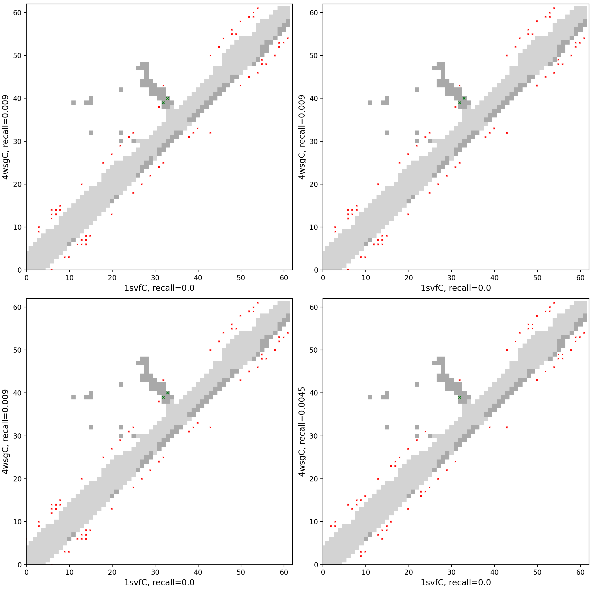
Analysis of pair 1svfC_4wsgC
1svfC vs 4wsgC
Missing: Fold1 vs best AF2
Missing: Fold2 vs best AF2
Missing: Fold1 vs best AF3
Missing: Fold2 vs best AF3
Missing: Fold1 vs best ESM2
Missing: Fold2 vs best ESM2
Missing: Fold1 vs best ESM3
Missing: Fold2 vs best ESM3
[missing] 1svfC vs. 4wsgC (unaligned) — interactive
[missing] 1svfC vs. 4wsgC (aligned) — interactive
Per-cluster contact maps
Cluster metrics table
cluster | n | neff | AF2_TM1 | AF2_TM2 | AF3_TM1 | AF3_TM2 | RE-MSAT-COM | RE-MSAT1 | RE-MSAT2 | ESM_SEQIDS | ESM_TM1_LIST | ESM_TM2_LIST |
---|
Deep | - | - | 0.92 | 0.64 | 0.79 | 0.46 | 0.0 | 0.0 | 0.19 | - | - | - |
000 | - | - | 0.94 | 0.7 | 0.8 | 0.52 | 0.0 | 0.0 | 0.22 | 006; 006; 001; 008; 008; 004; 004; 001; 009; 009 | 0.71; 0.71; 0.59; 0.53; 0.52; 0.51; 0.51; 0.51; 0.49; 0.49 | 0.11; 0.11; 0.58; 0.56; 0.56; 0.19; 0.20; 0.58; 0.30; 0.30 |
Aligned per-residue ΔΔG
aln_pos | aa1 | aa2 | E1 | E2 | dEdiff |
---|
1 | - | L | - | 0.85 | - |
2 | - | D | - | -1.93 | - |
3 | - | L | - | 2.04 | - |
4 | - | A | - | 0.47 | - |
5 | - | A | - | -1.54 | - |
6 | - | L | - | 5.75 | - |
7 | - | M | - | -0.73 | - |
8 | - | Q | - | 4.73 | - |
9 | - | I | - | -0.68 | - |
10 | - | G | - | -2.94 | - |
11 | - | V | - | -3.32 | - |
12 | - | I | - | 0.31 | - |
13 | - | P | - | -1.65 | - |
14 | T | T | 1.19 | 2.92 | -1.72 |
15 | - | N | - | 8.62 | - |
16 | - | V | - | 3.97 | - |
17 | - | R | - | -2.14 | - |
18 | - | Q | - | 3.78 | - |
19 | - | L | - | 1.83 | - |
20 | - | M | - | 5.15 | - |
21 | - | Y | - | 1.45 | - |
22 | - | Y | - | 6.57 | - |
23 | - | T | - | 9.59 | - |
24 | - | E | - | 3.62 | - |
25 | A | A | -0.37 | 2.25 | -2.62 |
26 | - | S | - | 1.24 | - |
27 | - | S | - | 2.34 | - |
28 | A | A | -0.25 | -1.1 | 0.85 |
29 | - | F | - | -1.07 | - |
30 | - | I | - | 0.71 | - |
31 | V | V | 1.17 | -2.19 | 3.36 |
32 | - | V | - | -1.45 | - |
33 | - | K | - | 4.12 | - |
34 | - | L | - | 2.97 | - |
35 | - | M | - | 5.42 | - |
36 | - | P | - | -1.14 | - |
37 | - | T | - | 9.16 | - |
38 | - | I | - | 6.28 | - |
39 | - | D | - | 10.5 | - |
40 | - | S | - | 5.8 | - |
41 | - | P | - | 3.36 | - |
42 | - | I | - | 7.01 | - |
43 | - | S | - | 11.76 | - |
44 | - | G | - | 0.32 | - |
45 | - | C | - | 3.54 | - |
46 | - | N | - | 1.87 | - |
47 | - | I | - | 3.97 | - |
48 | - | T | - | 1.66 | - |
49 | - | S | - | -0.07 | - |
50 | - | I | - | 0.74 | - |
51 | - | S | - | 0.46 | - |
52 | - | S | - | 15.14 | - |
53 | - | Y | - | 6.74 | - |
54 | - | N | - | 246.35 | - |
55 | A | A | -1.24 | 0.57 | -1.81 |
56 | - | T | - | 1.66 | - |
57 | - | V | - | 1.13 | - |
58 | - | T | - | 2.92 | - |
59 | - | K | - | 4.18 | - |
60 | L | L | -0.26 | -3.57 | 3.31 |
61 | - | L | - | -6.19 | - |
62 | - | Q | - | 15.13 | - |
63 | - | P | - | 13.04 | - |
64 | - | I | - | 12.95 | - |
65 | - | G | - | 0.38 | - |
66 | - | E | - | 0.4 | - |
67 | - | N | - | 1.4 | - |
68 | - | L | - | -1.8 | - |
69 | - | E | - | 3.71 | - |
70 | - | T | - | 15.71 | - |
71 | - | I | - | 2.64 | - |
72 | - | R | - | 6.59 | - |
73 | - | N | - | 2.0 | - |
74 | - | Q | - | 5.0 | - |
75 | - | L | - | 25.12 | - |
76 | - | I | - | 17.03 | - |
77 | - | P | - | 4.24 | - |
78 | - | T | - | 14.19 | - |
79 | - | R | - | 19.18 | - |
80 | - | R | - | 12.75 | - |
81 | - | R | - | 17.16 | - |
82 | - | F | - | 13.09 | - |
83 | - | A | - | 4.81 | - |
84 | - | G | - | -0.35 | - |
85 | V | V | 3.22 | 12.42 | -9.2 |
86 | - | V | - | 0.94 | - |
87 | - | I | - | 5.28 | - |
88 | - | G | - | 0.56 | - |
89 | - | L | - | -1.28 | - |
90 | - | A | - | -0.16 | - |
91 | - | A | - | 0.14 | - |
92 | - | L | - | -3.1 | - |
93 | - | G | - | 0.27 | - |
94 | - | V | - | -0.64 | - |
95 | - | A | - | -3.11 | - |
96 | - | T | - | -2.46 | - |
97 | - | A | - | -1.95 | - |
98 | - | A | - | 1.92 | - |
99 | - | Q | - | -0.64 | - |
100 | - | V | - | -3.37 | - |
101 | - | T | - | -1.4 | - |
102 | - | A | - | -2.5 | - |
103 | - | A | - | -2.67 | - |
104 | - | V | - | 3.12 | - |
105 | - | A | - | -0.54 | - |
106 | - | L | - | -3.01 | - |
107 | - | V | - | 11.86 | - |
108 | K | K | -0.03 | 3.13 | -3.15 |
109 | A | A | -1.92 | -2.47 | 0.54 |
110 | N | N | -1.58 | 10.22 | -11.8 |
111 | E | E | 2.42 | 6.84 | -4.42 |
112 | N | N | -2.65 | 7.17 | -9.82 |
113 | A | A | -0.99 | -1.73 | 0.73 |
114 | A | A | -1.17 | -0.31 | -0.87 |
115 | A | A | -2.99 | -2.86 | -0.14 |
116 | I | I | 0.2 | 3.56 | -3.35 |
117 | L | L | -0.58 | -2.64 | 2.05 |
118 | N | N | -2.2 | 2.05 | -4.25 |
119 | L | L | -1.85 | 5.28 | -7.12 |
120 | K | K | -1.57 | 5.26 | -6.82 |
121 | N | N | -1.2 | 5.42 | -6.62 |
122 | A | A | -2.37 | 0.86 | -3.23 |
123 | I | I | 1.92 | -2.05 | 3.96 |
124 | Q | Q | 1.22 | 6.38 | -5.16 |
125 | K | K | -2.01 | 0.4 | -2.41 |
126 | T | T | -0.94 | -0.05 | -0.89 |
127 | N | N | -2.07 | 4.45 | -6.53 |
128 | A | A | -1.03 | 0.46 | -1.49 |
129 | A | A | -3.34 | -0.9 | -2.44 |
130 | V | V | -0.25 | -0.5 | 0.24 |
131 | A | A | -1.64 | 0.16 | -1.8 |
132 | D | D | 1.68 | 2.72 | -1.04 |
133 | V | V | -0.84 | -2.54 | 1.7 |
134 | V | V | -0.11 | 1.07 | -1.18 |
135 | Q | Q | 0.33 | 1.82 | -1.49 |
136 | A | A | -3.23 | 3.49 | -6.71 |
137 | T | T | -0.0 | 18.4 | -18.41 |
138 | Q | Q | 2.5 | 9.49 | -6.98 |
139 | S | S | -2.05 | 9.96 | -12.01 |
140 | L | L | -0.79 | -1.57 | 0.77 |
141 | G | G | -0.33 | -1.13 | 0.8 |
142 | T | T | -0.21 | -1.77 | 1.56 |
143 | A | A | -3.31 | -1.92 | -1.39 |
144 | V | V | -0.15 | -1.16 | 1.01 |
145 | Q | Q | 0.49 | 8.42 | -7.93 |
146 | A | A | -2.67 | -0.96 | -1.71 |
147 | V | V | -1.67 | -2.16 | 0.49 |
148 | Q | Q | 2.31 | 0.25 | 2.06 |
149 | D | D | -3.13 | 4.6 | -7.74 |
150 | H | H | -2.72 | 6.33 | -9.05 |
