - | A | - | -2.56 | - |
5300 | - | K | - | -2.24 | - |
5301 | - | I | - | -2.87 | - |
5302 | - | V | - | -5.34 | - |
5303 | - | R | - | 1.57 | - |
5304 | - | I | - | -5.12 | - |
5305 | - | S | - | 1.81 | - |
5306 | - | L | - | -2.28 | - |
5307 | - | D | - | -2.14 | - |
5308 | - | D | - | 2.45 | - |
5309 | - | D | - | -0.71 | - |
5310 | - | S | - | 15.64 | - |
5311 | - | T | - | -0.41 | - |
5312 | - | G | - | -1.39 | - |
5313 | - | A | - | -2.51 | - |
5314 | - | G | - | -2.78 | - |
5315 | - | I | - | -3.66 | - |
5316 | - | H | - | -0.43 | - |
5317 | - | L | - | -5.0 | - |
5318 | - | N | - | 8.46 | - |
5319 | - | D | - | 1.64 | - |
5320 | - | Q | - | 0.97 | - |
5321 | - | L | - | -3.26 | - |
5322 | - | G | - | -2.37 | - |
5323 | - | Y | - | -2.68 | - |
5324 | - | R | - | 0.78 | - |
5325 | - | Q | - | 2.91 | - |
5326 | - | F | - | 1.59 | - |
5327 | - | G | - | -0.13 | - |
5328 | - | A | - | -0.36 | - |
5329 | - | S | - | 1.49 | - |
5330 | - | Y | - | 2.6 | - |
5331 | - | T | - | 11.65 | - |
5332 | - | T | - | 4.02 | - |
5333 | - | L | - | 2.57 | - |
5334 | - | D | - | 5.32 | - |
5335 | - | A | - | 0.39 | - |
5336 | - | Y | - | -2.28 | - |
5337 | - | F | - | 1.84 | - |
5338 | - | R | - | 7.33 | - |
5339 | - | E | - | -2.54 | - |
5340 | - | W | - | -1.68 | - |
5341 | - | S | - | 2.11 | - |
5342 | - | T | - | 1.06 | - |
5343 | - | D | - | -2.57 | - |
5344 | - | A | - | -3.49 | - |
5345 | - | I | - | -3.67 | - |
5346 | - | A | - | -2.72 | - |
5347 | - | Q | - | -1.12 | - |
5348 | - | D | - | -1.97 | - |
5349 | - | Y | - | -5.55 | - |
5350 | - | R | - | 0.89 | - |
5351 | - | F | - | -2.71 | - |
5352 | - | V | - | 1.12 | - |
5353 | - | F | - | -5.19 | - |
5354 | - | N | - | 5.16 | - |
5355 | - | A | - | -1.13 | - |
5356 | - | S | - | -0.49 | - |
5357 | - | N | - | 0.12 | - |
5358 | - | N | - | 1.62 | - |
5359 | - | K | - | -0.33 | - |
5360 | - | A | - | -1.78 | - |
5361 | - | Q | - | -2.18 | - |
5362 | - | I | - | -2.02 | - |
5363 | - | L | - | 0.79 | - |
5364 | - | K | - | 8.4 | - |
5365 | - | T | - | -2.37 | - |
5366 | - | F | - | 4.32 | - |
5367 | - | P | - | -2.24 | - |
5368 | - | V | - | 5.99 | - |
5369 | - | D | - | 0.39 | - |
5370 | - | N | - | -2.99 | - |
5371 | - | I | - | 16.08 | - |
5372 | - | N | - | -2.45 | - |
5373 | - | E | - | 1.24 | - |
5374 | - | K | - | -0.78 | - |
5375 | - | F | - | -4.12 | - |
5376 | - | E | - | -0.41 | - |
5377 | - | R | - | 21.78 | - |
5378 | - | K | - | 15.51 | - |
5379 | - | E | - | -0.24 | - |
5380 | - | V | - | -0.3 | - |
5381 | - | S | - | -1.3 | - |
5382 | - | G | - | -1.76 | - |
5383 | - | F | - | -0.83 | - |
5384 | - | E | - | 0.67 | - |
5385 | - | L | - | 4.51 | - |
5386 | - | G | - | 1.5 | - |
5387 | - | V | - | 0.97 | - |
5388 | - | T | - | -0.36 | - |
5389 | - | G | - | 1.61 | - |
5390 | - | G | - | 2.07 | - |
5391 | - | V | - | 8.29 | - |
5392 | - | E | - | -0.99 | - |
5393 | - | V | - | 3.93 | - |
5394 | - | S | - | 2.89 | - |
5395 | - | G | - | 2.57 | - |
5396 | - | D | - | -0.41 | - |
5397 | - | G | - | 6.41 | - |
5398 | - | P | - | 6.74 | - |
5399 | - | K | - | -1.51 | - |
5400 | - | A | - | -0.25 | - |
5401 | - | K | - | 0.07 | - |
5402 | - | L | - | 0.31 | - |
5403 | - | E | - | -0.37 | - |
5404 | - | A | - | -0.01 | - |
5405 | - | R | - | 3.06 | - |
5406 | - | A | - | 0.23 | - |
5407 | - | S | - | 1.89 | - |
5408 | - | Y | - | 2.87 | - |
5409 | - | T | - | 5.81 | - |
5410 | - | Q | - | 4.12 | - |
5411 | - | S | - | 3.14 | - |
5412 | - | R | - | 0.76 | - |
5413 | - | W | - | 13.64 | - |
5414 | - | L | - | -1.95 | - |
5415 | - | T | - | 3.13 | - |
5416 | - | Y | - | -2.03 | - |
5417 | - | N | - | 1.74 | - |
5418 | - | T | - | -1.11 | - |
5419 | - | Q | - | -2.07 | - |
5420 | - | D | - | 3.39 | - |
5421 | - | Y | - | -5.87 | - |
5422 | - | R | - | -1.76 | - |
5423 | - | I | - | -0.85 | - |
5424 | - | E | - | -2.17 | - |
5425 | - | R | - | -4.35 | - |
5426 | - | N | - | -0.12 | - |
5427 | - | A | - | 0.23 | - |
5428 | - | K | - | 4.2 | - |
5429 | - | N | - | -1.21 | - |
5430 | - | A | - | -1.79 | - |
5431 | - | Q | - | -2.42 | - |
5432 | - | A | - | -1.63 | - |
5433 | - | V | - | -1.1 | - |
5434 | - | S | - | 0.49 | - |
5435 | - | F | - | -4.76 | - |
5436 | - | T | - | -1.11 | - |
5437 | - | W | - | 0.29 | - |
5438 | - | N | - | 0.47 | - |
5439 | - | R | - | -3.83 | - |
5440 | - | Q | - | 0.78 | - |
5441 | - | Q | - | 9.86 | - |
5442 | - | Y | - | 1.06 | - |
5443 | - | A | - | -0.25 | - |
5444 | - | T | - | 0.06 | - |
5445 | - | A | - | -2.58 | - |
5446 | - | E | - | 4.4 | - |
5447 | - | S | - | -0.44 | - |
5448 | - | L | - | -3.34 | - |
5449 | - | L | - | -1.68 | - |
5450 | - | N | - | 0.5 | - |
5451 | - | R | - | 1.36 | - |
5452 | - | S | - | 0.83 | - |
5453 | - | T | - | 2.88 | - |
5454 | - | D | - | 0.51 | - |
5455 | - | A | - | -0.04 | - |
5456 | - | L | - | 10.32 | - |
5457 | - | W | - | 4.32 | - |
5458 | - | V | - | 0.23 | - |
5459 | - | N | - | 4.5 | - |
5460 | - | T | - | 0.28 | - |
5461 | - | Y | - | 3.91 | - |
5462 | - | P | - | 31.18 | - |
5463 | - | V | - | -1.85 | - |
5464 | - | D | - | -2.06 | - |
5465 | - | V | - | 1.87 | - |
5466 | - | N | - | 0.27 | - |
5467 | - | R | - | -1.18 | - |
5468 | - | I | - | -1.36 | - |
5469 | - | S | - | 3.62 | - |
5470 | - | P | - | -4.36 | - |
5471 | - | L | - | 0.25 | - |
5472 | - | S | - | 0.18 | - |
5473 | - | Y | - | -4.67 | - |
5474 | - | A | - | 0.58 | - |
5475 | - | S | - | 1.53 | - |
5476 | - | F | - | -4.04 | - |
5477 | - | V | - | 1.07 | - |
5478 | - | P | - | 19.13 | - |
5479 | - | K | - | 6.96 | - |
5480 | - | M | - | 13.95 | - |
5481 | - | D | - | 3.01 | - |
5482 | - | V | - | -5.28 | - |
5483 | - | I | - | 6.57 | - |
5484 | - | Y | - | -5.66 | - |
5485 | - | K | - | 20.87 | - |
5486 | - | A | - | -2.57 | - |
5487 | - | S | - | 5.16 | - |
5488 | - | A | - | -0.95 | - |
5489 | - | T | - | 2.63 | - |
5490 | - | E | - | 0.92 | - |
5491 | - | T | - | 0.68 | - |
5492 | - | G | - | -1.6 | - |
5493 | - | S | - | 0.35 | - |
5494 | - | T | - | -2.24 | - |
5495 | - | D | - | 1.15 | - |
5496 | - | F | - | -5.21 | - |
5497 | - | I | - | -2.93 | - |
5498 | - | I | - | -2.95 | - |
5499 | - | D | - | 4.75 | - |
5500 | - | S | - | 3.85 | - |
5501 | - | S | - | -2.58 | - |
5502 | - | V | - | -3.73 | - |
5503 | - | N | - | -2.55 | - |
5504 | - | I | - | -5.21 | - |
5505 | - | R | - | 7.19 | - |
5506 | - | P | - | -2.76 | - |
5507 | - | I | - | -1.33 | - |
5508 | - | Y | - | -3.15 | - |
5509 | - | N | - | 0.69 | - |
5510 | - | G | - | -0.1 | - |
5511 | - | A | - | -2.54 | - |
5512 | - | Y | - | -1.81 | - |
5513 | - | K | - | 0.41 | - |
5514 | - | H | - | 1.03 | - |
5515 | - | Y | - | -0.58 | - |
5516 | - | Y | - | 7.88 | - |
5517 | - | V | - | 16.0 | - |
5518 | - | V | - | 3.44 | - |
5519 | - | G | - | 1.06 | - |
5520 | - | A | - | -0.12 | - |
5521 | - | H | - | 0.62 | - |
5522 | - | Q | - | 0.36 | - |
5523 | - | S | - | 1.76 | - |
5524 | - | Y | - | -4.72 | - |
5525 | - | H | - | -0.29 | - |
5526 | - | G | - | 1.02 | - |
5527 | - | F | - | 1.27 | - |
5528 | - | E | - | 1.13 | - |
5529 | - | D | - | 0.43 | - |
5530 | - | T | - | 1.76 | - |
5531 | - | P | - | -2.58 | - |
5532 | - | R | - | 8.71 | - |
5533 | - | R | - | -0.15 | - |
5534 | - | R | - | 1.15 | - |
5535 | - | I | - | -1.57 | - |
5536 | - | T | - | -0.73 | - |
5537 | - | K | - | 1.14 | - |
5538 | - | S | - | 0.09 | - |
5539 | - | A | - | -1.88 | - |
5540 | - | S | - | 9.85 | - |
5541 | - | F | - | -5.03 | - |
5542 | - | T | - | 0.07 | - |
5543 | - | V | - | -4.82 | - |
5544 | - | D | - | 3.25 | - |
5545 | - | W | - | -5.64 | - |
5546 | - | D | - | 0.17 | - |
5547 | - | H | - | -1.8 | - |
5548 | - | P | - | -2.38 | - |
5549 | - | V | - | -2.65 | - |
5550 | - | F | - | -1.27 | - |
5551 | - | T | - | -2.26 | - |
5552 | - | G | - | -3.57 | - |
5553 | - | G | - | -0.32 | - |
5554 | - | R | - | 7.28 | - |
5555 | - | P | - | 2.25 | - |
5556 | - | V | - | -2.86 | - |
5557 | - | N | - | -0.19 | - |
5558 | - | L | - | -3.95 | - |
5559 | - | Q | - | -2.05 | - |
5560 | - | L | - | 0.86 | - |
5561 | - | A | - | -0.65 | - |
5562 | - | S | - | 3.08 | - |
5563 | - | F | - | 2.09 | - |
5564 | - | N | - | 0.81 | - |
5565 | - | N | - | -1.56 | - |
5566 | - | R | - | 4.35 | - |
5567 | - | C | - | -0.64 | - |
5568 | - | I | - | -4.27 | - |
5569 | - | Q | - | -3.11 | - |
5570 | - | V | - | 0.2 | - |
5571 | - | D | - | -1.57 | - |
5572 | - | A | - | 1.04 | - |
5573 | - | Q | - | 1.45 | - |
5574 | - | G | - | -3.07 | - |
5575 | - | R | - | -1.02 | - |
5576 | - | L | - | -4.36 | - |
5577 | - | T | - | 0.33 | - |
5578 | - | A | - | -0.18 | - |
5579 | - | N | - | 3.22 | - |
5580 | - | M | - | 5.22 | - |
5581 | - | C | - | 1.83 | - |
5582 | - | D | - | -1.53 | - |
5583 | - | S | - | -0.66 | - |
5584 | - | Q | - | 0.97 | - |
5585 | - | Q | - | 1.35 | - |
5586 | - | S | - | -0.96 | - |
5587 | - | A | - | -2.42 | - |
5588 | - | Q | - | -5.1 | - |
5589 | - | S | - | -1.21 | - |
5590 | - | F | - | -5.45 | - |
5591 | - | I | - | -5.02 | - |
5592 | - | Y | - | 0.49 | - |
5593 | - | D | - | -4.31 | - |
5594 | - | Q | - | 2.8 | - |
5595 | - | L | - | -1.5 | - |
5596 | - | G | - | -3.42 | - |
5597 | - | R | - | -3.22 | - |
5598 | - | Y | - | -3.93 | - |
5599 | - | V | - | -4.68 | - |
5600 | - | S | - | -1.97 | - |
5601 | - | A | - | -1.67 | - |
5602 | - | S | - | 4.35 | - |
5603 | - | N | - | 0.09 | - |
5604 | - | T | - | 0.55 | - |
5605 | - | K | - | 0.94 | - |
5606 | - | L | - | -3.91 | - |
5607 | - | C | - | 2.17 | - |
5608 | - | L | - | -4.53 | - |
5609 | - | D | - | -3.09 | - |
5610 | - | G | - | -0.35 | - |
5611 | - | A | - | -0.83 | - |
5612 | - | A | - | 2.17 | - |
5613 | - | L | - | -0.45 | - |
5614 | - | D | - | 1.18 | - |
5615 | - | A | - | -0.57 | - |
5616 | - | L | - | -3.65 | - |
5617 | - | Q | - | -0.51 | - |
5618 | - | P | - | -5.03 | - |
5619 | - | C | - | 3.89 | - |
5620 | - | N | - | -1.6 | - |
5621 | - | Q | - | 0.74 | - |
5622 | - | N | - | -1.58 | - |
5623 | - | L | - | -3.56 | - |
5624 | - | T | - | -0.04 | - |
5625 | - | Q | - | -3.44 | - |
5626 | - | R | - | -3.26 | - |
5627 | - | W | - | -5.75 | - |
5628 | - | E | - | -1.04 | - |
5629 | - | W | - | -2.19 | - |
5630 | - | R | - | 2.66 | - |
5631 | - | K | - | 0.93 | - |
5632 | - | G | - | -0.89 | - |
5633 | - | T | - | -0.03 | - |
5634 | - | D | - | -1.39 | - |
5635 | - | E | - | -1.93 | - |
5636 | - | L | - | -5.26 | - |
5637 | - | T | - | -1.17 | - |
5638 | - | N | - | -1.02 | - |
5639 | - | V | - | -1.31 | - |
5640 | - | Y | - | 1.46 | - |
5641 | - | S | - | 1.55 | - |
5642 | - | G | - | -1.6 | - |
5643 | - | E | - | -0.15 | - |
5644 | - | S | - | -0.28 | - |
5645 | - | L | - | -4.07 | - |
5646 | - | G | - | -1.48 | - |
5647 | - | H | - | 1.73 | - |
5648 | - | D | - | -2.81 | - |
5649 | - | K | - | -2.18 | - |
5650 | - | Q | - | 0.78 | - |
5651 | - | T | - | 0.33 | - |
5652 | - | G | - | -2.47 | - |