151 | I | I | -1.53 | 0.56 | -2.09 |
152 | N | N | -0.89 | 1.07 | -1.96 |
153 | S | S | -0.07 | 4.09 | -4.15 |
154 | V | V | -1.03 | 3.1 | -4.14 |
155 | V | V | -0.57 | 0.31 | -0.88 |
156 | S | S | 8.8 | 3.85 | 4.96 |
157 | P | P | 7.08 | -2.55 | 9.64 |
158 | A | A | -1.53 | 0.18 | -1.71 |
159 | I | I | 0.94 | 4.02 | -3.08 |
160 | T | T | -0.06 | -0.92 | 0.85 |
161 | A | A | -0.6 | 1.55 | -2.15 |
162 | A | A | -0.08 | 2.12 | -2.2 |
163 | N | N | 0.34 | 5.64 | -5.3 |
164 | - | C | - | 8.09 | - |
165 | - | K | - | 1.85 | - |
166 | - | A | - | -0.1 | - |
167 | - | Q | - | 1.26 | - |
168 | - | D | - | 2.7 | - |
169 | - | A | - | 2.93 | - |
170 | - | I | - | 19.96 | - |
171 | - | I | - | -2.56 | - |
172 | - | G | - | 1.16 | - |
173 | - | S | - | 1.65 | - |
174 | - | I | - | 2.6 | - |
175 | - | L | - | 1.16 | - |
176 | - | N | - | -1.29 | - |
177 | - | L | - | 7.91 | - |
178 | Y | Y | 2.73 | -0.65 | 3.38 |
179 | - | L | - | 8.1 | - |
180 | - | T | - | 2.74 | - |
181 | - | E | - | 2.52 | - |
182 | - | L | - | -5.46 | - |
183 | - | T | - | 2.03 | - |
184 | - | T | - | 20.25 | - |
185 | - | I | - | 3.34 | - |
186 | - | F | - | 1.03 | - |
187 | - | H | - | 2.89 | - |
188 | - | N | - | 0.52 | - |
189 | - | Q | - | 1.37 | - |
190 | - | I | - | 4.35 | - |
191 | - | T | - | 5.25 | - |
192 | - | N | - | 4.4 | - |
193 | - | P | - | 1.54 | - |
194 | - | A | - | -2.22 | - |
195 | - | L | - | -5.17 | - |
196 | - | S | - | 2.3 | - |
197 | - | P | - | -0.98 | - |
198 | - | I | - | 3.09 | - |
199 | - | T | - | 25.49 | - |
200 | - | I | - | 3.35 | - |
201 | - | Q | - | 3.39 | - |
202 | - | A | - | -1.19 | - |
203 | - | L | - | 0.92 | - |
204 | - | R | - | 0.49 | - |
205 | - | I | - | 0.45 | - |
206 | - | L | - | -1.19 | - |
207 | - | L | - | 6.53 | - |
208 | - | G | - | -1.61 | - |
209 | - | S | - | -0.24 | - |
210 | - | T | - | -0.84 | - |
211 | - | L | - | -0.6 | - |
212 | - | P | - | -1.74 | - |
213 | - | T | - | 0.26 | - |
214 | - | V | - | -2.28 | - |
215 | - | V | - | -2.18 | - |
216 | - | E | - | 1.51 | - |
217 | - | K | - | 3.0 | - |
218 | - | S | - | 3.99 | - |
219 | - | F | - | 0.75 | - |
220 | - | N | - | 11.54 | - |
221 | - | T | - | 14.1 | - |
222 | - | Q | - | 6.05 | - |
223 | - | I | - | 1.28 | - |
224 | - | S | - | 2.7 | - |
225 | - | A | - | -1.78 | - |
226 | - | A | - | -0.24 | - |
227 | - | E | - | 1.19 | - |
228 | - | L | - | 10.73 | - |
229 | - | L | - | -1.56 | - |
230 | - | S | - | 2.45 | - |
231 | - | S | - | 2.16 | - |
232 | - | G | - | 3.34 | - |
233 | - | L | - | 0.55 | - |
234 | - | L | - | -1.66 | - |
235 | - | T | - | 8.48 | - |
236 | - | G | - | 0.96 | - |
237 | - | Q | - | 17.06 | - |
238 | - | I | - | -1.22 | - |
239 | - | V | - | -0.18 | - |
240 | - | G | - | -0.59 | - |
241 | - | L | - | 8.74 | - |
242 | - | D | - | -0.9 | - |
243 | - | L | - | 0.75 | - |
244 | - | T | - | 1.98 | - |
245 | - | Y | - | 0.16 | - |
246 | - | M | - | 5.85 | - |
247 | - | Q | - | 2.24 | - |
248 | - | M | - | -0.14 | - |
249 | - | V | - | -2.79 | - |
250 | - | I | - | -4.49 | - |
251 | - | K | - | 0.22 | - |
252 | - | I | - | 1.89 | - |
253 | - | E | - | 2.96 | - |
254 | - | L | - | 1.11 | - |
255 | - | P | - | -2.74 | - |
256 | - | T | - | 4.57 | - |
257 | - | L | - | -2.6 | - |
258 | - | T | - | 6.38 | - |
259 | - | V | - | 2.53 | - |
260 | - | Q | - | 10.66 | - |
261 | - | P | - | 7.41 | - |
262 | - | A | - | 1.1 | - |
263 | - | T | - | 1.5 | - |
264 | - | Q | - | -2.87 | - |
265 | - | I | - | -3.92 | - |
266 | - | I | - | -2.84 | - |
267 | - | D | - | 0.58 | - |
268 | - | L | - | -1.73 | - |
269 | - | A | - | -0.34 | - |
270 | - | T | - | 2.16 | - |
271 | - | I | - | 1.59 | - |
272 | - | S | - | 5.56 | - |
273 | - | A | - | -3.43 | - |
274 | - | F | - | 3.66 | - |
275 | - | I | - | 8.25 | - |
276 | - | N | - | 6.78 | - |
277 | - | N | - | 5.96 | - |
278 | - | Q | - | 1.91 | - |
279 | - | E | - | -0.74 | - |
280 | - | V | - | -4.53 | - |
281 | - | M | - | 1.98 | - |
282 | - | A | - | -2.29 | - |
283 | - | Q | - | 0.32 | - |
284 | - | L | - | 6.4 | - |
285 | - | P | - | 4.59 | - |
286 | - | T | - | 14.88 | - |
287 | - | R | - | 3.44 | - |
288 | - | V | - | -2.59 | - |
289 | - | M | - | 5.45 | - |
290 | - | V | - | 0.4 | - |
291 | - | T | - | 3.03 | - |
292 | - | G | - | 0.2 | - |
293 | - | S | - | 3.25 | - |
294 | - | L | - | 1.84 | - |
295 | - | I | - | -1.57 | - |
296 | - | Q | - | 5.01 | - |
297 | - | A | - | 2.74 | - |
298 | - | Y | - | 5.63 | - |
299 | - | P | - | 3.73 | - |
300 | - | A | - | 7.38 | - |
301 | - | S | - | 6.74 | - |
302 | - | Q | - | 10.4 | - |
303 | - | C | - | 11.28 | - |
304 | - | T | - | -1.23 | - |
305 | - | I | - | -0.19 | - |
306 | - | T | - | 8.99 | - |
307 | - | P | - | 2.42 | - |
308 | - | N | - | 6.19 | - |
309 | - | T | - | 9.89 | - |
310 | - | V | - | -2.86 | - |
311 | - | Y | - | -0.17 | - |
312 | - | C | - | 8.89 | - |
313 | - | R | - | 7.67 | - |
314 | - | Y | - | 7.14 | - |
315 | - | N | - | 3.43 | - |
316 | - | D | - | 3.61 | - |
317 | - | A | - | -1.33 | - |
318 | - | Q | - | 1.78 | - |
319 | - | V | - | 15.01 | - |
320 | - | L | - | -1.06 | - |
321 | - | S | - | 0.9 | - |
322 | - | D | - | 1.25 | - |
323 | - | D | - | 11.51 | - |
324 | - | T | - | 0.54 | - |
325 | - | M | - | 3.53 | - |
326 | - | A | - | -0.86 | - |
327 | - | C | - | 3.32 | - |
328 | - | L | - | 2.29 | - |
329 | - | Q | - | 14.58 | - |
330 | - | G | - | -0.75 | - |
331 | - | N | - | 2.33 | - |
332 | - | L | - | -2.4 | - |
333 | - | T | - | 16.15 | - |
334 | - | R | - | 9.31 | - |
335 | - | C | - | 2.4 | - |
336 | - | T | - | 2.02 | - |
337 | - | F | - | -4.59 | - |
338 | - | S | - | 4.59 | - |
339 | - | P | - | 3.69 | - |