5653 | - | E | - | 1.06 | - |
5654 | - | L | - | -4.37 | - |
5655 | - | G | - | -0.62 | - |
5656 | - | L | - | -3.23 | - |
5657 | - | Y | - | -1.51 | - |
5658 | - | A | - | 1.65 | - |
5659 | - | S | - | -1.15 | - |
5660 | - | S | - | -1.93 | - |
5661 | - | N | - | -1.04 | - |
5662 | - | D | - | 0.8 | - |
5663 | - | A | - | -0.77 | - |
5664 | - | V | - | -1.76 | - |
5665 | - | S | - | -0.19 | - |
5666 | - | L | - | -1.02 | - |
5667 | - | R | - | -2.5 | - |
5668 | - | T | - | -0.34 | - |
5669 | - | I | - | 0.43 | - |
5670 | - | T | - | 0.05 | - |
5671 | - | A | - | -0.74 | - |
5672 | - | Y | - | -1.21 | - |
5673 | - | T | - | -1.85 | - |
5674 | - | D | - | -1.57 | - |
5675 | - | V | - | 1.58 | - |
5676 | - | F | - | -1.27 | - |
5677 | - | N | - | 10.36 | - |
5678 | - | A | - | 0.52 | - |
5679 | - | Q | - | 0.51 | - |
5680 | - | E | - | 5.22 | - |
5681 | - | S | - | 6.02 | - |
5682 | - | S | - | 1.22 | - |
5683 | - | P | - | -2.09 | - |
5684 | - | I | - | 2.5 | - |
5685 | - | L | - | -3.86 | - |
5686 | - | G | - | -2.16 | - |
5687 | - | Y | - | -0.37 | - |
5688 | - | T | - | 1.15 | - |
5689 | - | Q | - | 1.52 | - |
5690 | - | G | - | -1.65 | - |
5691 | - | K | - | -0.18 | - |
5692 | - | M | - | 4.24 | - |
5693 | - | N | - | 1.48 | - |
5694 | - | Q | - | 0.84 | - |
5695 | - | Q | - | -1.31 | - |
5696 | - | R | - | 4.42 | - |
5697 | - | V | - | 0.48 | - |
5698 | - | G | - | 0.69 | - |
5699 | - | Q | - | 2.06 | - |
5700 | - | D | - | 0.9 | - |
5701 | - | N | - | 1.23 | - |
5702 | - | R | - | -0.48 | - |
5703 | - | L | - | -4.49 | - |
5704 | - | Y | - | -3.85 | - |
5705 | - | V | - | -2.2 | - |
5706 | - | R | - | 4.68 | - |
5707 | - | A | - | -1.89 | - |
5708 | - | G | - | 0.27 | - |
5709 | - | A | - | 0.43 | - |
5710 | - | A | - | -1.45 | - |
5711 | - | I | - | 1.37 | - |
5712 | - | D | - | 3.3 | - |
5713 | - | A | - | -3.6 | - |
5714 | - | L | - | -4.32 | - |
5715 | - | G | - | -3.21 | - |
5716 | - | S | - | 0.46 | - |
5717 | - | A | - | -0.79 | - |
5718 | - | S | - | -0.37 | - |
5719 | - | D | - | 2.11 | - |
5720 | - | L | - | 1.44 | - |
5721 | - | L | - | -0.84 | - |
5722 | - | V | - | 2.05 | - |
5723 | - | G | - | -2.35 | - |
5724 | - | G | - | 2.28 | - |
5725 | - | N | - | 11.97 | - |
5726 | - | G | - | 2.94 | - |
5727 | - | G | - | 1.7 | - |
5728 | - | S | - | -0.03 | - |
5729 | - | L | - | 3.37 | - |
5730 | - | S | - | 0.26 | - |
5731 | - | S | - | -0.95 | - |
5732 | - | V | - | -4.02 | - |
5733 | - | D | - | 1.87 | - |
5734 | - | L | - | -3.63 | - |
5735 | - | S | - | 3.25 | - |
5736 | - | G | - | -2.7 | - |
5737 | - | V | - | -2.56 | - |
5738 | - | K | - | 0.83 | - |
5739 | - | S | - | 1.3 | - |
5740 | - | I | - | -5.79 | - |
5741 | - | T | - | -0.26 | - |
5742 | - | A | - | -1.64 | - |
5743 | - | T | - | -2.96 | - |
5744 | - | S | - | -2.3 | - |
5745 | - | G | - | -2.52 | - |
5746 | - | D | - | -0.93 | - |
5747 | - | F | - | -0.68 | - |
5748 | - | Q | - | 3.25 | - |
5749 | - | Y | - | 2.08 | - |
5750 | - | G | - | -0.28 | - |
5751 | - | G | - | 0.35 | - |
5752 | - | Q | - | 0.14 | - |
5753 | - | Q | - | -0.24 | - |
5754 | - | L | - | -5.51 | - |
5755 | - | V | - | -1.82 | - |
5756 | - | A | - | -2.4 | - |
5757 | - | L | - | -6.02 | - |
5758 | - | T | - | -0.21 | - |
5759 | - | F | - | -4.52 | - |
5760 | - | T | - | -2.59 | - |
5761 | - | Y | - | -3.15 | - |
5762 | - | Q | - | 2.96 | - |
5763 | - | D | - | 2.08 | - |
5764 | - | G | - | -1.02 | - |
5765 | - | R | - | 0.58 | - |
5766 | - | Q | - | -0.23 | - |
5767 | - | Q | - | -0.69 | - |
5768 | - | T | - | 0.53 | - |
5769 | - | V | - | -1.85 | - |
5770 | - | G | - | -3.34 | - |
5771 | - | S | - | 0.7 | - |
5772 | - | K | - | 4.04 | - |
5773 | - | A | - | 0.91 | - |
5774 | - | Y | - | -1.69 | - |
5775 | - | V | - | -1.43 | - |
5776 | - | T | - | 0.43 | - |
5777 | - | N | - | -3.24 | - |
5778 | - | A | - | -0.82 | - |
5779 | - | H | - | 1.0 | - |
5780 | - | E | - | 1.02 | - |
5781 | - | D | - | -1.74 | - |
5782 | - | R | - | 1.09 | - |
5783 | - | F | - | -1.69 | - |
5784 | - | D | - | -1.01 | - |
5785 | - | L | - | -1.59 | - |
5786 | - | P | - | -3.95 | - |
5787 | - | D | - | 0.74 | - |
5788 | - | A | - | 1.89 | - |
5789 | - | A | - | -0.09 | - |
5790 | - | K | - | -1.01 | - |
5791 | - | I | - | -2.56 | - |
5792 | - | T | - | -1.41 | - |
5793 | - | Q | - | 9.05 | - |
5794 | - | L | - | -2.91 | - |
5795 | - | K | - | 0.46 | - |
5796 | - | I | - | -4.6 | - |
5797 | - | W | - | -5.2 | - |
5798 | - | A | - | -2.42 | - |
5799 | - | D | - | -0.06 | - |
5800 | - | D | - | 4.27 | - |
5801 | - | W | - | 3.13 | - |
5802 | - | L | - | -1.73 | - |
5803 | - | V | - | -3.49 | - |
5804 | - | K | - | 2.81 | - |
5805 | - | G | - | -2.66 | - |
5806 | - | V | - | -3.23 | - |
5807 | - | Q | - | 0.05 | - |
5808 | - | F | - | -4.69 | - |
5809 | - | D | - | 5.19 | - |
5810 | - | L | - | -2.38 | - |
5811 | - | N | - | 3.56 | - |
5812 | - | T | - | 8.8 | - |
5813 | - | N | - | 0.71 | - |
5814 | - | T | - | 1.08 | - |
5815 | - | L | - | 2.73 | - |
5816 | - | P | - | 26.15 | - |
5817 | - | H | - | 0.37 | - |
5818 | - | V | - | -0.62 | - |
5819 | - | A | - | -2.77 | - |
5820 | - | F | - | -4.65 | - |
5821 | - | Y | - | -2.71 | - |
5822 | - | I | - | -2.55 | - |
5823 | - | S | - | -1.87 | - |
5824 | - | V | - | -0.57 | - |
5825 | - | N | - | 0.77 | - |
5826 | - | R | - | 1.69 | - |
5827 | - | A | - | 0.75 | - |
5828 | - | I | - | -3.84 | - |
5829 | - | S | - | -1.16 | - |
5830 | - | D | - | 1.21 | - |
5831 | - | E | - | -0.19 | - |
5832 | - | E | - | -2.96 | - |
5833 | - | C | - | 15.75 | - |
5834 | - | T | - | 0.3 | - |
5835 | - | F | - | -2.52 | - |
5836 | - | N | - | -1.39 | - |
5837 | - | N | - | -1.52 | - |
5838 | - | S | - | -0.63 | - |
5839 | - | W | - | 0.74 | - |
5840 | - | L | - | -3.61 | - |
5841 | - | W | - | -0.67 | - |
5842 | - | K | - | 4.47 | - |
5843 | - | N | - | 3.57 | - |
5844 | - | E | - | 0.53 | - |
5845 | - | K | - | -2.34 | - |
5846 | - | G | - | -1.95 | - |
5847 | - | S | - | -1.29 | - |
5848 | - | R | - | 0.09 | - |
5849 | - | P | - | -0.23 | - |
5850 | - | F | - | -2.18 | - |
5851 | - | C | - | 13.69 | - |
5852 | - | K | - | 2.12 | - |
5853 | - | D | - | -2.09 | - |
5854 | - | A | - | -2.81 | - |
5855 | - | N | - | 0.32 | - |
5856 | - | I | - | -3.63 | - |
5857 | - | S | - | -0.19 | - |
5858 | - | L | - | -4.18 | - |
5859 | - | I | - | -1.37 | - |
5860 | - | Y | - | -6.28 | - |
5861 | - | R | - | -1.1 | - |
5862 | - | V | - | -4.79 | - |
5863 | - | N | - | 0.57 | - |
5864 | - | L | - | -2.6 | - |
5865 | - | E | - | 4.3 | - |
5866 | - | R | - | 0.36 | - |
5867 | - | S | - | -0.78 | - |
5868 | - | L | - | -0.39 | - |
5869 | - | Q | - | -0.49 | - |
5870 | - | Y | - | -1.12 | - |
5871 | - | G | - | -0.73 | - |
5872 | - | I | - | 5.48 | - |
5873 | - | V | - | 6.36 | - |
5874 | - | G | - | -2.04 | - |
5875 | - | S | - | 0.92 | - |
5876 | - | A | - | -0.7 | - |
5877 | - | T | - | 0.24 | - |
5878 | - | P | - | -3.26 | - |
5879 | - | D | - | -2.64 | - |
5880 | - | A | - | -2.35 | - |
5881 | - | K | - | -2.19 | - |
5882 | - | I | - | -2.72 | - |
5883 | - | V | - | -5.55 | - |
5884 | - | R | - | 1.97 | - |
5885 | - | I | - | -4.68 | - |
5886 | - | S | - | 2.21 | - |
5887 | - | L | - | -2.57 | - |
5888 | - | D | - | -2.04 | - |
5889 | - | D | - | 1.48 | - |
5890 | - | D | - | -0.67 | - |
5891 | - | S | - | 14.91 | - |
5892 | - | T | - | -0.07 | - |
5893 | - | G | - | -1.29 | - |
5894 | - | A | - | -2.31 | - |
5895 | - | G | - | -2.79 | - |
5896 | - | I | - | -3.8 | - |
5897 | - | H | - | -0.77 | - |
5898 | - | L | - | -5.25 | - |
5899 | - | N | - | 9.12 | - |
5900 | - | D | - | 1.87 | - |
5901 | - | Q | - | 5.47 | - |
5902 | - | L | - | -2.43 | - |
5903 | - | G | - | -2.3 | - |
5904 | - | Y | - | -2.63 | - |
5905 | - | R | - | 0.43 | - |
5906 | - | Q | - | 3.2 | - |
5907 | - | F | - | 1.31 | - |
5908 | - | G | - | 0.22 | - |
5909 | - | A | - | -0.74 | - |
5910 | - | S | - | 0.81 | - |
5911 | - | Y | - | 2.45 | - |
5912 | - | T | - | 11.7 | - |
5913 | - | T | - | 3.37 | - |
5914 | - | L | - | 2.61 | - |
5915 | - | D | - | 5.05 | - |
5916 | - | A | - | 0.61 | - |
5917 | - | Y | - | -2.27 | - |
5918 | - | F | - | 1.3 | - |
5919 | - | R | - | 8.96 | - |
5920 | - | E | - | -2.53 | - |
5921 | - | W | - | -1.89 | - |
5922 | - | S | - | 2.26 | - |
5923 | - | T | - | 1.99 | - |
5924 | - | D | - | -2.66 | - |
5925 | - | A | - | -3.43 | - |
5926 | - | I | - | -4.55 | - |
5927 | - | A | - | -2.91 | - |
5928 | - | Q | - | -0.26 | - |
5929 | - | D | - | -2.54 | - |
5930 | - | Y | - | -5.66 | - |
5931 | - | R | - | -0.32 | - |
5932 | - | F | - | -2.8 | - |
5933 | - | V | - | -0.24 | - |
5934 | - | F | - | -4.85 | - |
5935 | - | N | - | 5.01 | - |
5936 | - | A | - | -1.77 | - |
5937 | - | S | - | -0.65 | - |
5938 | - | N | - | 0.08 | - |
5939 | - | N | - | 1.07 | - |
5940 | - | K | - | -0.78 | - |
5941 | - | A | - | -2.14 | - |
5942 | - | Q | - | -2.29 | - |
5943 | - | I | - | -1.31 | - |
5944 | - | L | - | 4.92 | - |
5945 | - | K | - | 8.01 | - |
5946 | - | T | - | -2.6 | - |
5947 | - | F | - | 4.29 | - |
5948 | - | P | - | -2.61 | - |
5949 | - | V | - | 5.84 | - |
5950 | - | D | - | 0.36 | - |
5951 | - | N | - | -3.04 | - |
5952 | - | I | - | 15.74 | - |
5953 | - | N | - | -2.57 | - |
5954 | - | E | - | 0.9 | - |
5955 | - | K | - | -0.77 | - |
5956 | - | F | - | -4.08 | - |
5957 | - | E | - | -0.66 | - |
5958 | - | R | - | 15.96 | - |
5959 | - | K | - | 16.0 | - |
5960 | - | E | - | -0.25 | - |
5961 | - | V | - | -0.33 | - |
5962 | - | S | - | -1.09 | - |
5963 | - | G | - | -2.15 | - |
5964 | - | F | - | -0.09 | - |
5965 | - | E | - | 0.95 | - |
5966 | - | L | - | 4.7 | - |
5967 | - | G | - | 1.41 | - |
5968 | - | V | - | 1.65 | - |
5969 | - | T | - | -0.78 | - |
5970 | - | G | - | 1.86 | - |
5971 | - | G | - | 1.47 | - |
5972 | - | V | - | 9.01 | - |
5973 | - | E | - | 34.58 | - |
5974 | - | V | - | 4.6 | - |
5975 | - | S | - | -0.77 | - |
5976 | - | G | - | 2.61 | - |
5977 | - | D | - | 0.08 | - |
5978 | - | G | - | 6.76 | - |
5979 | - | P | - | 7.12 | - |
5980 | - | K | - | 4.83 | - |
5981 | - | A | - | -0.62 | - |
5982 | - | K | - | 0.98 | - |
5983 | - | L | - | 0.45 | - |
5984 | - | E | - | -0.24 | - |
5985 | - | A | - | -0.44 | - |
5986 | - | R | - | 3.42 | - |
5987 | - | A | - | 0.24 | - |
5988 | - | S | - | 1.58 | - |
5989 | - | Y | - | 2.35 | - |
5990 | - | T | - | 4.82 | - |
5991 | - | Q | - | 4.89 | - |
5992 | - | S | - | 2.41 | - |
5993 | - | R | - | 0.15 | - |
5994 | - | W | - | 13.94 | - |
5995 | - | L | - | -2.4 | - |
5996 | - | T | - | 1.91 | - |
5997 | - | Y | - | -1.76 | - |
5998 | - | N | - | 0.68 | - |
5999 | - | T | - | -2.47 | - |
6000 | - | Q | - | -1.84 | - |
6001 | - | D | - | 3.3 | - |
6002 | - | Y | - | -6.09 | - |
6003 | - | R | - | -2.19 | - |
6004 | - | I | - | -1.17 | - |
6005 | - | E | - | -2.73 | - |
6006 | - | R | - | -4.3 | - |
6007 | - | N | - | 0.27 | - |