340 | - | V | - | -2.83 | - |
341 | - | V | - | 0.61 | - |
342 | - | G | - | 1.77 | - |
343 | - | S | - | 0.5 | - |
344 | - | F | - | 10.5 | - |
345 | - | L | - | 13.63 | - |
346 | - | T | - | 1.56 | - |
347 | - | R | - | 4.15 | - |
348 | - | F | - | -2.34 | - |
349 | - | V | - | -0.09 | - |
350 | - | L | - | 4.26 | - |
351 | - | F | - | 0.24 | - |
352 | - | D | - | -1.18 | - |
353 | - | G | - | -1.31 | - |
354 | - | I | - | -0.1 | - |
355 | - | V | - | 0.19 | - |
356 | - | Y | - | -1.98 | - |
357 | - | A | - | -2.95 | - |
358 | - | N | - | 3.05 | - |
359 | - | C | - | 5.01 | - |
360 | - | R | - | 11.72 | - |
361 | - | S | - | 4.04 | - |
362 | - | M | - | 4.45 | - |
363 | - | L | - | 4.9 | - |
364 | - | C | - | 2.83 | - |
365 | - | K | - | 7.58 | - |
366 | - | C | - | 5.72 | - |
367 | - | M | - | 4.62 | - |
368 | - | Q | - | 17.0 | - |
369 | - | P | - | 9.75 | - |
370 | - | A | - | 1.73 | - |
371 | - | A | - | 1.91 | - |
372 | - | V | - | 3.78 | - |
373 | - | I | - | -0.98 | - |
374 | - | L | - | -0.2 | - |
375 | - | Q | - | 8.7 | - |
376 | - | P | - | 4.52 | - |
377 | - | S | - | 3.84 | - |
378 | - | S | - | -0.65 | - |
379 | - | S | - | 20.11 | - |
380 | - | P | - | 3.47 | - |
381 | - | V | - | -0.89 | - |
382 | - | T | - | -0.86 | - |
383 | - | V | - | 1.36 | - |
384 | - | I | - | 2.77 | - |
385 | - | D | - | 0.51 | - |
386 | - | M | - | 3.85 | - |
387 | - | Y | - | 3.35 | - |
388 | - | K | - | 1.82 | - |
389 | - | C | - | 2.2 | - |
390 | - | V | - | 7.99 | - |
391 | - | S | - | -1.8 | - |
392 | - | L | - | 6.37 | - |
393 | - | Q | - | 6.3 | - |
394 | - | L | - | 2.5 | - |
395 | - | D | - | 11.37 | - |
396 | - | N | - | 16.53 | - |
397 | - | L | - | 0.43 | - |
398 | - | R | - | 5.28 | - |
399 | - | F | - | -0.4 | - |
400 | - | T | - | -0.44 | - |
401 | - | I | - | -1.29 | - |
402 | - | T | - | 11.01 | - |
403 | - | Q | - | 0.37 | - |
404 | - | L | - | 6.03 | - |
405 | - | A | - | 1.79 | - |
406 | - | N | - | 5.34 | - |
407 | - | V | - | 8.02 | - |
408 | - | T | - | 7.86 | - |
409 | - | Y | - | 17.85 | - |
410 | - | N | - | 9.76 | - |
411 | - | S | - | 4.12 | - |
412 | - | T | - | 2.85 | - |
413 | - | I | - | 14.42 | - |
414 | - | K | - | 0.13 | - |
415 | - | L | - | 4.03 | - |
416 | - | E | - | 5.35 | - |
417 | - | S | - | 1.89 | - |
418 | - | S | - | 2.86 | - |
419 | - | Q | - | -1.49 | - |
420 | - | I | - | 1.06 | - |
421 | - | L | - | 5.61 | - |
422 | - | P | - | 2.28 | - |
423 | - | I | - | 3.08 | - |
424 | - | D | - | 2.36 | - |
425 | - | P | - | -0.97 | - |
426 | - | L | - | -1.84 | - |
427 | - | D | - | 3.64 | - |
428 | - | I | - | 6.79 | - |
429 | - | S | - | 0.55 | - |
430 | - | Q | - | 2.2 | - |
431 | - | N | - | 0.25 | - |
432 | - | L | - | -3.45 | - |
433 | - | A | - | -1.7 | - |
434 | - | A | - | -0.27 | - |
435 | - | V | - | 12.16 | - |
436 | - | N | - | 328.34 | - |
437 | - | K | - | 7.22 | - |
438 | - | S | - | -0.13 | - |
439 | - | L | - | 14.15 | - |
440 | - | S | - | 1.65 | - |
441 | - | D | - | 1.09 | - |
442 | - | A | - | 1.98 | - |
443 | - | L | - | 10.1 | - |
444 | - | Q | - | 5.83 | - |
445 | - | H | - | 4.31 | - |
446 | - | L | - | 7.69 | - |
447 | - | A | - | -0.45 | - |
448 | - | Q | - | 4.61 | - |
449 | - | S | - | 4.35 | - |
450 | - | D | - | 5.94 | - |
451 | - | T | - | 10.02 | - |
452 | - | Y | - | 2.67 | - |
453 | - | L | - | 2.61 | - |
454 | - | S | - | 4.48 | - |
455 | - | A | - | 2.17 | - |
456 | - | I | - | 22.22 | - |
457 | - | E | - | 3.7 | - |
458 | - | D | - | 1.92 | - |
459 | - | K | - | 11.78 | - |
460 | - | I | - | 2.3 | - |
461 | - | E | - | 1.24 | - |
462 | - | E | - | -0.32 | - |
463 | - | I | - | -0.22 | - |
464 | - | L | - | 1.38 | - |
465 | - | S | - | 2.21 | - |
466 | - | K | - | -1.91 | - |
467 | - | I | - | 2.5 | - |
468 | - | Y | - | 3.16 | - |
469 | - | H | - | 2.71 | - |
470 | - | I | - | 12.4 | - |
471 | - | E | - | 1.27 | - |
472 | - | N | - | 12.22 | - |
473 | - | E | - | 3.51 | - |
474 | - | I | - | -0.09 | - |
475 | - | A | - | 0.46 | - |
476 | - | R | - | 10.48 | - |
477 | - | I | - | 3.11 | - |
478 | - | K | - | 10.95 | - |
479 | - | K | - | 9.14 | - |
480 | X | X | 0.08 | 244.81 | -244.73 |
481 | X | X | -0.57 | 328.71 | -329.28 |
482 | - | L | - | -0.69 | - |
483 | - | D | - | -2.14 | - |
484 | - | L | - | 0.31 | - |
485 | - | A | - | 0.26 | - |
486 | - | A | - | -2.23 | - |
487 | - | L | - | -3.48 | - |
488 | - | M | - | -0.81 | - |
489 | Q | Q | 1.29 | 108.58 | -107.29 |
490 | I | I | 5.01 | -1.82 | 6.83 |
491 | - | G | - | -3.19 | - |
492 | - | V | - | -3.03 | - |
493 | - | I | - | -3.6 | - |
494 | - | P | - | -2.1 | - |
495 | - | T | - | 2.55 | - |
496 | - | N | - | 2.7 | - |
497 | - | V | - | 1.47 | - |
498 | - | R | - | -2.97 | - |
499 | - | Q | - | 1.18 | - |
500 | L | L | 3.74 | -2.21 | 5.95 |
501 | - | M | - | 1.55 | - |
502 | - | Y | - | 5.85 | - |
503 | - | Y | - | 0.91 | - |
504 | - | T | - | 7.39 | - |
505 | - | E | - | 10.16 | - |
506 | - | A | - | 0.99 | - |
507 | S | S | -0.84 | 0.55 | -1.39 |
508 | - | S | - | 3.7 | - |
509 | - | A | - | -0.77 | - |
510 | - | F | - | -3.14 | - |
511 | I | I | 0.64 | -0.33 | 0.97 |
512 | - | V | - | -2.52 | - |
513 | - | V | - | 22.57 | - |
514 | - | K | - | 26.33 | - |
515 | - | L | - | 0.07 | - |
516 | - | M | - | 3.57 | - |
517 | - | P | - | -1.45 | - |
518 | - | T | - | 1.86 | - |
519 | - | I | - | 5.84 | - |
520 | D | D | 9.28 | 0.63 | 8.64 |
521 | - | S | - | 5.24 | - |
522 | P | P | 0.8 | 1.58 | -0.78 |
523 | - | I | - | 4.35 | - |
524 | - | S | - | 3.82 | - |
525 | - | G | - | 4.16 | - |
526 | - | C | - | 16.45 | - |
527 | - | N | - | 3.71 | - |
528 | - | I | - | -0.21 | - |
529 | - | T | - | 3.96 | - |