6008 | - | A | - | 0.31 | - |
6009 | - | K | - | 5.4 | - |
6010 | - | N | - | -0.69 | - |
6011 | - | A | - | -1.53 | - |
6012 | - | Q | - | -2.0 | - |
6013 | - | A | - | -1.62 | - |
6014 | - | V | - | -2.18 | - |
6015 | - | S | - | 0.18 | - |
6016 | - | F | - | -4.47 | - |
6017 | - | T | - | -1.04 | - |
6018 | - | W | - | 0.08 | - |
6019 | - | N | - | 0.33 | - |
6020 | - | R | - | -2.81 | - |
6021 | - | Q | - | 0.71 | - |
6022 | - | Q | - | 20.01 | - |
6023 | - | Y | - | 0.85 | - |
6024 | - | A | - | 0.0 | - |
6025 | - | T | - | 0.76 | - |
6026 | - | A | - | -2.91 | - |
6027 | - | E | - | 4.32 | - |
6028 | - | S | - | -0.05 | - |
6029 | - | L | - | -3.41 | - |
6030 | - | L | - | -1.4 | - |
6031 | - | N | - | 0.91 | - |
6032 | - | R | - | 1.28 | - |
6033 | - | S | - | 1.13 | - |
6034 | - | T | - | 2.85 | - |
6035 | - | D | - | 0.87 | - |
6036 | - | A | - | -0.09 | - |
6037 | - | L | - | 10.62 | - |
6038 | - | W | - | 4.29 | - |
6039 | - | V | - | 0.31 | - |
6040 | - | N | - | 4.54 | - |
6041 | - | T | - | 0.24 | - |
6042 | - | Y | - | 4.05 | - |
6043 | - | P | - | 34.07 | - |
6044 | - | V | - | -1.6 | - |
6045 | - | D | - | -1.87 | - |
6046 | - | V | - | 1.86 | - |
6047 | - | N | - | 0.36 | - |
6048 | - | R | - | -0.7 | - |
6049 | - | I | - | -0.83 | - |
6050 | - | S | - | 4.03 | - |
6051 | - | P | - | -4.19 | - |
6052 | - | L | - | 0.06 | - |
6053 | - | S | - | -0.2 | - |
6054 | - | Y | - | -4.84 | - |
6055 | - | A | - | 0.89 | - |
6056 | - | S | - | 0.48 | - |
6057 | - | F | - | -3.59 | - |
6058 | - | V | - | 2.79 | - |
6059 | - | P | - | 24.79 | - |
6060 | - | K | - | 6.42 | - |
6061 | - | M | - | 15.89 | - |
6062 | - | D | - | 3.14 | - |
6063 | - | V | - | -5.35 | - |
6064 | - | I | - | 6.18 | - |
6065 | - | Y | - | -5.14 | - |
6066 | - | K | - | 21.5 | - |
6067 | - | A | - | -2.39 | - |
6068 | - | S | - | 3.4 | - |
6069 | - | A | - | -1.03 | - |
6070 | - | T | - | 2.08 | - |
6071 | - | E | - | 1.03 | - |
6072 | - | T | - | 0.71 | - |
6073 | - | G | - | -1.54 | - |
6074 | - | S | - | 0.4 | - |
6075 | - | T | - | -2.24 | - |
6076 | - | D | - | 1.38 | - |
6077 | - | F | - | -4.81 | - |
6078 | - | I | - | -3.0 | - |
6079 | - | I | - | -3.57 | - |
6080 | - | D | - | 3.86 | - |
6081 | - | S | - | 2.04 | - |
6082 | - | S | - | -2.34 | - |
6083 | - | V | - | -3.79 | - |
6084 | - | N | - | -2.91 | - |
6085 | - | I | - | -4.42 | - |
6086 | - | R | - | 7.6 | - |
6087 | - | P | - | -3.54 | - |
6088 | - | I | - | -1.76 | - |
6089 | - | Y | - | -3.67 | - |
6090 | - | N | - | 0.61 | - |
6091 | - | G | - | -0.26 | - |
6092 | - | A | - | -2.54 | - |
6093 | - | Y | - | -1.6 | - |
6094 | - | K | - | 0.18 | - |
6095 | - | H | - | 0.7 | - |
6096 | - | Y | - | 1.32 | - |
6097 | - | Y | - | 8.27 | - |
6098 | - | V | - | 3.31 | - |
6099 | - | V | - | 3.47 | - |
6100 | - | G | - | 0.95 | - |
6101 | - | A | - | -0.02 | - |
6102 | - | H | - | 0.93 | - |
6103 | - | Q | - | 0.63 | - |
6104 | - | S | - | 0.9 | - |
6105 | - | Y | - | -4.78 | - |
6106 | - | H | - | -0.58 | - |
6107 | - | G | - | 1.32 | - |
6108 | - | F | - | 1.81 | - |
6109 | - | E | - | 2.12 | - |
6110 | - | D | - | 0.59 | - |
6111 | - | T | - | 1.36 | - |
6112 | - | P | - | -2.92 | - |
6113 | - | R | - | 7.94 | - |
6114 | - | R | - | -0.03 | - |
6115 | - | R | - | 1.45 | - |
6116 | - | I | - | -1.42 | - |
6117 | - | T | - | -0.5 | - |
6118 | - | K | - | 0.58 | - |
6119 | - | S | - | 0.28 | - |
6120 | - | A | - | -1.93 | - |
6121 | - | S | - | 7.89 | - |
6122 | - | F | - | -4.83 | - |
6123 | - | T | - | 0.02 | - |
6124 | - | V | - | -4.13 | - |
6125 | - | D | - | 4.0 | - |
6126 | - | W | - | -5.22 | - |
6127 | - | D | - | 0.5 | - |
6128 | - | H | - | -0.76 | - |
6129 | - | P | - | -2.11 | - |
6130 | - | V | - | -2.71 | - |
6131 | - | F | - | -2.14 | - |
6132 | - | T | - | -2.02 | - |
6133 | - | G | - | -3.21 | - |
6134 | - | G | - | 0.26 | - |
6135 | - | R | - | 6.04 | - |
6136 | - | P | - | 0.82 | - |
6137 | - | V | - | -3.22 | - |
6138 | - | N | - | 0.38 | - |
6139 | - | L | - | -3.91 | - |
6140 | - | Q | - | -2.87 | - |
6141 | - | L | - | 0.71 | - |
6142 | - | A | - | -0.08 | - |
6143 | - | S | - | 3.46 | - |
6144 | - | F | - | 2.36 | - |
6145 | - | N | - | -0.18 | - |
6146 | - | N | - | -1.68 | - |
6147 | - | R | - | 3.84 | - |
6148 | - | C | - | -0.96 | - |
6149 | - | I | - | -4.36 | - |
6150 | - | Q | - | -2.81 | - |
6151 | - | V | - | 0.94 | - |
6152 | - | D | - | -1.88 | - |
6153 | - | A | - | 1.53 | - |
6154 | - | Q | - | -0.32 | - |
6155 | - | G | - | -2.68 | - |
6156 | - | R | - | 15.99 | - |
6157 | - | L | - | -4.14 | - |
6158 | - | T | - | 0.1 | - |
6159 | - | A | - | -0.24 | - |
6160 | - | N | - | 3.31 | - |
6161 | - | M | - | 7.21 | - |
6162 | - | C | - | 0.75 | - |
6163 | - | D | - | -1.64 | - |
6164 | - | S | - | -0.61 | - |
6165 | - | Q | - | 0.84 | - |
6166 | - | Q | - | 1.82 | - |
6167 | - | S | - | -0.36 | - |
6168 | - | A | - | -2.02 | - |
6169 | - | Q | - | -5.11 | - |
6170 | - | S | - | -1.23 | - |
6171 | - | F | - | -5.61 | - |
6172 | - | I | - | -4.95 | - |
6173 | - | Y | - | 0.9 | - |
6174 | - | D | - | -4.99 | - |
6175 | - | Q | - | 2.5 | - |
6176 | - | L | - | -1.19 | - |
6177 | - | G | - | -3.12 | - |
6178 | - | R | - | -2.58 | - |
6179 | - | Y | - | -4.4 | - |
6180 | - | V | - | -4.82 | - |
6181 | - | S | - | -1.85 | - |
6182 | - | A | - | -1.65 | - |
6183 | - | S | - | 4.34 | - |
6184 | - | N | - | 0.4 | - |
6185 | - | T | - | 1.11 | - |
6186 | - | K | - | 1.07 | - |
6187 | - | L | - | -4.01 | - |
6188 | - | C | - | 3.03 | - |
6189 | - | L | - | -4.42 | - |
6190 | - | D | - | -2.82 | - |
6191 | - | G | - | -0.08 | - |
6192 | - | A | - | -0.81 | - |
6193 | - | A | - | 1.8 | - |
6194 | - | L | - | -0.0 | - |
6195 | - | D | - | 1.66 | - |
6196 | - | A | - | -0.71 | - |
6197 | - | L | - | -3.78 | - |
6198 | - | Q | - | -0.79 | - |
6199 | - | P | - | -4.75 | - |
6200 | - | C | - | 4.77 | - |
6201 | - | N | - | -1.58 | - |
6202 | - | Q | - | 0.95 | - |
6203 | - | N | - | -1.33 | - |
6204 | - | L | - | -2.26 | - |
6205 | - | T | - | 0.77 | - |
6206 | - | Q | - | -3.67 | - |
6207 | - | R | - | -3.42 | - |
6208 | - | W | - | -5.37 | - |
6209 | - | E | - | -0.83 | - |
6210 | - | W | - | -1.29 | - |
6211 | - | R | - | 3.07 | - |
6212 | - | K | - | 0.98 | - |
6213 | - | G | - | -0.55 | - |
6214 | - | T | - | -0.08 | - |
6215 | - | D | - | -1.45 | - |
6216 | - | E | - | -1.77 | - |
6217 | - | L | - | -4.39 | - |
6218 | - | T | - | -0.77 | - |
6219 | - | N | - | -0.73 | - |
6220 | - | V | - | -1.07 | - |
6221 | - | Y | - | 2.12 | - |
6222 | - | S | - | 1.78 | - |
6223 | - | G | - | -1.85 | - |
6224 | - | E | - | -0.3 | - |
6225 | - | S | - | -0.26 | - |
6226 | - | L | - | -3.63 | - |
6227 | - | G | - | -1.62 | - |
6228 | - | H | - | 2.22 | - |
6229 | - | D | - | -3.13 | - |
6230 | - | K | - | -2.06 | - |
6231 | - | Q | - | 0.25 | - |
6232 | - | T | - | 0.62 | - |
6233 | - | G | - | -2.3 | - |
6234 | - | E | - | 1.04 | - |
6235 | - | L | - | -4.68 | - |
6236 | - | G | - | -0.84 | - |
6237 | - | L | - | -3.14 | - |
6238 | - | Y | - | -1.54 | - |
6239 | - | A | - | 1.72 | - |
6240 | - | S | - | -1.06 | - |
6241 | - | S | - | -1.83 | - |
6242 | - | N | - | -1.23 | - |
6243 | - | D | - | 0.92 | - |
6244 | - | A | - | -0.58 | - |
6245 | - | V | - | -1.96 | - |
6246 | - | S | - | -0.21 | - |
6247 | - | L | - | -0.71 | - |
6248 | - | R | - | -1.51 | - |
6249 | - | T | - | 0.51 | - |
6250 | - | I | - | 0.32 | - |
6251 | - | T | - | 0.1 | - |
6252 | - | A | - | -0.71 | - |
6253 | - | Y | - | -1.29 | - |
6254 | - | T | - | -1.81 | - |
6255 | - | D | - | -1.71 | - |
6256 | - | V | - | 1.52 | - |
6257 | - | F | - | -2.93 | - |
6258 | - | N | - | 10.13 | - |
6259 | - | A | - | 0.66 | - |
6260 | - | Q | - | 0.42 | - |
6261 | - | E | - | 0.47 | - |
6262 | - | S | - | 6.36 | - |
6263 | - | S | - | 1.38 | - |
6264 | - | P | - | -1.83 | - |
6265 | - | I | - | 0.15 | - |
6266 | - | L | - | -3.39 | - |
6267 | - | G | - | -2.27 | - |
6268 | - | Y | - | 0.0 | - |
6269 | - | T | - | 1.44 | - |
6270 | - | Q | - | 1.4 | - |
6271 | - | G | - | -1.65 | - |
6272 | - | K | - | -0.01 | - |
6273 | - | M | - | 3.73 | - |
6274 | - | N | - | 1.35 | - |
6275 | - | Q | - | 0.89 | - |
6276 | - | Q | - | -1.28 | - |
6277 | - | R | - | 0.59 | - |
6278 | - | V | - | 0.05 | - |
6279 | - | G | - | 0.61 | - |
6280 | - | Q | - | 2.08 | - |
6281 | - | D | - | 0.9 | - |
6282 | - | N | - | 1.45 | - |
6283 | - | R | - | -0.26 | - |
6284 | - | L | - | -4.58 | - |
6285 | - | Y | - | -4.16 | - |
6286 | - | V | - | -2.34 | - |
6287 | - | R | - | 1.4 | - |
6288 | - | A | - | -1.87 | - |
6289 | - | G | - | 1.02 | - |
6290 | - | A | - | 1.46 | - |
6291 | - | A | - | -1.31 | - |
6292 | - | I | - | 1.31 | - |
6293 | - | D | - | 3.69 | - |
6294 | - | A | - | -3.59 | - |
6295 | - | L | - | -3.82 | - |
6296 | - | G | - | -3.2 | - |
6297 | - | S | - | 0.15 | - |
6298 | - | A | - | -0.83 | - |
6299 | - | S | - | -0.59 | - |
6300 | - | D | - | 2.38 | - |
6301 | - | L | - | 1.7 | - |
6302 | - | L | - | 1.21 | - |
6303 | - | V | - | 1.77 | - |
6304 | - | G | - | -2.31 | - |
6305 | - | G | - | 2.21 | - |
6306 | - | N | - | 12.38 | - |
6307 | - | G | - | 2.95 | - |
6308 | - | G | - | 1.95 | - |
6309 | - | S | - | 0.13 | - |
6310 | - | L | - | -1.11 | - |
6311 | - | S | - | -0.09 | - |
6312 | - | S | - | -0.94 | - |
6313 | - | V | - | -3.96 | - |
6314 | - | D | - | 1.75 | - |
6315 | - | L | - | -4.35 | - |
6316 | - | S | - | 3.24 | - |
6317 | - | G | - | -2.81 | - |
6318 | - | V | - | -3.2 | - |
6319 | - | K | - | -0.24 | - |
6320 | - | S | - | 1.09 | - |
6321 | - | I | - | -5.62 | - |
6322 | - | T | - | 0.0 | - |
6323 | - | A | - | -1.35 | - |
6324 | - | T | - | -3.1 | - |
6325 | - | S | - | -2.15 | - |
6326 | - | G | - | -2.39 | - |
6327 | - | D | - | -0.96 | - |
6328 | - | F | - | -0.2 | - |
6329 | - | Q | - | -0.26 | - |
6330 | - | Y | - | 1.49 | - |
6331 | - | G | - | -0.63 | - |
6332 | - | G | - | 0.22 | - |
6333 | - | Q | - | 0.24 | - |
6334 | - | Q | - | -0.3 | - |
6335 | - | L | - | -5.86 | - |
6336 | - | V | - | -1.85 | - |
6337 | - | A | - | -2.36 | - |
6338 | - | L | - | -5.91 | - |
6339 | - | T | - | 0.13 | - |
6340 | - | F | - | -4.15 | - |
6341 | - | T | - | -2.55 | - |
6342 | - | Y | - | -2.95 | - |
6343 | - | Q | - | 0.48 | - |
6344 | - | D | - | 2.31 | - |
6345 | - | G | - | -1.09 | - |
6346 | - | R | - | 1.04 | - |
6347 | - | Q | - | -0.17 | - |
6348 | - | Q | - | -0.52 | - |
6349 | - | T | - | 1.04 | - |
6350 | - | V | - | -2.09 | - |
6351 | - | G | - | -3.35 | - |
6352 | - | S | - | 0.31 | - |
6353 | - | K | - | 3.28 | - |
6354 | - | A | - | 1.25 | - |
6355 | - | Y | - | -1.72 | - |
6356 | - | V | - | -1.0 | - |
6357 | - | T | - | 0.12 | - |
6358 | - | N | - | -2.86 | - |
6359 | - | A | - | -0.71 | - |
6360 | - | H | - | 0.69 | - |
6361 | - | E | - | 1.05 | - |
6362 | - | D | - | -1.86 | - |
6363 | - | R | - | 1.07 | - |
6364 | - | F | - | -1.66 | - |
6365 | - | D | - | -0.98 | - |
6366 | - | L | - | -1.64 | - |
6367 | - | P | - | -3.29 | - |
6368 | - | D | - | 0.34 | - |
6369 | - | A | - | 2.38 | - |
6370 | - | A | - | -0.14 | - |
6371 | - | K | - | -0.59 | - |
6372 | - | I | - | -1.98 | - |
6373 | - | T | - | -0.73 | - |
6374 | - | Q | - | 8.09 | - |
6375 | - | L | - | -3.11 | - |
6376 | - | K | - | 0.6 | - |
6377 | - | I | - | -4.5 | - |
6378 | - | W | - | -5.22 | - |
6379 | - | A | - | -2.26 | - |
6380 | - | D | - | 0.62 | - |
6381 | - | D | - | 5.12 | - |
6382 | - | W | - | 3.57 | - |
6383 | - | L | - | -0.77 | - |
6384 | - | V | - | -2.79 | - |
6385 | - | K | - | 3.12 | - |
6386 | - | G | - | -2.96 | - |
6387 | - | V | - | -3.06 | - |
6388 | - | Q | - | -0.45 | - |
6389 | - | F | - | -4.76 | - |
6390 | - | D | - | 3.94 | - |
6391 | - | L | - | -2.42 | - |
6392 | - | N | - | 3.61 | - |
6393 | - | T | - | 8.37 | - |
6394 | - | N | - | 0.77 | - |
6395 | - | T | - | 1.06 | - |
6396 | - | L | - | 2.43 | - |
6397 | - | P | - | 22.43 | - |
6398 | - | H | - | 1.06 | - |
6399 | - | V | - | -1.14 | - |
6400 | - | A | - | -2.69 | - |
6401 | - | F | - | -4.6 | - |
6402 | - | Y | - | -2.43 | - |
6403 | - | I | - | -2.89 | - |
6404 | - | S | - | -1.93 | - |
6405 | - | V | - | -0.64 | - |
6406 | - | N | - | 0.64 | - |
6407 | - | R | - | 2.55 | - |
6408 | - | A | - | 0.89 | - |
6409 | - | I | - | -3.34 | - |
6410 | - | S | - | -0.97 | - |
6411 | - | D | - | 0.62 | - |
6412 | - | E | - | -0.31 | - |
6413 | - | E | - | -2.91 | - |
6414 | - | C | - | 15.7 | - |
6415 | - | T | - | -0.06 | - |
6416 | - | F | - | -2.68 | - |
6417 | - | N | - | -1.46 | - |
6418 | - | N | - | -1.58 | - |
6419 | - | S | - | -0.5 | - |
6420 | - | W | - | 0.54 | - |
6421 | - | L | - | -3.81 | - |
6422 | - | W | - | -0.1 | - |
6423 | - | K | - | 7.64 | - |
6424 | - | N | - | 3.14 | - |
6425 | - | E | - | 4.3 | - |
6426 | - | K | - | -0.49 | - |
6427 | - | G | - | -1.83 | - |
6428 | - | S | - | -0.91 | - |
6429 | - | R | - | 0.65 | - |
6430 | - | P | - | 0.31 | - |
6431 | - | F | - | -2.59 | - |
6432 | - | C | - | 15.87 | - |
6433 | - | K | - | 2.05 | - |
6434 | - | D | - | -1.86 | - |
6435 | - | A | - | -2.9 | - |
6436 | - | N | - | 0.68 | - |
6437 | - | I | - | -3.4 | - |
6438 | - | S | - | -0.2 | - |
6439 | - | L | - | -3.78 | - |
6440 | - | I | - | -0.67 | - |
6441 | - | Y | - | -6.1 | - |
6442 | - | R | - | -0.3 | - |
6443 | - | V | - | -4.72 | - |
6444 | - | N | - | 0.78 | - |
6445 | - | L | - | -3.0 | - |
6446 | - | E | - | 3.99 | - |
6447 | - | R | - | 0.91 | - |
6448 | - | S | - | -0.42 | - |
6449 | - | L | - | 0.32 | - |
6450 | - | Q | - | -1.07 | - |
6451 | - | Y | - | -1.0 | - |
6452 | - | G | - | -1.03 | - |
6453 | - | I | - | 6.4 | - |
6454 | - | V | - | 9.4 | - |
6455 | - | G | - | -1.99 | - |
6456 | - | S | - | 1.54 | - |
6457 | - | A | - | -0.42 | - |
6458 | - | T | - | -0.56 | - |
6459 | - | P | - | -3.8 | - |
6460 | - | D | - | -2.41 | - |
6461 | - | A | - | -2.29 | - |
6462 | - | K | - | -2.32 | - |
6463 | - | I | - | -3.08 | - |
6464 | - | V | - | -5.83 | - |
6465 | - | R | - | 0.94 | - |
6466 | - | I | - | -5.15 | - |
6467 | - | S | - | 1.44 | - |
6468 | - | L | - | -3.21 | - |
6469 | - | D | - | -2.36 | - |
6470 | - | D | - | 1.83 | - |
6471 | - | D | - | -0.72 | - |
6472 | - | S | - | 18.35 | - |
6473 | - | T | - | -0.44 | - |
6474 | - | G | - | -1.08 | - |
6475 | - | A | - | -2.69 | - |
6476 | - | G | - | -2.92 | - |
6477 | - | I | - | -4.2 | - |
6478 | - | H | - | -0.36 | - |
6479 | - | L | - | -5.0 | - |
6480 | - | N | - | 8.12 | - |
6481 | - | D | - | 2.64 | - |
6482 | - | Q | - | 0.84 | - |
6483 | - | L | - | -2.29 | - |
6484 | - | G | - | -2.39 | - |
6485 | - | Y | - | -2.72 | - |
6486 | - | R | - | 0.57 | - |
6487 | - | Q | - | 2.96 | - |
6488 | - | F | - | 1.18 | - |
6489 | - | G | - | -0.07 | - |
6490 | - | A | - | -0.1 | - |
6491 | - | S | - | 1.32 | - |
6492 | - | Y | - | 3.34 | - |
6493 | - | T | - | 12.91 | - |
6494 | - | T | - | 1.0 | - |
6495 | - | L | - | 2.48 | - |
6496 | - | D | - | 4.56 | - |
6497 | - | A | - | 0.08 | - |
6498 | - | Y | - | -2.4 | - |
6499 | - | F | - | 1.71 | - |
6500 | - | R | - | 8.5 | - |
6501 | - | E | - | -2.93 | - |
6502 | - | W | - | -1.99 | - |
6503 | - | S | - | 2.26 | - |
6504 | - | T | - | 1.55 | - |
6505 | - | D | - | -2.68 | - |
6506 | - | A | - | -3.24 | - |
6507 | - | I | - | -4.1 | - |
6508 | - | A | - | -2.82 | - |
6509 | - | Q | - | -1.32 | - |
6510 | - | D | - | -1.92 | - |
6511 | - | Y | - | -5.63 | - |
6512 | - | R | - | -0.07 | - |
6513 | - | F | - | -1.86 | - |
6514 | - | V | - | 0.36 | - |
6515 | - | F | - | -4.86 | - |
6516 | - | N | - | 5.65 | - |
6517 | - | A | - | -1.26 | - |
6518 | - | S | - | -1.01 | - |
6519 | - | N | - | -0.15 | - |
6520 | - | N | - | 0.89 | - |
6521 | - | K | - | -1.19 | - |
6522 | - | A | - | -1.62 | - |
6523 | - | Q | - | -1.79 | - |
6524 | - | I | - | -0.78 | - |
6525 | - | L | - | 3.75 | - |
6526 | - | K | - | 8.25 | - |
6527 | - | T | - | -2.73 | - |
6528 | - | F | - | 4.02 | - |
6529 | - | P | - | -3.39 | - |
6530 | - | V | - | 6.2 | - |
6531 | - | D | - | 0.31 | - |
6532 | - | N | - | -3.55 | - |
6533 | - | I | - | 15.04 | - |
6534 | - | N | - | -2.98 | - |
6535 | - | E | - | 0.82 | - |
6536 | - | K | - | -0.75 | - |
6537 | - | F | - | -3.76 | - |
6538 | - | E | - | -1.04 | - |
6539 | - | R | - | 14.54 | - |
6540 | - | K | - | 16.0 | - |
6541 | - | E | - | -0.54 | - |
6542 | - | V | - | -0.09 | - |
6543 | - | S | - | -1.11 | - |
6544 | - | G | - | -1.87 | - |
6545 | - | F | - | -0.09 | - |
6546 | - | E | - | 0.24 | - |
6547 | - | L | - | 3.49 | - |
6548 | - | G | - | 1.43 | - |
6549 | - | V | - | 1.27 | - |
6550 | - | T | - | -1.3 | - |
6551 | - | G | - | 1.15 | - |
6552 | - | G | - | 1.93 | - |
6553 | - | V | - | 8.34 | - |
6554 | - | E | - | -0.99 | - |
6555 | - | V | - | 3.76 | - |
6556 | - | S | - | 1.98 | - |
6557 | - | G | - | 2.57 | - |
6558 | - | D | - | -0.49 | - |
6559 | - | G | - | 6.65 | - |
6560 | - | P | - | 7.69 | - |
6561 | - | K | - | 36.36 | - |
6562 | - | A | - | 0.19 | - |
6563 | - | K | - | 2.75 | - |
6564 | - | L | - | 0.86 | - |
6565 | - | E | - | 0.18 | - |
6566 | - | A | - | -0.55 | - |
6567 | - | R | - | 2.9 | - |
6568 | - | A | - | 0.59 | - |
6569 | - | S | - | 1.69 | - |
6570 | - | Y | - | 2.03 | - |
6571 | - | T | - | 4.8 | - |
6572 | - | Q | - | 4.29 | - |
6573 | - | S | - | 2.13 | - |
6574 | - | R | - | 0.5 | - |
6575 | - | W | - | 14.21 | - |
6576 | - | L | - | -2.42 | - |
6577 | - | T | - | 1.3 | - |
6578 | - | Y | - | -1.34 | - |
6579 | - | N | - | 0.43 | - |
6580 | - | T | - | -2.32 | - |
6581 | - | Q | - | -1.67 | - |
6582 | - | D | - | 3.62 | - |
6583 | - | Y | - | -6.35 | - |
6584 | - | R | - | -1.8 | - |
6585 | - | I | - | -0.6 | - |
6586 | - | E | - | -2.27 | - |
6587 | - | R | - | -4.51 | - |
6588 | - | N | - | 0.29 | - |
6589 | - | A | - | 0.14 | - |
6590 | - | K | - | 5.2 | - |
6591 | - | N | - | -0.81 | - |
6592 | - | A | - | -1.57 | - |
6593 | - | Q | - | -2.01 | - |
6594 | - | A | - | -1.42 | - |
6595 | - | V | - | -1.96 | - |
6596 | - | S | - | -0.27 | - |
6597 | - | F | - | -4.58 | - |
6598 | - | T | - | -1.36 | - |
6599 | - | W | - | 0.18 | - |
6600 | - | N | - | 0.66 | - |
6601 | - | R | - | -3.45 | - |
6602 | - | Q | - | 0.98 | - |
6603 | - | Q | - | 13.13 | - |
6604 | - | Y | - | 1.32 | - |
6605 | - | A | - | -0.27 | - |
6606 | - | T | - | -0.14 | - |
6607 | - | A | - | -3.05 | - |
6608 | - | E | - | 3.75 | - |
6609 | - | S | - | -0.01 | - |
6610 | - | L | - | -3.13 | - |
6611 | - | L | - | -1.34 | - |
6612 | - | N | - | 0.71 | - |
6613 | - | R | - | 1.43 | - |
6614 | - | S | - | 0.81 | - |
6615 | - | T | - | 2.77 | - |
6616 | - | D | - | 0.71 | - |
6617 | - | A | - | 0.01 | - |
6618 | - | L | - | 12.06 | - |
6619 | - | W | - | 4.15 | - |
6620 | - | V | - | 1.16 | - |
6621 | - | N | - | 4.4 | - |
6622 | - | T | - | 0.3 | - |
6623 | - | Y | - | 3.21 | - |
6624 | - | P | - | 40.75 | - |
6625 | - | V | - | -1.88 | - |
6626 | - | D | - | -1.8 | - |
6627 | - | V | - | 2.05 | - |
6628 | - | N | - | 0.35 | - |
6629 | - | R | - | -0.07 | - |
6630 | - | I | - | -1.4 | - |
6631 | - | S | - | 4.25 | - |
6632 | - | P | - | -3.67 | - |
6633 | - | L | - | 0.08 | - |
6634 | - | S | - | -0.4 | - |
6635 | - | Y | - | -4.61 | - |
6636 | - | A | - | 0.69 | - |
6637 | - | S | - | 1.19 | - |
6638 | - | F | - | -3.77 | - |
6639 | - | V | - | 2.26 | - |
6640 | - | P | - | 27.01 | - |
6641 | - | K | - | 5.48 | - |
6642 | - | M | - | 11.03 | - |
6643 | - | D | - | 3.71 | - |
6644 | - | V | - | -5.24 | - |
6645 | - | I | - | 6.44 | - |
6646 | - | Y | - | -5.23 | - |
6647 | - | K | - | 21.66 | - |
6648 | - | A | - | -2.3 | - |
6649 | - | S | - | 2.6 | - |
6650 | - | A | - | -1.0 | - |
6651 | - | T | - | 2.13 | - |
6652 | - | E | - | 1.02 | - |
6653 | - | T | - | 0.64 | - |
6654 | - | G | - | -1.44 | - |
6655 | - | S | - | 0.19 | - |
6656 | - | T | - | -2.13 | - |
6657 | - | D | - | 2.66 | - |
6658 | - | F | - | -5.23 | - |
6659 | - | I | - | -2.9 | - |
6660 | - | I | - | -4.23 | - |
6661 | - | D | - | 3.63 | - |
6662 | - | S | - | 4.2 | - |
6663 | - | S | - | -2.37 | - |
6664 | - | V | - | -3.84 | - |
6665 | - | N | - | -2.99 | - |
6666 | - | I | - | -4.41 | - |
6667 | - | R | - | 6.37 | - |
6668 | - | P | - | -3.73 | - |
6669 | - | I | - | -1.0 | - |
6670 | - | Y | - | -2.31 | - |
6671 | - | N | - | 0.36 | - |
6672 | - | G | - | -0.3 | - |
6673 | - | A | - | -2.52 | - |
6674 | - | Y | - | -1.69 | - |
6675 | - | K | - | 0.2 | - |
6676 | - | H | - | 0.93 | - |
6677 | - | Y | - | 0.18 | - |
6678 | - | Y | - | 8.72 | - |
6679 | - | V | - | 3.49 | - |
6680 | - | V | - | 3.86 | - |
6681 | - | G | - | 0.89 | - |
6682 | - | A | - | -0.02 | - |
6683 | - | H | - | 1.21 | - |
6684 | - | Q | - | 0.33 | - |
6685 | - | S | - | 1.45 | - |
6686 | - | Y | - | -4.65 | - |
6687 | - | H | - | -0.05 | - |
6688 | - | G | - | 1.33 | - |
6689 | - | F | - | 1.49 | - |
6690 | - | E | - | 1.69 | - |
6691 | - | D | - | 0.72 | - |
6692 | - | T | - | 2.67 | - |
6693 | - | P | - | -2.64 | - |
6694 | - | R | - | 7.76 | - |
6695 | - | R | - | 0.21 | - |
6696 | - | R | - | 1.08 | - |
6697 | - | I | - | -1.9 | - |
6698 | - | T | - | -0.76 | - |
6699 | - | K | - | 0.69 | - |
6700 | - | S | - | 0.26 | - |
6701 | - | A | - | -2.07 | - |
6702 | - | S | - | 6.63 | - |
6703 | - | F | - | -5.59 | - |
6704 | - | T | - | 0.07 | - |
6705 | - | V | - | -4.65 | - |
6706 | - | D | - | 4.38 | - |
6707 | - | W | - | -5.39 | - |
6708 | - | D | - | 0.73 | - |
6709 | - | H | - | -1.07 | - |
6710 | - | P | - | -2.34 | - |
6711 | - | V | - | -2.51 | - |
6712 | - | F | - | -1.78 | - |
6713 | - | T | - | -2.36 | - |
6714 | - | G | - | -3.42 | - |
6715 | - | G | - | -0.52 | - |
6716 | - | R | - | 7.08 | - |
6717 | - | P | - | 2.37 | - |