530 | - | S | - | -1.21 | - |
531 | - | I | - | 3.45 | - |
532 | - | S | - | 0.55 | - |
533 | - | S | - | 2.71 | - |
534 | - | Y | - | -2.19 | - |
535 | - | N | - | 394.43 | - |
536 | - | A | - | 1.33 | - |
537 | - | T | - | -1.56 | - |
538 | - | V | - | -0.9 | - |
539 | - | T | - | 2.24 | - |
540 | - | K | - | 3.34 | - |
541 | L | L | -0.31 | 0.16 | -0.47 |
542 | - | L | - | -3.38 | - |
543 | - | Q | - | 9.34 | - |
544 | - | P | - | 4.22 | - |
545 | - | I | - | 9.81 | - |
546 | - | G | - | -0.63 | - |
547 | - | E | - | 13.62 | - |
548 | - | N | - | 1.9 | - |
549 | - | L | - | 16.25 | - |
550 | - | E | - | 3.61 | - |
551 | - | T | - | -0.39 | - |
552 | - | I | - | -0.69 | - |
553 | - | R | - | 2.58 | - |
554 | - | N | - | -0.01 | - |
555 | - | Q | - | 9.05 | - |
556 | - | L | - | 22.05 | - |
557 | - | I | - | 54.98 | - |
558 | - | P | - | 25.96 | - |
559 | - | T | - | 27.73 | - |
560 | - | R | - | 27.87 | - |
561 | - | R | - | 12.57 | - |
562 | - | R | - | 11.87 | - |
563 | - | F | - | 9.17 | - |
564 | - | A | - | 3.37 | - |
565 | - | G | - | 3.01 | - |
566 | - | V | - | 1.86 | - |
567 | - | V | - | 23.73 | - |
568 | - | I | - | 6.77 | - |
569 | - | G | - | 0.01 | - |
570 | - | L | - | -1.61 | - |
571 | - | A | - | 1.01 | - |
572 | - | A | - | 0.58 | - |
573 | - | L | - | -1.86 | - |
574 | - | G | - | -0.64 | - |
575 | - | V | - | 1.22 | - |
576 | - | A | - | -2.13 | - |
577 | - | T | - | 0.55 | - |
578 | - | A | - | -1.57 | - |
579 | - | A | - | -0.36 | - |
580 | - | Q | - | 2.64 | - |
581 | - | V | - | 4.75 | - |
582 | - | T | - | 12.17 | - |
583 | - | A | - | -2.41 | - |
584 | - | A | - | -2.52 | - |
585 | - | V | - | 4.78 | - |
586 | - | A | - | -0.81 | - |
587 | - | L | - | 0.81 | - |
588 | - | V | - | 7.57 | - |
589 | - | K | - | 4.28 | - |
590 | - | A | - | -0.96 | - |
591 | - | N | - | 1.98 | - |
592 | - | E | - | 1.29 | - |
593 | - | N | - | 2.6 | - |
594 | - | A | - | -2.35 | - |
595 | - | A | - | -0.45 | - |
596 | - | A | - | -0.39 | - |
597 | - | I | - | 1.27 | - |
598 | - | L | - | -2.23 | - |
599 | - | N | - | 4.34 | - |
600 | - | L | - | 8.62 | - |
601 | - | K | - | 2.17 | - |
602 | - | N | - | 6.32 | - |
603 | - | A | - | 0.6 | - |
604 | - | I | - | 4.02 | - |
605 | - | Q | - | 2.77 | - |
606 | - | K | - | 0.76 | - |
607 | - | T | - | 7.96 | - |
608 | - | N | - | -0.25 | - |
609 | - | A | - | 1.67 | - |
610 | - | A | - | 4.62 | - |
611 | - | V | - | 4.29 | - |
612 | - | A | - | 0.37 | - |
613 | D | D | -0.06 | 3.89 | -3.95 |
614 | - | V | - | -0.46 | - |
615 | - | V | - | 5.12 | - |
616 | - | Q | - | 0.82 | - |
617 | - | A | - | 3.74 | - |
618 | - | T | - | 29.29 | - |
619 | - | Q | - | 7.87 | - |
620 | - | S | - | 0.44 | - |
621 | - | L | - | -2.51 | - |
622 | - | G | - | -1.36 | - |
623 | - | T | - | -0.95 | - |
624 | - | A | - | -0.75 | - |
625 | - | V | - | 2.41 | - |
626 | - | Q | - | 37.5 | - |
627 | - | A | - | -0.68 | - |
628 | - | V | - | 5.13 | - |
629 | - | Q | - | 9.6 | - |
630 | - | D | - | 4.15 | - |
631 | - | H | - | 4.72 | - |
632 | I | I | -1.96 | 0.38 | -2.35 |
633 | - | N | - | -1.36 | - |
634 | S | S | -0.15 | 0.55 | -0.7 |
635 | - | V | - | -0.01 | - |
636 | - | V | - | 4.13 | - |
637 | - | S | - | 6.99 | - |
638 | - | P | - | 76.33 | - |
639 | - | A | - | 1.04 | - |
640 | - | I | - | 2.94 | - |
641 | - | T | - | 6.23 | - |
642 | - | A | - | 3.83 | - |
643 | - | A | - | 2.22 | - |
644 | - | N | - | 16.66 | - |
645 | - | C | - | 14.18 | - |
646 | - | K | - | 6.24 | - |
647 | - | A | - | -0.42 | - |
648 | Q | Q | 1.25 | -2.92 | 4.17 |
649 | - | D | - | 0.04 | - |
650 | - | A | - | 0.98 | - |
651 | - | I | - | 3.34 | - |
652 | - | I | - | -2.33 | - |
653 | - | G | - | 0.05 | - |
654 | - | S | - | 3.76 | - |
655 | - | I | - | 5.65 | - |
656 | - | L | - | -2.74 | - |
657 | N | N | -0.47 | -1.6 | 1.12 |
658 | L | L | -2.26 | 3.37 | -5.63 |
659 | - | Y | - | -1.12 | - |
660 | - | L | - | 1.39 | - |
661 | - | T | - | -0.43 | - |
662 | - | E | - | 0.06 | - |
663 | - | L | - | -0.02 | - |
664 | - | T | - | -1.6 | - |
665 | - | T | - | -0.69 | - |
666 | - | I | - | 1.73 | - |
667 | - | F | - | 0.74 | - |
668 | - | H | - | 2.76 | - |
669 | - | N | - | 7.68 | - |
670 | - | Q | - | 0.4 | - |
671 | - | I | - | 1.48 | - |
672 | - | T | - | 11.22 | - |
673 | - | N | - | 1.97 | - |
674 | - | P | - | -1.82 | - |
675 | A | A | -1.07 | -0.66 | -0.41 |
676 | - | L | - | -0.2 | - |
677 | - | S | - | 2.74 | - |
678 | - | P | - | -2.61 | - |
679 | - | I | - | 11.66 | - |
680 | - | T | - | 16.96 | - |
681 | - | I | - | 1.46 | - |
682 | - | Q | - | 3.44 | - |
683 | A | A | -1.61 | -2.22 | 0.61 |
684 | - | L | - | -4.8 | - |
685 | - | R | - | 1.31 | - |
686 | - | I | - | 4.43 | - |
687 | - | L | - | 1.06 | - |
688 | - | L | - | 4.86 | - |
689 | - | G | - | -1.06 | - |
690 | - | S | - | 7.04 | - |
691 | - | T | - | -0.39 | - |
692 | - | L | - | 1.19 | - |
693 | - | P | - | -0.92 | - |
694 | - | T | - | 0.99 | - |
695 | V | V | -3.41 | 3.08 | -6.49 |
696 | - | V | - | -1.48 | - |
697 | - | E | - | 4.01 | - |
698 | - | K | - | 5.75 | - |
699 | - | S | - | 1.24 | - |
700 | - | F | - | 0.61 | - |
701 | N | N | -0.71 | 18.6 | -19.31 |
702 | - | T | - | 1.46 | - |
703 | - | Q | - | 8.74 | - |
704 | - | I | - | 26.03 | - |
705 | - | S | - | 0.69 | - |
706 | - | A | - | -0.04 | - |
707 | - | A | - | -0.06 | - |
708 | - | E | - | 2.94 | - |
709 | - | L | - | -2.07 | - |
710 | - | L | - | -4.25 | - |
711 | - | S | - | 3.72 | - |
712 | - | S | - | 11.22 | - |
713 | - | G | - | 2.26 | - |
714 | - | L | - | 11.71 | - |
715 | - | L | - | -1.58 | - |
716 | - | T | - | 16.25 | - |
717 | - | G | - | -0.16 | - |
718 | - | Q | - | -0.54 | - |
719 | - | I | - | 3.67 | - |
720 | - | V | - | -1.78 | - |
721 | - | G | - | -1.68 | - |
722 | - | L | - | -0.11 | - |
723 | - | D | - | -0.52 | - |
724 | - | L | - | -0.4 | - |
725 | - | T | - | 2.15 | - |
726 | - | Y | - | 0.28 | - |
727 | - | M | - | 3.55 | - |
728 | - | Q | - | 2.79 | - |
729 | - | M | - | -1.42 | - |
730 | - | V | - | -5.38 | - |
731 | - | I | - | -5.16 | - |
732 | K | K | 0.11 | -0.2 | 0.3 |
733 | - | I | - | -1.93 | - |
734 | - | E | - | -1.35 | - |
735 | - | L | - | 10.73 | - |
736 | - | P | - | 7.34 | - |
737 | - | T | - | 2.53 | - |
738 | - | L | - | 1.23 | - |
739 | - | T | - | 13.92 | - |
740 | - | V | - | 0.69 | - |
741 | - | Q | - | 8.33 | - |
742 | - | P | - | 1.81 | - |
743 | - | A | - | 2.88 | - |
744 | - | T | - | 8.22 | - |
745 | - | Q | - | 0.4 | - |
746 | - | I | - | -2.79 | - |
747 | - | I | - | -4.2 | - |
748 | - | D | - | -2.29 | - |
749 | - | L | - | -2.18 | - |
750 | - | A | - | 0.16 | - |
751 | - | T | - | 3.64 | - |
752 | - | I | - | -0.26 | - |
753 | S | S | -1.33 | 9.22 | -10.54 |
754 | - | A | - | -2.63 | - |
755 | - | F | - | 2.23 | - |
756 | - | I | - | -1.61 | - |
757 | - | N | - | 8.25 | - |
758 | - | N | - | 6.82 | - |
759 | - | Q | - | 6.83 | - |
760 | - | E | - | 2.84 | - |
761 | - | V | - | -2.99 | - |
762 | - | M | - | 1.3 | - |
763 | - | A | - | -1.47 | - |
764 | - | Q | - | 0.11 | - |
765 | L | L | -2.05 | 4.88 | -6.94 |
766 | - | P | - | 1.89 | - |
767 | - | T | - | 1.41 | - |
768 | - | R | - | 0.33 | - |
769 | - | V | - | -2.25 | - |
770 | - | M | - | 5.6 | - |
771 | - | V | - | 11.21 | - |
772 | - | T | - | 0.75 | - |
773 | - | G | - | 1.32 | - |
774 | S | S | -0.29 | 0.32 | -0.61 |
775 | - | L | - | 0.83 | - |
776 | - | I | - | -2.18 | - |
777 | - | Q | - | -1.47 | - |
778 | - | A | - | -1.5 | - |
779 | - | Y | - | 0.01 | - |
780 | - | P | - | 6.22 | - |
781 | - | A | - | 1.8 | - |
782 | - | S | - | 4.23 | - |
783 | - | Q | - | 3.44 | - |
784 | - | C | - | 2.7 | - |
785 | - | T | - | -1.13 | - |
786 | - | I | - | 2.78 | - |
787 | - | T | - | 5.97 | - |
788 | - | P | - | -2.93 | - |
789 | - | N | - | 0.42 | - |
790 | - | T | - | 4.54 | - |
791 | - | V | - | 3.26 | - |
792 | - | Y | - | -0.25 | - |
793 | - | C | - | 1.22 | - |
794 | - | R | - | 2.75 | - |
795 | - | Y | - | 7.98 | - |
796 | - | N | - | 5.74 | - |
797 | D | D | -0.9 | 10.69 | -11.59 |
798 | A | A | -2.72 | -1.05 | -1.67 |
799 | - | Q | - | 5.39 | - |
800 | - | V | - | 22.36 | - |
801 | L | L | -0.96 | 0.93 | -1.89 |
802 | - | S | - | -0.06 | - |
803 | - | D | - | 0.62 | - |
804 | - | D | - | 0.6 | - |
805 | - | T | - | 2.83 | - |
806 | - | M | - | 6.74 | - |
807 | - | A | - | -1.83 | - |
808 | - | C | - | 4.38 | - |
809 | - | L | - | -3.53 | - |
810 | Q | Q | 1.54 | 6.31 | -4.77 |
811 | - | G | - | -2.21 | - |
812 | - | N | - | 0.83 | - |
813 | - | L | - | 0.51 | - |
814 | - | T | - | 2.08 | - |
815 | - | R | - | 10.48 | - |
816 | - | C | - | 3.57 | - |
817 | - | T | - | 1.47 | - |
818 | - | F | - | -6.11 | - |
819 | - | S | - | 3.23 | - |
820 | - | P | - | -3.33 | - |
821 | - | V | - | -1.24 | - |
822 | - | V | - | 7.5 | - |
823 | - | G | - | 0.94 | - |
824 | - | S | - | 21.6 | - |
825 | - | F | - | 6.29 | - |
826 | - | L | - | 7.1 | - |
827 | - | T | - | -0.49 | - |
828 | - | R | - | 16.66 | - |
829 | - | F | - | -1.56 | - |
830 | - | V | - | -2.47 | - |
831 | - | L | - | 1.82 | - |
832 | - | F | - | 0.89 | - |
833 | - | D | - | -0.87 | - |
834 | - | G | - | -0.46 | - |
835 | - | I | - | 16.76 | - |
836 | - | V | - | -4.2 | - |
837 | - | Y | - | -3.87 | - |
838 | - | A | - | -4.05 | - |
839 | - | N | - | -2.08 | - |
840 | - | C | - | 2.08 | - |
841 | - | R | - | 6.6 | - |
842 | - | S | - | 9.22 | - |
843 | - | M | - | 15.36 | - |
844 | - | L | - | 3.77 | - |
845 | - | C | - | 0.62 | - |
846 | - | K | - | 1.37 | - |
847 | - | C | - | 0.15 | - |
848 | - | M | - | 3.91 | - |
849 | - | Q | - | 2.6 | - |
850 | - | P | - | 1.12 | - |
851 | - | A | - | 2.19 | - |
852 | - | A | - | 1.9 | - |
853 | - | V | - | 0.46 | - |
854 | - | I | - | 0.08 | - |
855 | - | L | - | 4.34 | - |
856 | - | Q | - | 1.3 | - |
857 | - | P | - | -0.24 | - |
858 | - | S | - | 2.11 | - |
859 | - | S | - | 0.33 | - |
860 | - | S | - | 3.22 | - |
861 | - | P | - | 2.55 | - |
862 | - | V | - | -0.94 | - |
863 | - | T | - | -0.65 | - |
864 | - | V | - | -0.85 | - |
865 | - | I | - | -2.3 | - |
866 | - | D | - | -3.5 | - |
867 | - | M | - | 6.94 | - |
868 | - | Y | - | 3.41 | - |
869 | - | K | - | 9.84 | - |
870 | - | C | - | -0.01 | - |
871 | - | V | - | 2.47 | - |
872 | - | S | - | 1.49 | - |
873 | - | L | - | -0.08 | - |
874 | - | Q | - | 1.05 | - |
875 | - | L | - | -0.08 | - |
876 | - | D | - | 11.45 | - |
877 | - | N | - | 3.86 | - |
878 | - | L | - | -1.28 | - |
879 | - | R | - | -0.06 | - |
880 | - | F | - | -4.95 | - |
881 | - | T | - | -1.38 | - |
882 | - | I | - | 6.89 | - |
883 | - | T | - | -0.43 | - |
884 | - | Q | - | 3.32 | - |
885 | - | L | - | 10.54 | - |
886 | - | A | - | 5.34 | - |
887 | - | N | - | 19.77 | - |
888 | - | V | - | 5.43 | - |
889 | - | T | - | 4.3 | - |
890 | - | Y | - | 129.72 | - |
891 | - | T | - | 2.89 | - |
892 | - | I | - | 3.51 | - |
893 | - | K | - | 0.86 | - |
894 | - | L | - | -1.03 | - |
895 | - | E | - | 1.17 | - |
896 | - | S | - | 5.35 | - |
897 | - | S | - | 3.07 | - |
898 | - | Q | - | -0.21 | - |
899 | - | I | - | -0.22 | - |
900 | - | L | - | 5.85 | - |
901 | - | P | - | 0.3 | - |
902 | - | I | - | 12.79 | - |
903 | - | D | - | 10.56 | - |
904 | - | P | - | 3.66 | - |
905 | - | L | - | 1.49 | - |
906 | - | D | - | 6.5 | - |
907 | - | I | - | -1.76 | - |