6718 | - | V | - | -2.91 | - |
6719 | - | N | - | 0.04 | - |
6720 | - | L | - | -3.92 | - |
6721 | - | Q | - | -3.25 | - |
6722 | - | L | - | -0.0 | - |
6723 | - | A | - | -0.0 | - |
6724 | - | S | - | 2.96 | - |
6725 | - | F | - | 1.78 | - |
6726 | - | N | - | 1.11 | - |
6727 | - | N | - | -1.33 | - |
6728 | - | R | - | 4.11 | - |
6729 | - | C | - | -0.5 | - |
6730 | - | I | - | -4.36 | - |
6731 | - | Q | - | -3.09 | - |
6732 | - | V | - | 0.19 | - |
6733 | - | D | - | -1.38 | - |
6734 | - | A | - | 1.13 | - |
6735 | - | Q | - | 1.47 | - |
6736 | - | G | - | -2.93 | - |
6737 | - | R | - | -0.85 | - |
6738 | - | L | - | -4.57 | - |
6739 | - | T | - | -0.08 | - |
6740 | - | A | - | -0.18 | - |
6741 | - | N | - | 3.24 | - |
6742 | - | M | - | 6.46 | - |
6743 | - | C | - | 1.61 | - |
6744 | - | D | - | -1.88 | - |
6745 | - | S | - | -0.48 | - |
6746 | - | Q | - | 0.56 | - |
6747 | - | Q | - | 1.53 | - |
6748 | - | S | - | -1.08 | - |
6749 | - | A | - | -1.93 | - |
6750 | - | Q | - | -5.41 | - |
6751 | - | S | - | -1.32 | - |
6752 | - | F | - | -5.26 | - |
6753 | - | I | - | -4.74 | - |
6754 | - | Y | - | 0.75 | - |
6755 | - | D | - | -4.69 | - |
6756 | - | Q | - | 2.55 | - |
6757 | - | L | - | -1.54 | - |
6758 | - | G | - | -3.3 | - |
6759 | - | R | - | -2.94 | - |
6760 | - | Y | - | -4.23 | - |
6761 | - | V | - | -5.06 | - |
6762 | - | S | - | -1.92 | - |
6763 | - | A | - | -1.73 | - |
6764 | - | S | - | 3.98 | - |
6765 | - | N | - | 0.13 | - |
6766 | - | T | - | 0.87 | - |
6767 | - | K | - | 0.64 | - |
6768 | - | L | - | -4.03 | - |
6769 | - | C | - | 3.39 | - |
6770 | - | L | - | -4.45 | - |
6771 | - | D | - | -2.44 | - |
6772 | - | G | - | 0.04 | - |
6773 | - | A | - | -0.9 | - |
6774 | - | A | - | 1.92 | - |
6775 | - | L | - | -0.31 | - |
6776 | - | D | - | 1.63 | - |
6777 | - | A | - | -0.78 | - |
6778 | - | L | - | -3.72 | - |
6779 | - | Q | - | -1.01 | - |
6780 | - | P | - | -5.15 | - |
6781 | - | C | - | 5.04 | - |
6782 | - | N | - | -1.43 | - |
6783 | - | Q | - | 1.23 | - |
6784 | - | N | - | -2.41 | - |
6785 | - | L | - | -3.24 | - |
6786 | - | T | - | 1.16 | - |
6787 | - | Q | - | -3.55 | - |
6788 | - | R | - | -3.45 | - |
6789 | - | W | - | -5.25 | - |
6790 | - | E | - | -0.87 | - |
6791 | - | W | - | -2.22 | - |
6792 | - | R | - | 2.94 | - |
6793 | - | K | - | 1.09 | - |
6794 | - | G | - | -0.74 | - |
6795 | - | T | - | -0.31 | - |
6796 | - | D | - | -1.25 | - |
6797 | - | E | - | -2.01 | - |
6798 | - | L | - | -4.55 | - |
6799 | - | T | - | -0.48 | - |
6800 | - | N | - | -1.02 | - |
6801 | - | V | - | -1.39 | - |
6802 | - | Y | - | 1.73 | - |
6803 | - | S | - | 1.71 | - |
6804 | - | G | - | -1.67 | - |
6805 | - | E | - | -0.18 | - |
6806 | - | S | - | -0.95 | - |
6807 | - | L | - | -3.46 | - |
6808 | - | G | - | -1.32 | - |
6809 | - | H | - | 1.83 | - |
6810 | - | D | - | -3.43 | - |
6811 | - | K | - | -2.07 | - |
6812 | - | Q | - | 0.65 | - |
6813 | - | T | - | 0.38 | - |
6814 | - | G | - | -2.33 | - |
6815 | - | E | - | 1.21 | - |
6816 | - | L | - | -4.46 | - |
6817 | - | G | - | -0.8 | - |
6818 | - | L | - | -3.07 | - |
6819 | - | Y | - | -2.15 | - |
6820 | - | A | - | 1.83 | - |
6821 | - | S | - | -1.17 | - |
6822 | - | S | - | -1.68 | - |
6823 | - | N | - | -1.13 | - |
6824 | - | D | - | 0.71 | - |
6825 | - | A | - | -0.73 | - |
6826 | - | V | - | -1.96 | - |
6827 | - | S | - | -0.39 | - |
6828 | - | L | - | -0.64 | - |
6829 | - | R | - | -1.77 | - |
6830 | - | T | - | 2.35 | - |
6831 | - | I | - | 1.42 | - |
6832 | - | T | - | -0.01 | - |
6833 | - | A | - | -0.84 | - |
6834 | - | Y | - | -1.52 | - |
6835 | - | T | - | -1.81 | - |
6836 | - | D | - | -1.71 | - |
6837 | - | V | - | 2.01 | - |
6838 | - | F | - | -2.69 | - |
6839 | - | N | - | 10.98 | - |
6840 | - | A | - | 0.53 | - |
6841 | - | Q | - | 1.21 | - |
6842 | - | E | - | 5.72 | - |
6843 | - | S | - | 6.65 | - |
6844 | - | S | - | 10.61 | - |
6845 | - | P | - | -2.31 | - |
6846 | - | I | - | 0.51 | - |
6847 | - | L | - | -2.41 | - |
6848 | - | G | - | -2.38 | - |
6849 | - | Y | - | 1.25 | - |
6850 | - | T | - | 1.65 | - |
6851 | - | Q | - | 1.82 | - |
6852 | - | G | - | -1.37 | - |
6853 | - | K | - | -0.1 | - |
6854 | - | M | - | 8.44 | - |
6855 | - | N | - | 1.24 | - |
6856 | - | Q | - | 4.83 | - |
6857 | - | Q | - | -0.37 | - |
6858 | - | R | - | 13.02 | - |
6859 | - | V | - | -3.11 | - |
6860 | - | G | - | -0.08 | - |
6861 | - | Q | - | 2.63 | - |
6862 | - | D | - | 2.31 | - |
6863 | - | N | - | -1.64 | - |
6864 | - | R | - | 6.84 | - |
6865 | - | L | - | 0.62 | - |
6866 | - | Y | - | -1.51 | - |
6867 | - | V | - | 1.54 | - |
6868 | - | R | - | 4.27 | - |
6869 | - | A | - | -2.06 | - |
6870 | - | G | - | 1.31 | - |
6871 | - | A | - | 0.56 | - |
6872 | - | A | - | -1.4 | - |
6873 | - | I | - | 1.66 | - |
6874 | - | D | - | 0.69 | - |
6875 | - | A | - | -3.73 | - |
6876 | - | L | - | -4.56 | - |
6877 | - | G | - | -2.39 | - |
6878 | - | S | - | -0.09 | - |
6879 | - | A | - | 0.41 | - |
6880 | - | S | - | 1.53 | - |
6881 | - | D | - | 1.67 | - |
6882 | - | L | - | 1.8 | - |
6883 | - | L | - | -3.9 | - |
6884 | - | V | - | 2.14 | - |
6885 | - | G | - | -2.43 | - |
6886 | - | G | - | 0.31 | - |
6887 | - | N | - | 11.53 | - |
6888 | - | G | - | 6.01 | - |
6889 | - | G | - | 1.28 | - |
6890 | - | S | - | 0.01 | - |
6891 | - | L | - | 1.68 | - |
6892 | - | S | - | 1.25 | - |
6893 | - | S | - | -0.8 | - |
6894 | - | V | - | 1.21 | - |
6895 | - | D | - | 2.61 | - |
6896 | - | L | - | -3.56 | - |
6897 | - | S | - | 2.71 | - |
6898 | - | G | - | -0.32 | - |
6899 | - | V | - | -3.84 | - |
6900 | - | K | - | -2.01 | - |
6901 | - | S | - | -0.95 | - |
6902 | - | I | - | -5.58 | - |
6903 | - | T | - | 3.59 | - |
6904 | - | A | - | 0.84 | - |
6905 | - | T | - | -3.33 | - |
6906 | - | S | - | 1.22 | - |
6907 | - | G | - | -3.13 | - |
6908 | - | D | - | -0.96 | - |
6909 | - | F | - | -0.23 | - |
6910 | - | Q | - | 0.96 | - |
6911 | - | Y | - | 2.58 | - |
6912 | - | G | - | -0.54 | - |
6913 | - | G | - | -0.49 | - |
6914 | - | Q | - | 3.24 | - |
6915 | - | Q | - | 2.33 | - |
6916 | - | L | - | -4.79 | - |
6917 | - | V | - | -2.77 | - |
6918 | - | A | - | -2.55 | - |
6919 | - | L | - | -3.09 | - |
6920 | - | T | - | 0.35 | - |
6921 | - | F | - | -5.22 | - |
6922 | - | T | - | 0.21 | - |
6923 | - | Y | - | -2.22 | - |
6924 | - | Q | - | 3.64 | - |
6925 | - | D | - | 3.25 | - |
6926 | - | G | - | -0.36 | - |
6927 | - | R | - | 4.83 | - |
6928 | - | Q | - | -0.22 | - |
6929 | - | Q | - | 2.75 | - |
6930 | - | T | - | 3.1 | - |
6931 | - | V | - | 0.77 | - |
6932 | - | G | - | -3.34 | - |
6933 | - | S | - | 1.3 | - |
6934 | - | K | - | 6.45 | - |
6935 | - | A | - | 1.35 | - |
6936 | - | Y | - | 2.64 | - |
6937 | - | V | - | 0.11 | - |
6938 | - | T | - | 0.9 | - |
6939 | - | N | - | -2.03 | - |
6940 | - | A | - | 0.12 | - |
6941 | - | H | - | 0.64 | - |
6942 | - | E | - | 1.2 | - |
6943 | - | D | - | -1.69 | - |
6944 | - | R | - | 1.84 | - |
6945 | - | F | - | -0.76 | - |
6946 | - | D | - | -0.32 | - |
6947 | - | L | - | -2.23 | - |
6948 | - | P | - | -1.97 | - |
6949 | - | D | - | 0.9 | - |
6950 | - | A | - | 2.38 | - |
6951 | - | A | - | -0.7 | - |
6952 | - | K | - | 0.33 | - |
6953 | - | I | - | -3.69 | - |
6954 | - | T | - | -1.39 | - |
6955 | - | Q | - | 8.35 | - |
6956 | - | L | - | -2.01 | - |
6957 | - | K | - | 7.89 | - |
6958 | - | I | - | -0.81 | - |
6959 | - | W | - | -4.78 | - |
6960 | - | A | - | -0.34 | - |
6961 | - | D | - | -0.87 | - |
6962 | - | D | - | 2.03 | - |
6963 | - | W | - | 3.64 | - |
6964 | - | L | - | -2.01 | - |
6965 | - | V | - | -3.06 | - |
6966 | - | K | - | -0.1 | - |
6967 | - | G | - | -2.36 | - |
6968 | - | V | - | -3.23 | - |
6969 | - | Q | - | -2.59 | - |
6970 | - | F | - | -4.79 | - |
6971 | - | D | - | 10.5 | - |
6972 | - | L | - | 0.15 | - |
6973 | - | N | - | 16.01 | - |
6974 | - | T | - | 8.52 | - |
6975 | - | N | - | 0.82 | - |
6976 | - | T | - | 0.99 | - |
6977 | - | L | - | 2.2 | - |
6978 | - | P | - | 24.19 | - |
6979 | - | H | - | 0.71 | - |
6980 | - | V | - | 0.38 | - |
6981 | - | A | - | -2.97 | - |
6982 | - | F | - | -4.39 | - |
6983 | - | Y | - | -2.49 | - |
6984 | - | I | - | -2.44 | - |
6985 | - | S | - | -2.01 | - |
6986 | - | V | - | -0.89 | - |
6987 | - | N | - | 0.49 | - |
6988 | - | R | - | 1.62 | - |
6989 | - | A | - | 0.93 | - |
6990 | - | I | - | -2.88 | - |
6991 | - | S | - | -1.13 | - |
6992 | - | D | - | 0.64 | - |
6993 | - | E | - | 1.42 | - |
6994 | - | E | - | -4.11 | - |
6995 | - | C | - | 33.08 | - |
6996 | - | T | - | 1.12 | - |
6997 | - | F | - | -2.66 | - |
6998 | - | N | - | -1.49 | - |
6999 | - | N | - | -1.16 | - |
7000 | - | S | - | -0.86 | - |
7001 | - | W | - | 0.34 | - |
7002 | - | L | - | -3.97 | - |
7003 | - | W | - | -0.59 | - |
7004 | - | K | - | 7.02 | - |
7005 | - | N | - | 3.8 | - |
7006 | - | E | - | 0.57 | - |
7007 | - | K | - | -2.39 | - |
7008 | - | G | - | -1.78 | - |
7009 | - | S | - | -0.64 | - |
7010 | - | R | - | 1.12 | - |
7011 | - | P | - | 0.71 | - |
7012 | - | F | - | -2.51 | - |
7013 | - | C | - | 16.61 | - |
7014 | - | K | - | 10.19 | - |
7015 | - | D | - | -0.55 | - |
7016 | - | A | - | -2.08 | - |
7017 | - | N | - | 0.51 | - |
7018 | - | I | - | -3.1 | - |
7019 | - | S | - | -0.5 | - |
7020 | - | L | - | -3.96 | - |
7021 | - | I | - | -1.75 | - |
7022 | - | Y | - | -5.95 | - |
7023 | - | R | - | -0.64 | - |
7024 | - | V | - | -4.8 | - |
7025 | - | N | - | 0.97 | - |
7026 | - | L | - | -1.59 | - |
7027 | - | E | - | 4.75 | - |
7028 | - | R | - | -0.42 | - |
7029 | - | S | - | -0.84 | - |
7030 | - | L | - | -0.11 | - |
7031 | - | Q | - | -0.97 | - |
7032 | - | Y | - | -0.34 | - |
7033 | - | G | - | -0.76 | - |
7034 | - | I | - | 5.79 | - |
7035 | - | V | - | 8.53 | - |
7036 | - | G | - | -2.58 | - |
7037 | - | S | - | 1.18 | - |
7038 | - | A | - | -0.27 | - |
7039 | - | T | - | -0.58 | - |
7040 | - | P | - | -4.27 | - |
7041 | - | D | - | -2.75 | - |
7042 | - | A | - | -2.44 | - |
7043 | - | K | - | -2.64 | - |
7044 | - | I | - | -2.97 | - |
7045 | - | V | - | -5.34 | - |
7046 | - | R | - | 0.97 | - |
7047 | - | I | - | -5.07 | - |
7048 | - | S | - | 1.83 | - |
7049 | - | L | - | -3.19 | - |
7050 | - | D | - | -2.43 | - |
7051 | - | D | - | 2.14 | - |
7052 | - | D | - | -0.89 | - |
7053 | - | S | - | 17.28 | - |
7054 | - | T | - | -0.15 | - |
7055 | - | G | - | -1.46 | - |
7056 | - | A | - | -2.46 | - |
7057 | - | G | - | -2.9 | - |
7058 | - | I | - | -4.15 | - |
7059 | - | H | - | -0.54 | - |
7060 | - | L | - | -4.81 | - |
7061 | - | N | - | 8.91 | - |
7062 | - | D | - | 2.04 | - |
7063 | - | Q | - | 5.5 | - |
7064 | - | L | - | -3.05 | - |
7065 | - | G | - | -2.22 | - |
7066 | - | Y | - | -2.48 | - |
7067 | - | R | - | 0.52 | - |
7068 | - | Q | - | 2.8 | - |
7069 | - | F | - | 1.34 | - |
7070 | - | G | - | 0.01 | - |
7071 | - | A | - | -0.76 | - |