908 | - | S | - | 3.77 | - |
909 | - | Q | - | -1.26 | - |
910 | - | N | - | 4.07 | - |
911 | - | L | - | 3.29 | - |
912 | - | A | - | -1.03 | - |
913 | - | A | - | 0.14 | - |
914 | - | V | - | 7.03 | - |
915 | - | N | - | 0.42 | - |
916 | - | K | - | 8.42 | - |
917 | - | S | - | 3.64 | - |
918 | - | L | - | -0.6 | - |
919 | - | S | - | 0.98 | - |
920 | - | D | - | 0.01 | - |
921 | - | A | - | -2.37 | - |
922 | - | L | - | 0.36 | - |
923 | - | Q | - | 2.75 | - |
924 | H | H | 1.42 | 3.79 | -2.37 |
925 | L | L | -0.9 | 6.42 | -7.33 |
926 | A | A | -0.52 | 0.16 | -0.68 |
927 | Q | Q | -0.83 | 7.41 | -8.24 |
928 | S | S | -0.99 | 2.28 | -3.27 |
929 | D | D | -0.12 | 9.49 | -9.61 |
930 | T | T | 0.74 | 8.29 | -7.55 |
931 | Y | Y | -1.71 | 7.7 | -9.41 |
932 | L | L | -1.25 | 7.42 | -8.67 |
933 | S | S | 0.95 | 8.24 | -7.29 |
934 | A | A | -0.98 | 3.21 | -4.19 |
935 | I | I | 0.62 | 13.1 | -12.48 |
936 | - | E | - | 19.46 | - |
937 | - | D | - | 6.78 | - |
938 | - | K | - | 2.97 | - |
939 | - | I | - | 2.14 | - |
940 | - | E | - | 4.87 | - |
941 | - | E | - | -1.15 | - |
942 | - | I | - | 0.41 | - |
943 | - | L | - | 5.09 | - |
944 | - | S | - | 3.57 | - |
945 | - | K | - | 2.83 | - |
946 | - | I | - | 1.72 | - |
947 | - | Y | - | 4.7 | - |
948 | - | H | - | 11.44 | - |
949 | - | I | - | 20.64 | - |
950 | - | E | - | 6.29 | - |
951 | - | N | - | 6.73 | - |
952 | - | E | - | 10.94 | - |
953 | - | I | - | 15.32 | - |
954 | - | A | - | 6.88 | - |
955 | - | R | - | 6.79 | - |
956 | - | I | - | 14.47 | - |
957 | - | K | - | 1.07 | - |
958 | - | K | - | 11.97 | - |
959 | - | X | - | 392.74 | - |
960 | - | L | - | 0.11 | - |
961 | - | D | - | 1.14 | - |
962 | - | L | - | -1.49 | - |
963 | - | A | - | 0.2 | - |
964 | - | A | - | -2.36 | - |
965 | - | L | - | -0.73 | - |
966 | - | M | - | 11.45 | - |
967 | - | Q | - | -1.18 | - |
968 | - | I | - | -2.75 | - |
969 | - | G | - | -3.7 | - |
970 | - | V | - | -0.26 | - |
971 | - | I | - | -0.9 | - |
972 | - | P | - | -3.23 | - |
973 | T | T | 8.91 | 0.98 | 7.93 |
974 | - | N | - | 0.59 | - |
975 | - | V | - | 5.22 | - |
976 | - | R | - | -4.07 | - |
977 | - | Q | - | -0.41 | - |
978 | - | L | - | 10.67 | - |
979 | - | M | - | 1.2 | - |
980 | - | Y | - | 2.58 | - |
981 | - | Y | - | 13.11 | - |
982 | - | T | - | 4.83 | - |
983 | - | E | - | 7.12 | - |
984 | A | A | -0.18 | 2.01 | -2.19 |
985 | - | S | - | 1.51 | - |
986 | - | S | - | 15.13 | - |
987 | A | A | 2.81 | -1.63 | 4.43 |
988 | - | F | - | -2.9 | - |
989 | - | I | - | 7.89 | - |
990 | V | V | 3.61 | 1.98 | 1.63 |
991 | - | V | - | -2.91 | - |
992 | - | K | - | 9.19 | - |
993 | - | L | - | -1.18 | - |
994 | - | M | - | 6.99 | - |
995 | - | P | - | 1.14 | - |
996 | - | T | - | 8.2 | - |
997 | - | I | - | 3.89 | - |
998 | - | D | - | 1.23 | - |
999 | - | S | - | 6.41 | - |
1000 | - | P | - | 4.65 | - |
1001 | - | I | - | 6.66 | - |
1002 | - | S | - | 8.12 | - |
1003 | - | G | - | 1.19 | - |
1004 | - | C | - | 7.89 | - |
1005 | - | N | - | 2.13 | - |
1006 | - | I | - | 2.44 | - |
1007 | - | T | - | 8.49 | - |
1008 | - | S | - | 8.68 | - |
1009 | - | I | - | 12.98 | - |
1010 | - | S | - | 1.79 | - |
1011 | - | S | - | 0.31 | - |
1012 | - | Y | - | -2.18 | - |
1013 | - | N | - | 432.82 | - |
1014 | A | A | -0.59 | 0.99 | -1.59 |
1015 | - | T | - | -0.5 | - |
1016 | - | V | - | -2.46 | - |
1017 | - | T | - | 3.49 | - |
1018 | - | K | - | 12.9 | - |
1019 | L | L | 0.05 | 0.89 | -0.84 |
1020 | - | L | - | -4.03 | - |
1021 | - | Q | - | 8.06 | - |
1022 | - | P | - | 3.9 | - |
1023 | - | I | - | 6.41 | - |
1024 | - | G | - | -0.1 | - |
1025 | - | E | - | -0.86 | - |
1026 | - | N | - | 0.33 | - |
1027 | - | L | - | 12.22 | - |
1028 | - | E | - | 6.71 | - |
1029 | - | T | - | 2.04 | - |
1030 | - | I | - | 1.71 | - |
1031 | - | R | - | 4.96 | - |
1032 | - | N | - | 2.05 | - |
1033 | - | Q | - | 15.64 | - |
1034 | - | L | - | -0.66 | - |
1035 | - | I | - | 14.12 | - |
1036 | - | P | - | 12.97 | - |
1037 | - | T | - | 5.27 | - |
1038 | - | R | - | 5.56 | - |
1039 | - | R | - | 4.65 | - |
1040 | - | R | - | 12.55 | - |
1041 | - | F | - | 25.91 | - |
1042 | - | A | - | 13.81 | - |
1043 | - | G | - | 3.28 | - |
1044 | V | V | 1.9 | 2.39 | -0.48 |
1045 | - | V | - | -0.88 | - |
1046 | - | I | - | 6.96 | - |
1047 | - | G | - | -0.23 | - |
1048 | - | L | - | -1.92 | - |
1049 | - | A | - | 1.68 | - |
1050 | - | A | - | -1.22 | - |
1051 | - | L | - | -1.21 | - |
1052 | - | G | - | -0.69 | - |
1053 | - | V | - | 10.51 | - |
1054 | - | A | - | -2.46 | - |
1055 | - | T | - | 7.52 | - |
1056 | - | A | - | -2.19 | - |
1057 | - | A | - | -0.75 | - |
1058 | - | Q | - | -1.8 | - |
1059 | - | V | - | 0.06 | - |
1060 | - | T | - | -0.81 | - |
1061 | - | A | - | -1.61 | - |
1062 | - | A | - | -2.32 | - |
1063 | - | V | - | 0.04 | - |
1064 | - | A | - | -1.18 | - |
1065 | - | L | - | -1.59 | - |
1066 | - | V | - | 6.4 | - |
1067 | K | K | -0.51 | 7.86 | -8.37 |
1068 | A | A | -1.34 | -0.59 | -0.75 |
1069 | N | N | -1.25 | 2.15 | -3.4 |
1070 | E | E | 0.71 | 5.6 | -4.89 |
1071 | N | N | -2.65 | 6.37 | -9.02 |
1072 | A | A | -0.95 | -2.04 | 1.09 |
1073 | A | A | -1.1 | -0.41 | -0.69 |
1074 | A | A | -2.6 | -1.14 | -1.47 |
1075 | I | I | 0.55 | -0.28 | 0.83 |
1076 | L | L | -0.29 | 14.86 | -15.15 |
1077 | N | N | -2.08 | 0.47 | -2.55 |
1078 | L | L | -2.06 | 3.16 | -5.22 |
1079 | K | K | -1.59 | 4.81 | -6.4 |
1080 | N | N | -2.48 | 7.1 | -9.59 |
1081 | A | A | -2.43 | 1.87 | -4.31 |
1082 | I | I | 1.34 | -1.63 | 2.97 |
1083 | Q | Q | 0.66 | 3.57 | -2.9 |
1084 | K | K | 3.37 | 4.72 | -1.35 |
1085 | T | T | -0.86 | 0.37 | -1.24 |
1086 | N | N | -2.19 | 1.13 | -3.33 |