7072 | - | S | - | 1.33 | - |
7073 | - | Y | - | 2.74 | - |
7074 | - | T | - | 11.69 | - |
7075 | - | T | - | 3.17 | - |
7076 | - | L | - | 2.58 | - |
7077 | - | D | - | 5.55 | - |
7078 | - | A | - | 0.37 | - |
7079 | - | Y | - | -2.19 | - |
7080 | - | F | - | 1.68 | - |
7081 | - | R | - | 7.14 | - |
7082 | - | E | - | -2.92 | - |
7083 | - | W | - | -1.79 | - |
7084 | - | S | - | 2.16 | - |
7085 | - | T | - | 1.75 | - |
7086 | - | D | - | -2.59 | - |
7087 | - | A | - | -3.3 | - |
7088 | - | I | - | -3.92 | - |
7089 | - | A | - | -2.57 | - |
7090 | - | Q | - | -0.71 | - |
7091 | - | D | - | -2.17 | - |
7092 | - | Y | - | -5.31 | - |
7093 | - | R | - | 0.02 | - |
7094 | - | F | - | -1.93 | - |
7095 | - | V | - | 0.12 | - |
7096 | - | F | - | -5.04 | - |
7097 | - | N | - | 4.41 | - |
7098 | - | A | - | -1.32 | - |
7099 | - | S | - | -0.32 | - |
7100 | - | N | - | -0.02 | - |
7101 | - | N | - | 1.0 | - |
7102 | - | K | - | -1.05 | - |
7103 | - | A | - | -1.93 | - |
7104 | - | Q | - | -2.21 | - |
7105 | - | I | - | -2.87 | - |
7106 | - | L | - | -0.41 | - |
7107 | - | K | - | 7.8 | - |
7108 | - | T | - | -2.94 | - |
7109 | - | F | - | 4.47 | - |
7110 | - | P | - | -2.46 | - |
7111 | - | V | - | 7.39 | - |
7112 | - | D | - | 0.21 | - |
7113 | - | N | - | -2.94 | - |
7114 | - | I | - | 13.92 | - |
7115 | - | N | - | -2.54 | - |
7116 | - | E | - | 1.36 | - |
7117 | - | K | - | -0.75 | - |
7118 | - | F | - | -3.43 | - |
7119 | - | E | - | -0.35 | - |
7120 | - | R | - | 14.43 | - |
7121 | - | K | - | 16.35 | - |
7122 | - | E | - | -0.41 | - |
7123 | - | V | - | -0.13 | - |
7124 | - | S | - | -0.83 | - |
7125 | - | G | - | -1.13 | - |
7126 | - | F | - | -0.97 | - |
7127 | - | E | - | 1.08 | - |
7128 | - | L | - | 4.01 | - |
7129 | - | G | - | 1.93 | - |
7130 | - | V | - | 1.0 | - |
7131 | - | T | - | 0.11 | - |
7132 | - | G | - | 1.95 | - |
7133 | - | G | - | 2.18 | - |
7134 | - | V | - | 8.44 | - |
7135 | - | E | - | -1.16 | - |
7136 | - | V | - | 3.92 | - |
7137 | - | S | - | -0.45 | - |
7138 | - | G | - | 2.45 | - |
7139 | - | D | - | -0.5 | - |
7140 | - | G | - | 6.99 | - |
7141 | - | P | - | 7.94 | - |
7142 | - | K | - | 1.96 | - |
7143 | - | A | - | -0.7 | - |
7144 | - | K | - | 0.05 | - |
7145 | - | L | - | 0.63 | - |
7146 | - | E | - | -0.59 | - |
7147 | - | A | - | -0.9 | - |
7148 | - | R | - | 3.01 | - |
7149 | - | A | - | 0.21 | - |
7150 | - | S | - | 1.64 | - |
7151 | - | Y | - | 1.53 | - |
7152 | - | T | - | 4.87 | - |
7153 | - | Q | - | 4.19 | - |
7154 | - | S | - | 3.16 | - |
7155 | - | R | - | 0.33 | - |
7156 | - | W | - | 13.46 | - |
7157 | - | L | - | -2.56 | - |
7158 | - | T | - | 1.49 | - |
7159 | - | Y | - | -2.01 | - |
7160 | - | N | - | 0.69 | - |
7161 | - | T | - | -2.15 | - |
7162 | - | Q | - | -1.84 | - |
7163 | - | D | - | 3.34 | - |
7164 | - | Y | - | -6.64 | - |
7165 | - | R | - | -1.34 | - |
7166 | - | I | - | -0.56 | - |
7167 | - | E | - | -1.3 | - |
7168 | - | R | - | -3.29 | - |
7169 | - | N | - | 0.1 | - |
7170 | - | A | - | 0.59 | - |
7171 | - | K | - | -0.6 | - |
7172 | - | N | - | -0.63 | - |
7173 | - | A | - | -1.7 | - |
7174 | - | Q | - | -2.21 | - |
7175 | - | A | - | -1.66 | - |
7176 | - | V | - | -1.78 | - |
7177 | - | S | - | -0.11 | - |
7178 | - | F | - | -4.68 | - |
7179 | - | T | - | -0.45 | - |
7180 | - | W | - | 0.14 | - |
7181 | - | N | - | 0.71 | - |
7182 | - | R | - | -3.93 | - |
7183 | - | Q | - | 1.2 | - |
7184 | - | Q | - | 12.22 | - |
7185 | - | Y | - | 0.51 | - |
7186 | - | A | - | -0.16 | - |
7187 | - | T | - | -0.31 | - |
7188 | - | A | - | -2.87 | - |
7189 | - | E | - | 3.75 | - |
7190 | - | S | - | -1.2 | - |
7191 | - | L | - | -3.81 | - |
7192 | - | L | - | -1.79 | - |
7193 | - | N | - | 0.67 | - |
7194 | - | R | - | 1.48 | - |
7195 | - | S | - | 0.87 | - |
7196 | - | T | - | 3.0 | - |
7197 | - | D | - | 0.62 | - |
7198 | - | A | - | -0.47 | - |
7199 | - | L | - | 10.78 | - |
7200 | - | W | - | 4.27 | - |
7201 | - | V | - | 0.31 | - |
7202 | - | N | - | 4.51 | - |
7203 | - | T | - | 0.22 | - |
7204 | - | Y | - | 4.12 | - |
7205 | - | P | - | 40.06 | - |
7206 | - | V | - | -1.85 | - |
7207 | - | D | - | -2.08 | - |
7208 | - | V | - | 1.84 | - |
7209 | - | N | - | 0.76 | - |
7210 | - | R | - | 0.82 | - |
7211 | - | I | - | -1.32 | - |
7212 | - | S | - | 4.16 | - |
7213 | - | P | - | -3.63 | - |
7214 | - | L | - | 0.11 | - |
7215 | - | S | - | -0.45 | - |
7216 | - | Y | - | -4.59 | - |
7217 | - | A | - | 0.75 | - |
7218 | - | S | - | 0.98 | - |
7219 | - | F | - | -3.61 | - |
7220 | - | V | - | 1.93 | - |
7221 | - | P | - | 26.66 | - |
7222 | - | K | - | 6.13 | - |
7223 | - | M | - | 14.52 | - |
7224 | - | D | - | 3.55 | - |
7225 | - | V | - | -5.08 | - |
7226 | - | I | - | 6.51 | - |
7227 | - | Y | - | -5.73 | - |
7228 | - | K | - | 10.3 | - |
7229 | - | A | - | -2.34 | - |
7230 | - | S | - | 3.76 | - |
7231 | - | A | - | -1.02 | - |
7232 | - | T | - | 2.11 | - |
7233 | - | E | - | 1.04 | - |
7234 | - | T | - | 0.64 | - |
7235 | - | G | - | -1.7 | - |
7236 | - | S | - | 0.27 | - |
7237 | - | T | - | -2.01 | - |
7238 | - | D | - | 2.5 | - |
7239 | - | F | - | -5.41 | - |
7240 | - | I | - | -2.94 | - |
7241 | - | I | - | -3.04 | - |
7242 | - | D | - | 3.9 | - |
7243 | - | S | - | 2.64 | - |
7244 | - | S | - | -2.45 | - |
7245 | - | V | - | -3.78 | - |
7246 | - | N | - | -2.58 | - |
7247 | - | I | - | -5.34 | - |
7248 | - | R | - | 7.7 | - |
7249 | - | P | - | -2.34 | - |
7250 | - | I | - | -1.63 | - |
7251 | - | Y | - | -2.32 | - |
7252 | - | N | - | 0.45 | - |
7253 | - | G | - | -0.06 | - |
7254 | - | A | - | -2.32 | - |
7255 | - | Y | - | -1.69 | - |
7256 | - | K | - | -0.11 | - |
7257 | - | H | - | 1.02 | - |
7258 | - | Y | - | -0.62 | - |
7259 | - | Y | - | 8.3 | - |
7260 | - | V | - | 9.81 | - |
7261 | - | V | - | 4.26 | - |
7262 | - | G | - | 0.93 | - |
7263 | - | A | - | 0.19 | - |
7264 | - | H | - | 0.95 | - |
7265 | - | Q | - | 0.51 | - |
7266 | - | S | - | 1.88 | - |
7267 | - | Y | - | -4.31 | - |
7268 | - | H | - | 0.4 | - |
7269 | - | G | - | 1.31 | - |
7270 | - | F | - | 2.04 | - |
7271 | - | E | - | 0.92 | - |
7272 | - | D | - | 0.56 | - |
7273 | - | T | - | 2.57 | - |
7274 | - | P | - | -2.7 | - |
7275 | - | R | - | 8.58 | - |
7276 | - | R | - | 0.02 | - |
7277 | - | R | - | 0.73 | - |
7278 | - | I | - | -0.98 | - |
7279 | - | T | - | -0.57 | - |
7280 | - | K | - | 0.74 | - |
7281 | - | S | - | 0.19 | - |
7282 | - | A | - | -2.09 | - |
7283 | - | S | - | 9.6 | - |
7284 | - | F | - | -5.39 | - |
7285 | - | T | - | 0.36 | - |
7286 | - | V | - | -5.04 | - |
7287 | - | D | - | 3.02 | - |
7288 | - | W | - | -5.8 | - |
7289 | - | D | - | 0.24 | - |
7290 | - | H | - | -1.2 | - |
7291 | - | P | - | -2.01 | - |
7292 | - | V | - | -2.21 | - |
7293 | - | F | - | -2.33 | - |
7294 | - | T | - | -2.05 | - |
7295 | - | G | - | -3.4 | - |
7296 | - | G | - | -0.07 | - |
7297 | - | R | - | 6.68 | - |
7298 | - | P | - | 2.2 | - |
7299 | - | V | - | -2.8 | - |
7300 | - | N | - | 0.26 | - |
7301 | - | L | - | -3.98 | - |
7302 | - | Q | - | -2.07 | - |
7303 | - | L | - | 1.03 | - |
7304 | - | A | - | -0.17 | - |
7305 | - | S | - | 3.9 | - |
7306 | - | F | - | 2.15 | - |
7307 | - | N | - | 0.81 | - |
7308 | - | N | - | -1.64 | - |
7309 | - | R | - | 3.27 | - |
7310 | - | C | - | -0.52 | - |
7311 | - | I | - | -4.43 | - |
7312 | - | Q | - | -2.57 | - |
7313 | - | V | - | 0.43 | - |
7314 | - | D | - | -2.65 | - |
7315 | - | A | - | 0.84 | - |
7316 | - | Q | - | 1.43 | - |
7317 | - | G | - | -2.84 | - |
7318 | - | R | - | -1.33 | - |
7319 | - | L | - | -4.34 | - |
7320 | - | T | - | 0.1 | - |
7321 | - | A | - | -0.2 | - |
7322 | - | N | - | 3.38 | - |
7323 | - | M | - | 5.98 | - |
7324 | - | C | - | 1.86 | - |
7325 | - | D | - | -1.95 | - |
7326 | - | S | - | -0.56 | - |
7327 | - | Q | - | 1.05 | - |
7328 | - | Q | - | 1.23 | - |
7329 | - | S | - | -0.87 | - |
7330 | - | A | - | -2.23 | - |
7331 | - | Q | - | -5.0 | - |
7332 | - | S | - | -1.17 | - |
7333 | - | F | - | -5.25 | - |
7334 | - | I | - | -4.84 | - |
7335 | - | Y | - | 0.58 | - |
7336 | - | D | - | -4.15 | - |
7337 | - | Q | - | 2.61 | - |
7338 | - | L | - | -1.2 | - |
7339 | - | G | - | -3.58 | - |
7340 | - | R | - | -3.1 | - |
7341 | - | Y | - | -4.58 | - |
7342 | - | V | - | -4.71 | - |
7343 | - | S | - | -1.87 | - |
7344 | - | A | - | -1.89 | - |
7345 | - | S | - | 4.68 | - |
7346 | - | N | - | 0.16 | - |
7347 | - | T | - | 0.63 | - |
7348 | - | K | - | 0.86 | - |
7349 | - | L | - | -3.77 | - |
7350 | - | C | - | 2.9 | - |
7351 | - | L | - | -4.45 | - |
7352 | - | D | - | -2.72 | - |
7353 | - | G | - | 0.11 | - |
7354 | - | A | - | -0.92 | - |
7355 | - | A | - | 2.0 | - |
7356 | - | L | - | -0.39 | - |
7357 | - | D | - | 1.58 | - |
7358 | - | A | - | -0.54 | - |
7359 | - | L | - | -3.8 | - |
7360 | - | Q | - | -0.69 | - |
7361 | - | P | - | -5.01 | - |
7362 | - | C | - | 4.9 | - |
7363 | - | N | - | -1.57 | - |
7364 | - | Q | - | 1.41 | - |
7365 | - | N | - | -2.06 | - |
7366 | - | L | - | -1.64 | - |
7367 | - | T | - | 1.33 | - |
7368 | - | Q | - | -3.74 | - |
7369 | - | R | - | -3.22 | - |
7370 | - | W | - | -5.51 | - |
7371 | - | E | - | -0.8 | - |
7372 | - | W | - | -2.0 | - |
7373 | - | R | - | 3.01 | - |
7374 | - | K | - | 1.23 | - |
7375 | - | G | - | -0.98 | - |
7376 | - | T | - | -0.04 | - |
7377 | - | D | - | -1.1 | - |
7378 | - | E | - | -1.8 | - |
7379 | - | L | - | -5.48 | - |
7380 | - | T | - | -0.66 | - |
7381 | - | N | - | -0.98 | - |
7382 | - | V | - | -1.48 | - |
7383 | - | Y | - | 1.82 | - |
7384 | - | S | - | 2.0 | - |
7385 | - | G | - | -1.78 | - |
7386 | - | E | - | -0.2 | - |
7387 | - | S | - | -0.81 | - |
7388 | - | L | - | -3.18 | - |
7389 | - | G | - | -1.29 | - |
7390 | - | H | - | 2.54 | - |
7391 | - | D | - | -3.23 | - |
7392 | - | K | - | -2.28 | - |
7393 | - | Q | - | 0.33 | - |
7394 | - | T | - | 0.27 | - |
7395 | - | G | - | -2.32 | - |
7396 | - | E | - | 1.2 | - |
7397 | - | L | - | -4.72 | - |
7398 | - | G | - | -1.17 | - |
7399 | - | L | - | -3.2 | - |
7400 | - | Y | - | -2.24 | - |
7401 | - | A | - | 1.57 | - |
7402 | - | S | - | -1.2 | - |
7403 | - | S | - | -1.87 | - |
7404 | - | N | - | -0.84 | - |
7405 | - | D | - | 0.63 | - |
7406 | - | A | - | -0.78 | - |
7407 | - | V | - | -2.08 | - |
7408 | - | S | - | 0.02 | - |
7409 | - | L | - | -0.82 | - |
7410 | - | R | - | -2.34 | - |
7411 | - | T | - | -0.46 | - |
7412 | - | I | - | -0.25 | - |
7413 | - | T | - | 0.04 | - |
7414 | - | A | - | -0.88 | - |
7415 | - | Y | - | -1.48 | - |
7416 | - | T | - | -1.67 | - |
7417 | - | D | - | -1.6 | - |
7418 | - | V | - | 1.82 | - |
7419 | - | F | - | 0.11 | - |
7420 | - | N | - | 10.83 | - |
7421 | - | A | - | 0.51 | - |
7422 | - | Q | - | 0.49 | - |
7423 | - | E | - | 5.37 | - |
7424 | - | S | - | 6.38 | - |
7425 | - | S | - | 1.77 | - |
7426 | - | P | - | -2.72 | - |