1087 | A | A | -1.31 | 2.08 | -3.39 |
1088 | A | A | -3.41 | -0.1 | -3.31 |
1089 | V | V | 0.25 | -1.12 | 1.37 |
1090 | A | A | -1.65 | 4.93 | -6.58 |
1091 | D | D | 5.34 | 2.68 | 2.66 |
1092 | V | V | 0.06 | 3.4 | -3.34 |
1093 | V | V | 0.6 | 7.94 | -7.34 |
1094 | Q | Q | 1.43 | 6.67 | -5.24 |
1095 | A | A | -3.26 | 4.95 | -8.21 |
1096 | T | T | 0.27 | 9.67 | -9.4 |
1097 | Q | Q | 0.4 | 6.1 | -5.7 |
1098 | S | S | -2.11 | 19.68 | -21.79 |
1099 | L | L | -0.29 | 14.3 | -14.6 |
1100 | G | G | -0.37 | -1.42 | 1.05 |
1101 | T | T | -0.25 | 0.88 | -1.13 |
1102 | A | A | -2.85 | 2.68 | -5.53 |
1103 | V | V | -0.22 | 1.5 | -1.72 |
1104 | Q | Q | 0.16 | 9.85 | -9.69 |
1105 | A | A | -2.42 | -0.23 | -2.19 |
1106 | V | V | -1.5 | 7.68 | -9.18 |
1107 | Q | Q | 0.25 | 8.63 | -8.37 |
1108 | D | D | -1.15 | 0.29 | -1.44 |
1109 | H | H | -3.61 | 5.71 | -9.32 |
1110 | I | I | -1.31 | 5.41 | -6.73 |
1111 | N | N | -0.51 | 2.49 | -3.0 |
1112 | S | S | -0.41 | 2.59 | -3.0 |
1113 | V | V | -0.25 | 26.7 | -26.95 |
1114 | V | V | -1.1 | 16.79 | -17.88 |
1115 | S | S | 9.81 | 6.28 | 3.53 |
1116 | P | P | 7.86 | 0.57 | 7.28 |
1117 | A | A | -0.65 | 3.43 | -4.08 |
1118 | I | I | 3.73 | 2.32 | 1.42 |
1119 | T | T | 0.68 | 9.56 | -8.88 |
1120 | A | A | 3.24 | 3.33 | -0.09 |
1121 | A | A | 3.38 | 3.81 | -0.43 |
1122 | X | - | 0.25 | - | - |
1123 | X | - | -0.41 | - | - |
1124 | - | N | - | 8.17 | - |
1125 | - | C | - | 8.55 | - |
1126 | - | K | - | 5.66 | - |
1127 | - | A | - | 1.5 | - |
1128 | - | Q | - | 12.13 | - |
1129 | - | D | - | -1.43 | - |
1130 | - | A | - | 0.22 | - |
1131 | - | I | - | 32.92 | - |
1132 | - | I | - | -1.35 | - |
1133 | - | G | - | 1.46 | - |
1134 | S | S | 1.98 | 4.94 | -2.96 |
1135 | I | I | 0.94 | 30.81 | -29.87 |
1136 | - | L | - | -3.07 | - |
1137 | - | N | - | 2.15 | - |
1138 | - | L | - | 17.81 | - |
1139 | - | Y | - | 1.08 | - |
1140 | - | L | - | 0.38 | - |
1141 | - | T | - | 0.27 | - |
1142 | - | E | - | 1.98 | - |
1143 | - | L | - | -2.72 | - |
1144 | - | T | - | -1.37 | - |
1145 | - | T | - | 3.78 | - |
1146 | - | I | - | -0.14 | - |
1147 | - | F | - | 0.59 | - |
1148 | - | H | - | 20.88 | - |
1149 | - | N | - | 1.49 | - |
1150 | - | Q | - | 11.21 | - |
1151 | - | I | - | 7.79 | - |
1152 | - | T | - | 12.49 | - |
1153 | - | N | - | 4.56 | - |
1154 | - | P | - | -1.02 | - |
1155 | - | A | - | -1.44 | - |
1156 | - | L | - | -3.32 | - |
1157 | - | S | - | 9.06 | - |
1158 | - | P | - | 3.37 | - |
1159 | - | I | - | -0.64 | - |
1160 | - | T | - | -0.08 | - |
1161 | - | I | - | 7.86 | - |
1162 | - | Q | - | 4.18 | - |
1163 | - | A | - | -1.33 | - |
1164 | - | L | - | -0.61 | - |
1165 | - | R | - | 0.3 | - |
1166 | - | I | - | 0.07 | - |
1167 | - | L | - | -2.11 | - |
1168 | - | L | - | 5.11 | - |
1169 | - | G | - | -0.99 | - |
1170 | - | S | - | 10.4 | - |
1171 | - | T | - | -0.56 | - |
1172 | - | L | - | -1.25 | - |
1173 | - | P | - | -2.07 | - |
1174 | - | T | - | 1.56 | - |
1175 | - | V | - | 1.34 | - |
1176 | - | V | - | -1.8 | - |
1177 | - | E | - | 4.32 | - |
1178 | - | K | - | 3.59 | - |
1179 | - | S | - | -0.06 | - |
1180 | - | F | - | 4.7 | - |
1181 | - | N | - | 0.93 | - |
1182 | - | T | - | 0.43 | - |
1183 | - | Q | - | 5.82 | - |
1184 | - | I | - | 3.1 | - |
1185 | - | S | - | -0.73 | - |
1186 | - | A | - | -0.89 | - |
1187 | - | A | - | -0.91 | - |
1188 | - | E | - | 0.5 | - |
1189 | - | L | - | -0.58 | - |
1190 | - | L | - | -3.41 | - |
1191 | - | S | - | 2.1 | - |
1192 | - | S | - | 4.74 | - |
1193 | - | G | - | 5.75 | - |
1194 | - | L | - | 2.43 | - |
1195 | - | L | - | 2.35 | - |
1196 | - | T | - | 5.38 | - |
1197 | - | G | - | -0.15 | - |
1198 | - | Q | - | 8.0 | - |
1199 | - | I | - | -1.69 | - |
1200 | - | V | - | -4.33 | - |
1201 | - | G | - | -0.01 | - |
1202 | - | L | - | 1.52 | - |
1203 | D | D | -0.08 | 1.36 | -1.44 |
1204 | - | L | - | 19.0 | - |
1205 | - | T | - | -0.11 | - |
1206 | - | Y | - | 6.83 | - |
1207 | - | M | - | 1.18 | - |
1208 | - | Q | - | 0.27 | - |
1209 | - | M | - | -0.38 | - |
1210 | - | V | - | -2.13 | - |
1211 | - | I | - | -1.7 | - |
1212 | - | K | - | 3.06 | - |
1213 | - | I | - | 4.34 | - |
1214 | - | E | - | -0.96 | - |
1215 | - | L | - | 8.73 | - |
1216 | P | P | -1.77 | 3.22 | -4.99 |
1217 | - | T | - | 3.04 | - |
1218 | L | L | 0.18 | -2.78 | 2.95 |
1219 | - | T | - | 0.88 | - |
1220 | - | V | - | 4.09 | - |
1221 | - | Q | - | 17.47 | - |
1222 | - | P | - | 8.04 | - |
1223 | - | A | - | 1.98 | - |
1224 | - | T | - | 1.8 | - |
1225 | - | Q | - | 2.52 | - |
1226 | - | I | - | -1.29 | - |
1227 | - | I | - | -2.21 | - |
1228 | D | D | 0.23 | -0.09 | 0.32 |
1229 | - | L | - | -2.16 | - |
1230 | - | A | - | -0.14 | - |
1231 | - | T | - | 6.3 | - |
1232 | I | I | 2.0 | -0.65 | 2.65 |
1233 | S | S | -0.99 | 1.29 | -2.29 |
1234 | - | A | - | -2.8 | - |
1235 | - | F | - | 2.3 | - |
1236 | - | I | - | 1.56 | - |
1237 | - | N | - | 0.66 | - |
1238 | - | N | - | 10.36 | - |
1239 | Q | Q | 5.57 | 1.34 | 4.23 |
1240 | - | E | - | -2.34 | - |
1241 | - | V | - | -1.37 | - |
1242 | - | M | - | 11.12 | - |
1243 | - | A | - | -2.92 | - |
1244 | - | Q | - | -0.88 | - |
1245 | - | L | - | 3.54 | - |
1246 | - | P | - | 0.28 | - |
1247 | - | T | - | 12.17 | - |
1248 | - | R | - | -0.74 | - |
1249 | - | V | - | -2.87 | - |
1250 | - | M | - | -0.47 | - |
1251 | - | V | - | 0.47 | - |
1252 | - | T | - | 4.1 | - |
1253 | - | G | - | 0.99 | - |
1254 | - | S | - | 19.42 | - |
1255 | - | L | - | 9.06 | - |
1256 | - | I | - | 0.27 | - |
1257 | - | Q | - | -3.75 | - |
1258 | - | A | - | 4.45 | - |
1259 | - | Y | - | -0.12 | - |
1260 | - | P | - | 1.04 | - |
1261 | - | A | - | 2.58 | - |
1262 | - | S | - | 4.38 | - |