7427 | - | I | - | 1.44 | - |
7428 | - | L | - | -4.43 | - |
7429 | - | G | - | -2.41 | - |
7430 | - | Y | - | -0.38 | - |
7431 | - | T | - | 1.34 | - |
7432 | - | Q | - | 1.43 | - |
7433 | - | G | - | -1.57 | - |
7434 | - | K | - | -0.08 | - |
7435 | - | M | - | 4.64 | - |
7436 | - | N | - | 1.35 | - |
7437 | - | Q | - | 0.73 | - |
7438 | - | Q | - | -1.66 | - |
7439 | - | R | - | 4.62 | - |
7440 | - | V | - | -0.09 | - |
7441 | - | G | - | 0.72 | - |
7442 | - | Q | - | 2.12 | - |
7443 | - | D | - | 0.76 | - |
7444 | - | N | - | 1.69 | - |
7445 | - | R | - | -0.33 | - |
7446 | - | L | - | -4.63 | - |
7447 | - | Y | - | -3.92 | - |
7448 | - | V | - | -2.16 | - |
7449 | - | R | - | 5.03 | - |
7450 | - | A | - | -1.99 | - |
7451 | - | G | - | 1.0 | - |
7452 | - | A | - | 0.93 | - |
7453 | - | A | - | -1.07 | - |
7454 | - | I | - | 0.67 | - |
7455 | - | D | - | 3.17 | - |
7456 | - | A | - | -3.41 | - |
7457 | - | L | - | -3.83 | - |
7458 | - | G | - | -3.12 | - |
7459 | - | S | - | 0.14 | - |
7460 | - | A | - | -0.79 | - |
7461 | - | S | - | -0.41 | - |
7462 | - | D | - | 2.22 | - |
7463 | - | L | - | 1.44 | - |
7464 | - | L | - | -1.02 | - |
7465 | - | V | - | 1.97 | - |
7466 | - | G | - | -2.09 | - |
7467 | - | G | - | 1.61 | - |
7468 | - | N | - | 11.6 | - |
7469 | - | G | - | 2.48 | - |
7470 | - | G | - | 1.86 | - |
7471 | - | S | - | 0.02 | - |
7472 | - | L | - | 3.73 | - |
7473 | - | S | - | 0.5 | - |
7474 | - | S | - | -0.95 | - |
7475 | - | V | - | -3.86 | - |
7476 | - | D | - | 1.96 | - |
7477 | - | L | - | -3.9 | - |
7478 | - | S | - | 3.35 | - |
7479 | - | G | - | -2.92 | - |
7480 | - | V | - | -2.64 | - |
7481 | - | K | - | -0.69 | - |
7482 | - | S | - | 0.77 | - |
7483 | - | I | - | -5.65 | - |
7484 | - | T | - | 0.05 | - |
7485 | - | A | - | -1.4 | - |
7486 | - | T | - | -3.29 | - |
7487 | - | S | - | -2.12 | - |
7488 | - | G | - | -2.48 | - |
7489 | - | D | - | -0.92 | - |
7490 | - | F | - | -0.45 | - |
7491 | - | Q | - | 0.21 | - |
7492 | - | Y | - | 1.37 | - |
7493 | - | G | - | -0.32 | - |
7494 | - | G | - | 0.36 | - |
7495 | - | Q | - | 0.12 | - |
7496 | - | Q | - | -0.28 | - |
7497 | - | L | - | -5.72 | - |
7498 | - | V | - | -1.49 | - |
7499 | - | A | - | -2.21 | - |
7500 | - | L | - | -6.08 | - |
7501 | - | T | - | 0.3 | - |
7502 | - | F | - | -4.17 | - |
7503 | - | T | - | -2.67 | - |
7504 | - | Y | - | -2.9 | - |
7505 | - | Q | - | 0.4 | - |
7506 | - | D | - | 2.16 | - |
7507 | - | G | - | -1.2 | - |
7508 | - | R | - | 0.58 | - |
7509 | - | Q | - | -0.26 | - |
7510 | - | Q | - | -0.65 | - |
7511 | - | T | - | 0.93 | - |
7512 | - | V | - | -2.08 | - |
7513 | - | G | - | -3.42 | - |
7514 | - | S | - | 0.25 | - |
7515 | - | K | - | 3.68 | - |
7516 | - | A | - | 1.38 | - |
7517 | - | Y | - | -1.8 | - |
7518 | - | V | - | -1.19 | - |
7519 | - | T | - | 0.37 | - |
7520 | - | N | - | -1.49 | - |
7521 | - | A | - | -0.89 | - |
7522 | - | H | - | 0.69 | - |
7523 | - | E | - | 1.39 | - |
7524 | - | D | - | -2.33 | - |
7525 | - | R | - | 0.9 | - |
7526 | - | F | - | -1.57 | - |
7527 | - | D | - | -0.91 | - |
7528 | - | L | - | -1.33 | - |
7529 | - | P | - | -2.9 | - |
7530 | - | D | - | 2.56 | - |
7531 | - | A | - | 2.46 | - |
7532 | - | A | - | -0.09 | - |
7533 | - | K | - | -0.95 | - |
7534 | - | I | - | -1.83 | - |
7535 | - | T | - | -0.96 | - |
7536 | - | Q | - | 9.96 | - |
7537 | - | L | - | -3.14 | - |
7538 | - | K | - | 1.26 | - |
7539 | - | I | - | -4.04 | - |
7540 | - | W | - | -5.22 | - |
7541 | - | A | - | -2.21 | - |
7542 | - | D | - | 0.34 | - |
7543 | - | D | - | 12.21 | - |
7544 | - | W | - | 3.4 | - |
7545 | - | L | - | -1.9 | - |
7546 | - | V | - | -3.36 | - |
7547 | - | K | - | 2.96 | - |
7548 | - | G | - | -2.93 | - |
7549 | - | V | - | -2.78 | - |
7550 | - | Q | - | 0.87 | - |
7551 | - | F | - | -4.27 | - |
7552 | - | D | - | 5.51 | - |
7553 | - | L | - | -2.16 | - |
7554 | - | N | - | 3.7 | - |
7555 | - | T | - | 8.57 | - |
7556 | - | N | - | 7.08 | - |
7557 | - | T | - | 1.13 | - |
7558 | - | L | - | 1.55 | - |
7559 | - | P | - | 21.63 | - |
7560 | - | H | - | 1.07 | - |
7561 | - | V | - | -1.68 | - |
7562 | - | A | - | -3.14 | - |
7563 | - | F | - | -4.37 | - |
7564 | - | Y | - | -3.23 | - |
7565 | - | I | - | -2.83 | - |
7566 | - | S | - | -1.9 | - |
7567 | - | V | - | -0.82 | - |
7568 | - | N | - | 0.84 | - |
7569 | - | R | - | 1.37 | - |
7570 | - | A | - | 0.79 | - |
7571 | - | I | - | -3.98 | - |
7572 | - | S | - | -1.14 | - |
7573 | - | D | - | 0.84 | - |
7574 | - | E | - | -0.03 | - |
7575 | - | E | - | -3.9 | - |
7576 | - | C | - | 30.3 | - |
7577 | - | T | - | 0.56 | - |
7578 | - | F | - | -3.04 | - |
7579 | - | N | - | -1.59 | - |
7580 | - | N | - | -1.19 | - |
7581 | - | S | - | -0.9 | - |
7582 | - | W | - | 0.41 | - |
7583 | - | L | - | -3.85 | - |
7584 | - | W | - | 0.17 | - |
7585 | - | K | - | 7.44 | - |
7586 | - | N | - | 3.46 | - |
7587 | - | E | - | 3.75 | - |
7588 | - | K | - | -0.7 | - |
7589 | - | G | - | -1.83 | - |
7590 | - | S | - | -0.89 | - |
7591 | - | R | - | 1.11 | - |
7592 | - | P | - | 0.39 | - |
7593 | - | F | - | -2.46 | - |
7594 | - | C | - | 14.32 | - |
7595 | - | K | - | 9.58 | - |
7596 | - | D | - | -0.44 | - |
7597 | - | A | - | -2.74 | - |
7598 | - | N | - | 1.0 | - |
7599 | - | I | - | -4.06 | - |
7600 | - | S | - | -0.09 | - |
7601 | - | L | - | -4.23 | - |
7602 | - | I | - | -2.16 | - |
7603 | - | Y | - | -5.7 | - |
7604 | - | R | - | -0.93 | - |
7605 | - | V | - | -4.81 | - |
7606 | - | N | - | 0.72 | - |
7607 | - | L | - | -3.77 | - |
7608 | - | E | - | 4.21 | - |
7609 | - | R | - | 0.56 | - |
7610 | - | S | - | -0.61 | - |
7611 | - | L | - | 0.16 | - |
7612 | - | Q | - | -0.23 | - |
7613 | - | Y | - | -0.26 | - |
7614 | - | G | - | -1.15 | - |
7615 | - | I | - | 7.51 | - |
7616 | - | V | - | 6.63 | - |
7617 | - | G | - | -2.39 | - |
7618 | - | S | - | 1.12 | - |
7619 | - | A | - | -0.53 | - |
7620 | - | T | - | -0.46 | - |
7621 | - | P | - | -3.57 | - |
7622 | - | D | - | -2.69 | - |
7623 | - | A | - | -2.26 | - |
7624 | - | K | - | -2.98 | - |
7625 | - | I | - | -3.02 | - |
7626 | - | V | - | -5.44 | - |
7627 | - | R | - | 1.05 | - |
7628 | - | I | - | -5.18 | - |
7629 | - | S | - | 1.6 | - |
7630 | - | L | - | -2.21 | - |
7631 | - | D | - | -2.43 | - |
7632 | - | D | - | 2.1 | - |
7633 | - | D | - | -1.01 | - |
7634 | - | S | - | 14.98 | - |
7635 | - | T | - | -0.18 | - |
7636 | - | G | - | -1.42 | - |
7637 | - | A | - | -2.43 | - |
7638 | - | G | - | -2.88 | - |
7639 | - | I | - | -3.81 | - |
7640 | - | H | - | -0.31 | - |
7641 | - | L | - | -5.4 | - |
7642 | - | N | - | 9.04 | - |
7643 | - | D | - | 1.19 | - |
7644 | - | Q | - | 0.9 | - |
7645 | - | L | - | -3.18 | - |
7646 | - | G | - | -2.49 | - |
7647 | - | Y | - | -2.69 | - |
7648 | - | R | - | 0.61 | - |
7649 | - | Q | - | 3.03 | - |
7650 | - | F | - | 1.44 | - |
7651 | - | G | - | -0.17 | - |
7652 | - | A | - | 0.83 | - |
7653 | - | S | - | 1.0 | - |
7654 | - | Y | - | 2.61 | - |
7655 | - | T | - | 12.13 | - |
7656 | - | T | - | 4.31 | - |
7657 | - | L | - | 2.5 | - |
7658 | - | D | - | 4.85 | - |
7659 | - | A | - | 0.41 | - |
7660 | - | Y | - | -2.23 | - |
7661 | - | F | - | 1.58 | - |
7662 | - | R | - | 8.36 | - |
7663 | - | E | - | -2.86 | - |
7664 | - | W | - | -1.49 | - |
7665 | - | S | - | 2.51 | - |
7666 | - | T | - | 2.11 | - |
7667 | - | D | - | -3.16 | - |
7668 | - | A | - | -3.56 | - |
7669 | - | I | - | -4.61 | - |
7670 | - | A | - | -2.54 | - |
7671 | - | Q | - | -0.11 | - |
7672 | - | D | - | -2.78 | - |
7673 | - | Y | - | -5.64 | - |
7674 | - | R | - | 0.0 | - |
7675 | - | F | - | -2.12 | - |
7676 | - | V | - | -0.12 | - |
7677 | - | F | - | -4.85 | - |
7678 | - | N | - | 5.25 | - |
7679 | - | A | - | -1.38 | - |
7680 | - | S | - | 0.09 | - |
7681 | - | N | - | 0.25 | - |
7682 | - | N | - | 1.22 | - |
7683 | - | K | - | -0.8 | - |
7684 | - | A | - | -1.97 | - |
7685 | - | Q | - | -2.34 | - |
7686 | - | I | - | -3.25 | - |
7687 | - | L | - | 2.58 | - |
7688 | - | K | - | 7.98 | - |
7689 | - | T | - | -3.06 | - |
7690 | - | F | - | 3.78 | - |
7691 | - | P | - | -2.84 | - |
7692 | - | V | - | 6.41 | - |
7693 | - | D | - | -0.03 | - |
7694 | - | N | - | -2.58 | - |
7695 | - | I | - | 15.03 | - |
7696 | - | N | - | -2.7 | - |
7697 | - | E | - | 1.68 | - |
7698 | - | K | - | -0.77 | - |
7699 | - | F | - | -4.05 | - |
7700 | - | E | - | -0.58 | - |
7701 | - | R | - | 19.56 | - |
7702 | - | K | - | 16.46 | - |
7703 | - | E | - | -0.5 | - |
7704 | - | V | - | -0.06 | - |
7705 | - | S | - | -0.91 | - |
7706 | - | G | - | -2.19 | - |
7707 | - | F | - | -0.44 | - |
7708 | - | E | - | 1.13 | - |
7709 | - | L | - | 4.91 | - |
7710 | - | G | - | 1.29 | - |
7711 | - | V | - | 1.6 | - |
7712 | - | T | - | -0.25 | - |
7713 | - | G | - | 1.8 | - |
7714 | - | G | - | 1.83 | - |
7715 | - | V | - | 10.15 | - |
7716 | - | E | - | 4.11 | - |
7717 | - | V | - | 4.28 | - |
7718 | - | S | - | 17.45 | - |
7719 | - | G | - | 2.65 | - |
7720 | - | D | - | -0.24 | - |
7721 | - | G | - | 6.94 | - |
7722 | - | P | - | 7.04 | - |
7723 | - | K | - | -0.95 | - |
7724 | - | A | - | -0.38 | - |
7725 | - | K | - | 0.87 | - |
7726 | - | L | - | 0.39 | - |
7727 | - | E | - | -0.34 | - |
7728 | - | A | - | 0.09 | - |
7729 | - | R | - | 3.76 | - |
7730 | - | A | - | 0.16 | - |
7731 | - | S | - | 1.6 | - |
7732 | - | Y | - | 3.75 | - |
7733 | - | T | - | 4.44 | - |
7734 | - | Q | - | 5.11 | - |
7735 | - | S | - | 2.09 | - |
7736 | - | R | - | 0.5 | - |
7737 | - | W | - | 14.42 | - |
7738 | - | L | - | -2.52 | - |
7739 | - | T | - | 3.39 | - |
7740 | - | Y | - | -2.27 | - |
7741 | - | N | - | 1.02 | - |
7742 | - | T | - | -1.84 | - |
7743 | - | Q | - | -1.89 | - |
7744 | - | D | - | 3.01 | - |
7745 | - | Y | - | -6.11 | - |
7746 | - | R | - | -1.42 | - |
7747 | - | I | - | -1.01 | - |
7748 | - | E | - | -1.89 | - |
7749 | - | R | - | -4.53 | - |
7750 | - | N | - | -0.01 | - |
7751 | - | A | - | 0.38 | - |
7752 | - | K | - | -0.54 | - |
7753 | - | N | - | -1.12 | - |
7754 | - | A | - | -1.85 | - |
7755 | - | Q | - | -2.58 | - |
7756 | - | A | - | -1.62 | - |
7757 | - | V | - | -1.73 | - |
7758 | - | S | - | 1.72 | - |
7759 | - | F | - | -5.03 | - |
7760 | - | T | - | -1.15 | - |
7761 | - | W | - | -0.22 | - |
7762 | - | N | - | 0.65 | - |
7763 | - | R | - | -3.37 | - |
7764 | - | Q | - | 0.64 | - |
7765 | - | Q | - | 11.41 | - |
7766 | - | Y | - | 0.75 | - |
7767 | - | A | - | -0.03 | - |
7768 | - | T | - | 0.08 | - |
7769 | - | A | - | -2.89 | - |
7770 | - | E | - | 3.94 | - |
7771 | - | S | - | -0.67 | - |
7772 | - | L | - | -3.55 | - |
7773 | - | L | - | -2.05 | - |
7774 | - | N | - | 0.52 | - |
7775 | - | R | - | 1.33 | - |
7776 | - | S | - | 0.92 | - |
7777 | - | T | - | 2.78 | - |
7778 | - | D | - | 0.64 | - |
7779 | - | A | - | -0.19 | - |
7780 | - | L | - | 10.13 | - |
7781 | - | W | - | 4.25 | - |
7782 | - | V | - | 0.56 | - |
7783 | - | N | - | 4.35 | - |
7784 | - | T | - | 0.13 | - |
7785 | - | Y | - | 3.69 | - |
7786 | - | P | - | 33.45 | - |
7787 | - | V | - | -2.12 | - |
7788 | - | D | - | -2.04 | - |
7789 | - | V | - | 1.96 | - |
7790 | - | N | - | 0.16 | - |
7791 | - | R | - | -1.03 | - |
7792 | - | I | - | -0.96 | - |
7793 | - | S | - | 3.84 | - |
7794 | - | P | - | -4.14 | - |
7795 | - | L | - | -0.28 | - |
7796 | - | S | - | -0.6 | - |
7797 | - | Y | - | -4.63 | - |
7798 | - | A | - | 0.87 | - |
7799 | - | S | - | 1.44 | - |
7800 | - | F | - | -3.14 | - |
7801 | - | V | - | 0.31 | - |
7802 | - | P | - | 24.25 | - |
7803 | - | K | - | 6.57 | - |
7804 | - | M | - | 15.54 | - |
7805 | - | D | - | 2.95 | - |
7806 | - | V | - | -5.16 | - |
7807 | - | I | - | 6.55 | - |
7808 | - | Y | - | -5.72 | - |
7809 | - | K | - | 18.55 | - |
7810 | - | A | - | -2.39 | - |
7811 | - | S | - | 2.83 | - |
7812 | - | A | - | -1.03 | - |
7813 | - | T | - | 2.81 | - |
7814 | - | E | - | 0.97 | - |
7815 | - | T | - | 0.5 | - |
7816 | - | G | - | -1.64 | - |
7817 | - | S | - | 0.08 | - |
7818 | - | T | - | -2.02 | - |
7819 | - | D | - | 1.17 | - |
7820 | - | F | - | -5.53 | - |
7821 | - | I | - | -2.9 | - |
7822 | - | I | - | -3.91 | - |
7823 | - | D | - | 3.66 | - |
7824 | - | S | - | 2.88 | - |
7825 | - | S | - | -2.31 | - |
7826 | - | V | - | -3.88 | - |
7827 | - | N | - | -2.64 | - |
7828 | - | I | - | -4.39 | - |
7829 | - | R | - | 6.36 | - |
7830 | - | P | - | -3.98 | - |
7831 | - | I | - | -0.56 | - |
7832 | - | Y | - | -2.86 | - |
7833 | - | N | - | 0.87 | - |
7834 | - | G | - | -0.03 | - |
7835 | - | A | - | -2.42 | - |
7836 | - | Y | - | -1.63 | - |
7837 | - | K | - | 0.6 | - |
7838 | - | H | - | 0.87 | - |
7839 | - | Y | - | -0.61 | - |
7840 | - | Y | - | 8.18 | - |
7841 | - | V | - | 3.76 | - |
7842 | - | V | - | 3.41 | - |
7843 | - | G | - | 1.07 | - |
7844 | - | A | - | -0.36 | - |
7845 | - | H | - | 0.73 | - |
7846 | - | Q | - | 0.56 | - |
7847 | - | S | - | 0.62 | - |
7848 | - | Y | - | -4.73 | - |
7849 | - | H | - | -0.45 | - |
7850 | - | G | - | 1.24 | - |
7851 | - | F | - | 1.54 | - |
7852 | - | E | - | 1.45 | - |
7853 | - | D | - | 0.5 | - |
7854 | - | T | - | 1.88 | - |
7855 | - | P | - | -2.64 | - |
7856 | - | R | - | 8.21 | - |
7857 | - | R | - | 0.09 | - |
7858 | - | R | - | 1.09 | - |
7859 | - | I | - | -1.66 | - |
7860 | - | T | - | -0.48 | - |
7861 | - | K | - | 0.68 | - |
7862 | - | S | - | 0.02 | - |
7863 | - | A | - | -1.84 | - |
7864 | - | S | - | 9.55 | - |
7865 | - | F | - | -4.46 | - |
7866 | - | T | - | 0.33 | - |
7867 | - | V | - | -4.77 | - |
7868 | - | D | - | 4.33 | - |
7869 | - | W | - | -5.67 | - |
7870 | - | D | - | 0.44 | - |
7871 | - | H | - | -0.91 | - |
7872 | - | P | - | -2.1 | - |
7873 | - | V | - | -2.74 | - |
7874 | - | F | - | -2.36 | - |
7875 | - | T | - | -2.35 | - |
7876 | - | G | - | -3.12 | - |
7877 | - | G | - | -0.17 | - |
7878 | - | R | - | 6.74 | - |
7879 | - | P | - | 1.94 | - |
7880 | - | V | - | -3.1 | - |
7881 | - | N | - | 0.11 | - |
7882 | - | L | - | -3.86 | - |
7883 | - | Q | - | -1.23 | - |
7884 | - | L | - | 0.61 | - |
7885 | - | A | - | -0.8 | - |
7886 | - | S | - | 3.11 | - |
7887 | - | F | - | 2.55 | - |
7888 | - | N | - | 1.66 | - |
7889 | - | N | - | -1.89 | - |
7890 | - | R | - | 3.28 | - |
7891 | - | C | - | -0.97 | - |
7892 | - | I | - | -4.43 | - |
7893 | - | Q | - | -3.09 | - |
7894 | - | V | - | 0.17 | - |
7895 | - | D | - | -1.29 | - |
7896 | - | A | - | 1.5 | - |
7897 | - | Q | - | -0.18 | - |
7898 | - | G | - | -3.34 | - |
7899 | - | R | - | -1.14 | - |
7900 | - | L | - | -4.53 | - |
7901 | - | T | - | 0.03 | - |
7902 | - | A | - | -0.24 | - |
7903 | - | N | - | 3.07 | - |
7904 | - | M | - | 5.39 | - |
7905 | - | C | - | 1.95 | - |
7906 | - | D | - | -1.71 | - |
7907 | - | S | - | -0.65 | - |
7908 | - | Q | - | 1.04 | - |
7909 | - | Q | - | 1.31 | - |
7910 | - | S | - | -0.6 | - |
7911 | - | A | - | -2.29 | - |
7912 | - | Q | - | -4.98 | - |
7913 | - | S | - | -1.03 | - |
7914 | - | F | - | -5.76 | - |
7915 | - | I | - | -5.13 | - |
7916 | - | Y | - | 0.8 | - |
7917 | - | D | - | -4.7 | - |
7918 | - | Q | - | 2.62 | - |
7919 | - | L | - | -1.32 | - |
7920 | - | G | - | -3.41 | - |
7921 | - | R | - | -3.26 | - |
7922 | - | Y | - | -4.55 | - |
7923 | - | V | - | -5.03 | - |
7924 | - | S | - | -2.09 | - |
7925 | - | A | - | -1.72 | - |
7926 | - | S | - | 4.34 | - |
7927 | - | N | - | 0.71 | - |
7928 | - | T | - | 0.79 | - |
7929 | - | K | - | -1.79 | - |
7930 | - | L | - | -3.89 | - |
7931 | - | C | - | 2.68 | - |
7932 | - | L | - | -4.35 | - |
7933 | - | D | - | -2.44 | - |
7934 | - | G | - | -0.24 | - |
7935 | - | A | - | -0.88 | - |
7936 | - | A | - | 2.03 | - |
7937 | - | L | - | -0.76 | - |
7938 | - | D | - | 1.4 | - |
7939 | - | A | - | -0.62 | - |
7940 | - | L | - | -3.99 | - |
7941 | - | Q | - | -0.59 | - |
7942 | - | P | - | -5.36 | - |
7943 | - | C | - | 4.48 | - |
7944 | - | N | - | -1.53 | - |
7945 | - | Q | - | 0.46 | - |
7946 | - | N | - | -1.76 | - |
7947 | - | L | - | -4.15 | - |
7948 | - | T | - | 0.83 | - |
7949 | - | Q | - | -4.1 | - |
7950 | - | R | - | -3.36 | - |
7951 | - | W | - | -5.58 | - |
7952 | - | E | - | -0.96 | - |
7953 | - | W | - | -2.26 | - |
7954 | - | R | - | 3.12 | - |
7955 | - | K | - | 1.15 | - |
7956 | - | G | - | -0.76 | - |
7957 | - | T | - | 0.02 | - |
7958 | - | D | - | -1.43 | - |
7959 | - | E | - | -2.04 | - |
7960 | - | L | - | -5.36 | - |
7961 | - | T | - | -0.7 | - |
7962 | - | N | - | -0.93 | - |
7963 | - | V | - | -1.32 | - |
7964 | - | Y | - | 1.92 | - |
7965 | - | S | - | 2.02 | - |
7966 | - | G | - | -1.63 | - |
7967 | - | E | - | -0.35 | - |
7968 | - | S | - | -0.64 | - |
7969 | - | L | - | -3.8 | - |
7970 | - | G | - | -1.36 | - |
7971 | - | H | - | 2.2 | - |
7972 | - | D | - | -2.7 | - |
7973 | - | K | - | -2.22 | - |
7974 | - | Q | - | 0.76 | - |
7975 | - | T | - | 0.84 | - |
7976 | - | G | - | -2.36 | - |
7977 | - | E | - | 1.62 | - |
7978 | - | L | - | -4.9 | - |
7979 | - | G | - | -1.01 | - |
7980 | - | L | - | -3.23 | - |
7981 | - | Y | - | -2.0 | - |
7982 | - | A | - | 1.55 | - |
7983 | - | S | - | -1.11 | - |
7984 | - | S | - | -1.71 | - |
7985 | - | N | - | -0.87 | - |
7986 | - | D | - | 0.71 | - |
7987 | - | A | - | -0.74 | - |
7988 | - | V | - | -1.58 | - |
7989 | - | S | - | -0.56 | - |
7990 | - | L | - | -0.98 | - |
7991 | - | R | - | -2.28 | - |
7992 | - | T | - | 0.48 | - |
7993 | - | I | - | 0.07 | - |
7994 | - | T | - | 0.16 | - |
7995 | - | A | - | -0.76 | - |
7996 | - | Y | - | -1.47 | - |
7997 | - | T | - | -1.83 | - |
7998 | - | D | - | -1.1 | - |
7999 | - | V | - | 1.2 | - |
8000 | - | F | - | -1.11 | - |
8001 | - | N | - | 10.5 | - |
8002 | - | A | - | 0.66 | - |
8003 | - | Q | - | 0.38 | - |
8004 | - | E | - | 0.66 | - |
8005 | - | S | - | 5.88 | - |
8006 | - | S | - | 1.31 | - |
8007 | - | P | - | -2.0 | - |
8008 | - | I | - | 0.11 | - |
8009 | - | L | - | -3.45 | - |
8010 | - | G | - | -1.85 | - |
8011 | - | Y | - | 0.31 | - |
8012 | - | T | - | 1.36 | - |
8013 | - | Q | - | 1.33 | - |
8014 | - | G | - | -1.67 | - |
8015 | - | K | - | -0.3 | - |
8016 | - | M | - | 4.66 | - |
8017 | - | N | - | 0.97 | - |
8018 | - | Q | - | 0.68 | - |
8019 | - | Q | - | -1.41 | - |
8020 | - | R | - | 0.5 | - |
8021 | - | V | - | -0.14 | - |
8022 | - | G | - | 0.67 | - |
8023 | - | Q | - | 7.19 | - |
8024 | - | D | - | 0.82 | - |
8025 | - | N | - | 1.11 | - |
8026 | - | R | - | -0.08 | - |
8027 | - | L | - | -4.84 | - |
8028 | - | Y | - | -3.7 | - |
8029 | - | V | - | -1.86 | - |
8030 | - | R | - | 1.41 | - |
8031 | - | A | - | -1.94 | - |
8032 | - | G | - | 1.04 | - |
8033 | - | A | - | 1.25 | - |
8034 | - | A | - | -1.4 | - |
8035 | - | I | - | 1.06 | - |
8036 | - | D | - | 3.29 | - |
8037 | - | A | - | -3.57 | - |
8038 | - | L | - | -4.04 | - |
8039 | - | G | - | -3.23 | - |
8040 | - | S | - | -0.16 | - |
8041 | - | A | - | -0.82 | - |
8042 | - | S | - | -0.84 | - |
8043 | - | D | - | 2.17 | - |
8044 | - | L | - | 1.64 | - |
8045 | - | L | - | 0.9 | - |
8046 | - | V | - | 1.91 | - |
8047 | - | G | - | -2.34 | - |
8048 | - | G | - | 2.35 | - |
8049 | - | N | - | 11.91 | - |
8050 | - | G | - | 2.98 | - |
8051 | - | G | - | 1.95 | - |
8052 | - | S | - | 0.16 | - |
8053 | - | L | - | 2.74 | - |
8054 | - | S | - | 0.08 | - |
8055 | - | S | - | -0.92 | - |
8056 | - | V | - | -4.22 | - |
8057 | - | D | - | 1.86 | - |
8058 | - | L | - | -3.89 | - |
8059 | - | S | - | 3.38 | - |
8060 | - | G | - | -2.9 | - |
8061 | - | V | - | -2.45 | - |
8062 | - | K | - | -0.41 | - |
8063 | - | S | - | 1.14 | - |
8064 | - | I | - | -5.58 | - |
8065 | - | T | - | 0.23 | - |
8066 | - | A | - | -1.51 | - |
8067 | - | T | - | -3.14 | - |
8068 | - | S | - | -2.35 | - |
8069 | - | G | - | -2.26 | - |
8070 | - | D | - | -1.02 | - |
8071 | - | F | - | -0.31 | - |
8072 | - | Q | - | 0.15 | - |
8073 | - | Y | - | 1.13 | - |
8074 | - | G | - | -0.4 | - |
8075 | - | G | - | 0.35 | - |
8076 | - | Q | - | 0.23 | - |
8077 | - | Q | - | -0.15 | - |
8078 | - | L | - | -5.7 | - |
8079 | - | V | - | -1.59 | - |
8080 | - | A | - | -2.31 | - |
8081 | - | L | - | -5.92 | - |
8082 | - | T | - | 0.28 | - |
8083 | - | F | - | -4.17 | - |
8084 | - | T | - | -2.79 | - |
8085 | - | Y | - | -2.99 | - |
8086 | - | Q | - | 0.59 | - |
8087 | - | D | - | 2.21 | - |
8088 | - | G | - | -1.03 | - |
8089 | - | R | - | 1.04 | - |
8090 | - | Q | - | -0.56 | - |
8091 | - | Q | - | -0.91 | - |
8092 | - | T | - | 0.98 | - |
8093 | - | V | - | -2.12 | - |
8094 | - | G | - | -3.4 | - |
8095 | - | S | - | 0.34 | - |
8096 | - | K | - | 0.69 | - |
8097 | - | A | - | 1.24 | - |
8098 | - | Y | - | -1.98 | - |
8099 | - | V | - | -0.97 | - |
8100 | - | T | - | 0.01 | - |
8101 | - | N | - | -3.38 | - |
8102 | - | A | - | -0.65 | - |
8103 | - | H | - | 0.69 | - |
8104 | - | E | - | 1.08 | - |
8105 | - | D | - | -1.61 | - |
8106 | - | R | - | 0.99 | - |
8107 | - | F | - | -1.55 | - |
8108 | - | D | - | -1.02 | - |
8109 | - | L | - | -1.38 | - |
8110 | - | P | - | -3.18 | - |
8111 | - | D | - | 0.25 | - |
8112 | - | A | - | 2.38 | - |
8113 | - | A | - | -0.16 | - |
8114 | - | K | - | -0.81 | - |
8115 | - | I | - | -2.45 | - |
8116 | - | T | - | -0.81 | - |
8117 | - | Q | - | 7.63 | - |
8118 | - | L | - | -3.3 | - |
8119 | - | K | - | 0.16 | - |
8120 | - | I | - | -4.54 | - |
8121 | - | W | - | -5.17 | - |
8122 | - | A | - | -2.36 | - |
8123 | - | D | - | 0.64 | - |
8124 | - | D | - | 4.2 | - |
8125 | - | W | - | 3.16 | - |
8126 | - | L | - | -1.08 | - |
8127 | - | V | - | -3.17 | - |
8128 | - | K | - | 3.11 | - |
8129 | - | G | - | -2.85 | - |
8130 | - | V | - | -2.97 | - |
8131 | - | Q | - | -0.22 | - |
8132 | - | F | - | -4.66 | - |
8133 | - | D | - | 4.7 | - |
8134 | - | L | - | -2.26 | - |
8135 | - | N | - | 3.63 | - |