1263 | - | Q | - | 5.86 | - |
1264 | - | C | - | 10.47 | - |
1265 | - | T | - | 1.15 | - |
1266 | - | I | - | 18.25 | - |
1267 | - | T | - | 9.8 | - |
1268 | - | P | - | 9.37 | - |
1269 | N | N | -0.47 | 5.32 | -5.79 |
1270 | - | T | - | 4.02 | - |
1271 | - | V | - | -0.18 | - |
1272 | - | Y | - | -0.86 | - |
1273 | - | C | - | 8.99 | - |
1274 | - | R | - | 4.33 | - |
1275 | - | Y | - | 3.78 | - |
1276 | - | N | - | 4.05 | - |
1277 | - | D | - | 6.21 | - |
1278 | - | A | - | -0.92 | - |
1279 | - | Q | - | 14.69 | - |
1280 | - | V | - | 11.34 | - |
1281 | L | L | -1.56 | -1.35 | -0.21 |
1282 | - | S | - | -1.14 | - |
1283 | - | D | - | 3.01 | - |
1284 | - | D | - | 6.2 | - |
1285 | - | T | - | -0.86 | - |
1286 | - | M | - | 3.14 | - |
1287 | A | A | -1.28 | -1.46 | 0.17 |
1288 | - | C | - | 6.26 | - |
1289 | - | L | - | -4.38 | - |
1290 | - | Q | - | 26.88 | - |
1291 | - | G | - | -0.52 | - |
1292 | - | N | - | 0.95 | - |
1293 | - | L | - | 7.3 | - |
1294 | - | T | - | 2.16 | - |
1295 | - | R | - | 17.82 | - |
1296 | - | C | - | 8.59 | - |
1297 | - | T | - | 4.1 | - |
1298 | - | F | - | -4.13 | - |
1299 | - | S | - | 1.0 | - |
1300 | - | P | - | -4.18 | - |
1301 | - | V | - | 4.58 | - |
1302 | - | V | - | 24.94 | - |
1303 | - | G | - | 1.62 | - |
1304 | - | S | - | 2.09 | - |
1305 | - | F | - | 1.82 | - |
1306 | - | L | - | 3.54 | - |
1307 | - | T | - | 5.61 | - |
1308 | - | R | - | 1.61 | - |
1309 | - | F | - | -1.84 | - |
1310 | - | V | - | 17.76 | - |
1311 | - | L | - | 3.64 | - |
1312 | - | F | - | -1.17 | - |
1313 | - | D | - | -1.49 | - |
1314 | - | G | - | -2.21 | - |
1315 | - | I | - | 1.95 | - |
1316 | - | V | - | 0.6 | - |
1317 | - | Y | - | -1.03 | - |
1318 | A | A | -1.2 | -4.25 | 3.05 |
1319 | - | N | - | -3.52 | - |
1320 | - | C | - | 0.96 | - |
1321 | - | R | - | 5.51 | - |
1322 | - | S | - | 1.07 | - |
1323 | - | M | - | 5.42 | - |
1324 | - | L | - | 2.75 | - |
1325 | - | C | - | -0.32 | - |
1326 | - | K | - | 3.13 | - |
1327 | - | C | - | 1.67 | - |
1328 | - | M | - | 10.95 | - |
1329 | - | Q | - | 2.9 | - |
1330 | - | P | - | 0.91 | - |
1331 | - | A | - | 1.02 | - |
1332 | - | A | - | 0.96 | - |
1333 | V | V | -3.86 | -0.37 | -3.49 |
1334 | - | I | - | 20.93 | - |
1335 | - | L | - | 8.16 | - |
1336 | - | Q | - | 4.58 | - |
1337 | - | P | - | 4.16 | - |
1338 | - | S | - | 1.88 | - |
1339 | - | S | - | 3.55 | - |
1340 | - | S | - | 3.69 | - |
1341 | - | P | - | 1.73 | - |
1342 | - | V | - | -0.43 | - |
1343 | - | T | - | -1.13 | - |
1344 | - | V | - | -1.69 | - |
1345 | - | I | - | -1.56 | - |
1346 | - | D | - | -2.94 | - |
1347 | - | M | - | 18.25 | - |
1348 | - | Y | - | 2.99 | - |
1349 | - | K | - | 2.07 | - |
1350 | - | C | - | 0.51 | - |
1351 | - | V | - | 5.42 | - |
1352 | - | S | - | 7.1 | - |
1353 | - | L | - | -5.48 | - |
1354 | - | Q | - | 3.2 | - |
1355 | - | L | - | -3.6 | - |
1356 | - | D | - | 4.85 | - |
1357 | N | N | -1.14 | 5.24 | -6.39 |
1358 | - | L | - | 0.69 | - |
1359 | - | R | - | 8.04 | - |
1360 | - | F | - | -4.78 | - |
1361 | - | T | - | 2.09 | - |
1362 | - | I | - | 5.15 | - |
1363 | - | T | - | 6.18 | - |
1364 | - | Q | - | 11.66 | - |
1365 | - | L | - | -0.59 | - |
1366 | - | A | - | -1.37 | - |
1367 | - | N | - | 6.34 | - |
1368 | - | V | - | 7.62 | - |
1369 | - | T | - | 4.97 | - |
1370 | - | Y | - | 20.6 | - |
1371 | - | N | - | 12.08 | - |
1372 | - | S | - | 2.07 | - |
1373 | - | T | - | 4.39 | - |
1374 | - | I | - | 20.85 | - |
1375 | K | K | -0.43 | 5.99 | -6.42 |
1376 | - | L | - | -0.71 | - |
1377 | - | E | - | 7.28 | - |
1378 | S | S | -1.32 | 8.09 | -9.41 |
1379 | - | S | - | 1.07 | - |
1380 | - | Q | - | 3.76 | - |
1381 | - | I | - | 2.96 | - |
1382 | L | L | -1.94 | 3.37 | -5.3 |
1383 | - | P | - | 1.93 | - |
1384 | - | I | - | 6.62 | - |
1385 | - | D | - | 2.65 | - |
1386 | - | P | - | -1.12 | - |
1387 | - | L | - | -0.83 | - |
1388 | - | D | - | 2.1 | - |
1389 | - | I | - | 4.94 | - |
1390 | S | S | 0.07 | 1.88 | -1.81 |
1391 | - | Q | - | -0.15 | - |
1392 | - | N | - | 5.17 | - |
1393 | - | L | - | -0.97 | - |
1394 | - | A | - | -1.65 | - |
1395 | - | A | - | -0.62 | - |
1396 | - | V | - | -1.31 | - |
1397 | - | N | - | 1.36 | - |
1398 | - | K | - | 2.06 | - |
1399 | - | S | - | 0.52 | - |
1400 | - | L | - | 1.56 | - |
1401 | - | S | - | -0.26 | - |
1402 | D | D | 5.36 | 0.96 | 4.4 |
1403 | A | A | -2.51 | -0.33 | -2.19 |
1404 | L | L | -1.06 | 7.53 | -8.58 |
1405 | Q | Q | 1.82 | 1.82 | 0.0 |
1406 | H | H | 7.68 | 2.7 | 4.97 |
1407 | L | L | -1.35 | 9.39 | -10.74 |
1408 | A | A | -0.29 | 0.76 | -1.05 |
1409 | Q | Q | 11.8 | 2.9 | 8.9 |
1410 | S | S | -0.66 | 11.77 | -12.43 |
1411 | D | D | -0.29 | 6.57 | -6.86 |
1412 | T | T | 1.95 | 2.41 | -0.46 |
1413 | Y | Y | -1.87 | 0.79 | -2.65 |
1414 | L | L | -1.11 | 3.93 | -5.05 |
1415 | S | S | -0.75 | 5.92 | -6.67 |
1416 | A | A | -0.27 | 0.04 | -0.32 |
1417 | I | I | -0.08 | 13.65 | -13.73 |
1418 | - | E | - | 5.35 | - |
1419 | - | D | - | 3.95 | - |
1420 | - | K | - | 10.79 | - |
1421 | - | I | - | 14.99 | - |
1422 | - | E | - | 4.13 | - |
1423 | - | E | - | 1.68 | - |
1424 | - | I | - | 3.32 | - |
1425 | - | L | - | 11.03 | - |
1426 | - | S | - | 3.28 | - |
1427 | - | K | - | -0.91 | - |
1428 | - | I | - | 3.32 | - |
1429 | - | Y | - | 5.06 | - |
1430 | - | H | - | 3.91 | - |
1431 | - | I | - | 9.66 | - |
1432 | - | E | - | -0.77 | - |
1433 | - | N | - | -0.89 | - |
1434 | - | E | - | 2.64 | - |
1435 | - | I | - | 17.85 | - |
1436 | - | A | - | 0.74 | - |
1437 | - | R | - | 5.18 | - |
1438 | - | I | - | 2.85 | - |
1439 | - | K | - | 18.42 | - |
1440 | - | K | - | 18.56 | - |
1441 | - | X | - | 429.06 | - |